Prognostic Value of Exercise Testing in Patients with Liver Cirrhosis
Abstract
1. Introduction
2. Methods
2.1. Patients
2.2. Clinical Evaluation and Exercise Testing
2.3. Statistics
3. Results
3.1. Patients
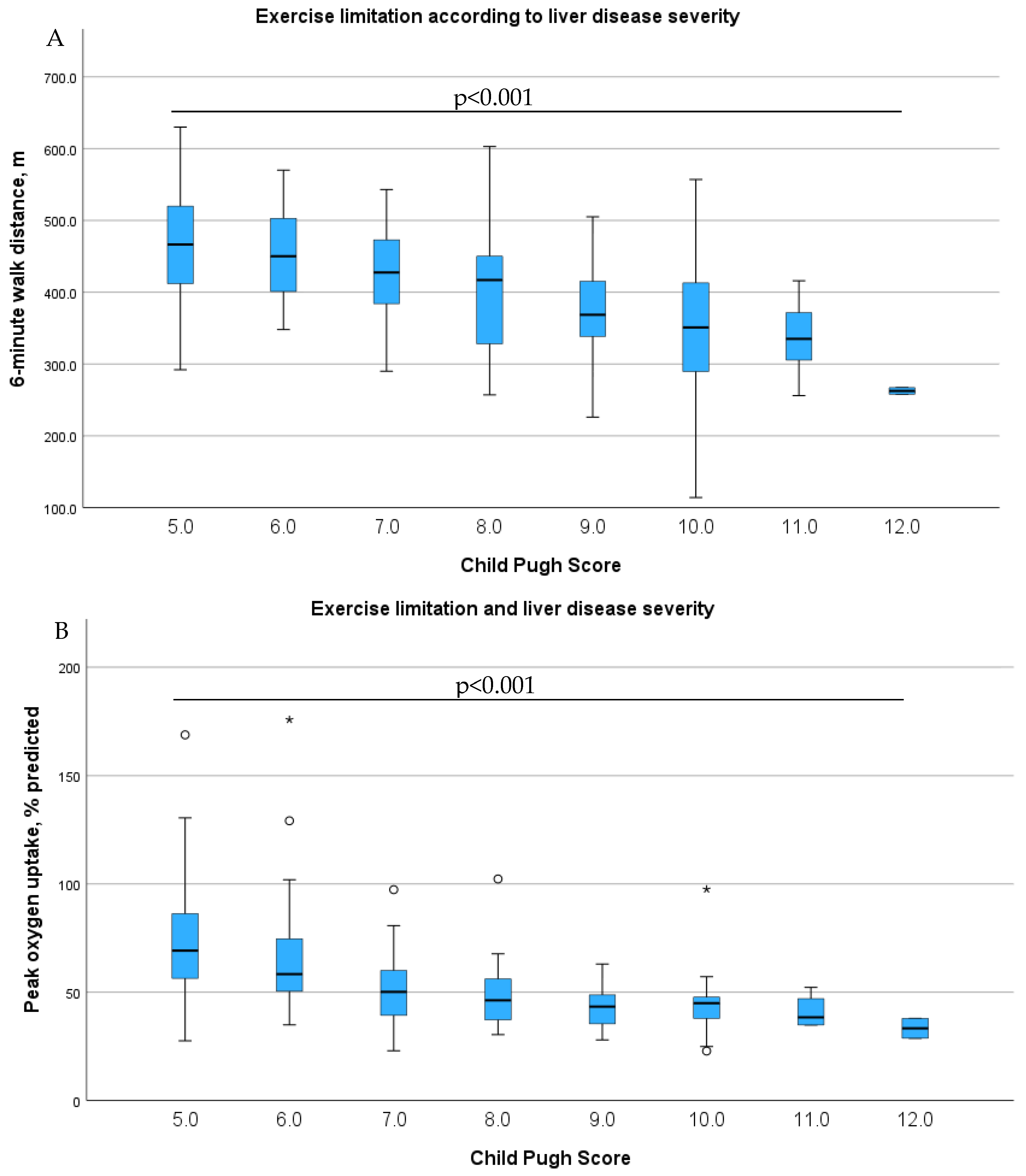
3.2. Exercise Performance
3.3. Exercise Performance as Predictor of Survival
4. Discussion
5. Limitations
6. Conclusions
Supplementary Materials
Author Contributions
Funding
Institutional Review Board Statement
Informed Consent Statement
Data Availability Statement
Conflicts of Interest
Abbreviations
| AaDO2 | Alveolar–arterial oxygen difference |
| AIH | Autoimmune Hepatitis |
| ANOVA | Analysis of Variance |
| BMI | Body Mass Index |
| CI | Confidence Interval |
| CIF | Cumulative Incidence Function |
| CP | Child–Pugh |
| CPET | Cardiopulmonary Exercise Testing |
| FVC | Forced Vital Capacity |
| HCV | Hepatitis C Virus |
| HPS | Hepatopulmonary Syndrome |
| IQR | Interquartile Range |
| INR | International Normalized Ratio |
| LT | Liver Transplantation |
| MASLD | Metabolic-dysfunction-associated steatotic liver disease |
| MELD | Model for End-Stage Liver Disease |
| mmHg | Millimeters of Mercury |
| N/A | Not Applicable |
| NT-proBNP | N-terminal pro-B-type Natriuretic Peptide |
| RAP | Right Atrial Pressure |
| sHR | Subdistribution Hazard Ratio |
| sPAP | Systolic Pulmonary Arterial Pressure |
| SD | Standard Deviation |
| VO2 | Oxygen Uptake |
| WHO-FC | World Health Organization—Functional Class |
| 6MWD | Six-Minute-Walk Distance |
References
- Douschan, P.; Kovacs, G.; Sassmann, T.; Stadlbauer, V.; Avian, A.; Foris, V.; Tatscher, E.; Durchschein, F.; Rainer, F.; Spindelboeck, W.; et al. Pulmonary vascular disease and exercise hemodynamics in chronic liver disease. Respir. Med. 2022, 202, 106987. [Google Scholar] [CrossRef] [PubMed]
- Główczyńska, R.; Borodzicz-Jażdżyk, S.; Peller, M.; Raszeja-Wyszomirska, J.; Milkiewicz, P.; Zieniewicz, K.; Opolski, G. Chronotropic incompetence in end-stage liver disease. PLoS ONE 2022, 17, e0270784. [Google Scholar] [CrossRef]
- Sogbe, M.; Hummer, B.; Stine, J.G.; Lizaola-Mayo, B.; Forman, D.E.; Vargas, H.E.; Duarte-Rojo, A. Advanced Liver Fibrosis Impairs Cardiorespiratory Fitness in Patients with Metabolic Dysfunction-Associated Steatotic Liver Disease. Dig. Dis. Sci. 2025, 70, 1530–1539. [Google Scholar] [CrossRef] [PubMed]
- Bunchorntavakul, C.; Reddy, K.R. Review article: Malnutrition/sarcopenia and frailty in patients with cirrhosis. Aliment. Pharmacol. Ther. 2020, 51, 64–77. [Google Scholar] [CrossRef]
- Lai, J.C.; Volk, M.L.; Strasburg, D.; Alexander, N. Performance-Based Measures Associate With Frailty in Patients with End-Stage Liver Disease. Transplantation 2016, 100, 2656–2660. [Google Scholar] [CrossRef]
- Bhanji, R.A.; Montano-Loza, A.J.; Watt, K.D. Sarcopenia in Cirrhosis: Looking Beyond the Skeletal Muscle Loss to See the Systemic Disease. Hepatology 2019, 70, 2193–2203. [Google Scholar] [CrossRef] [PubMed]
- Lai, J.C.; Tandon, P.; Bernal, W.; Tapper, E.B.; Ekong, U.; Dasarathy, S.; Carey, E.J. Malnutrition, Frailty, and Sarcopenia in Patients with Cirrhosis: 2021 Practice Guidance by the American Association for the Study of Liver Diseases. Hepatology 2021, 74, 1611–1644. [Google Scholar] [CrossRef]
- Fuentes-Abolafio, I.J.; Stubbs, B.; Pérez-Belmonte, L.M.; Bernal-López, M.R.; Gómez-Huelgas, R.; Cuesta-Vargas, A.I. Physical functional performance and prognosis in patients with heart failure: A systematic review and meta-analysis. BMC Cardiovasc. Disord. 2020, 20, 512. [Google Scholar] [CrossRef]
- Coulshed, A.; Coulshed, D.; Pathan, F. Systematic Review of the Use of the 6-Minute Walk Test in Measuring and Improving Prognosis in Patients with Ischemic Heart Disease. CJC Open 2023, 5, 816–825. [Google Scholar] [CrossRef]
- García-Talavera, I.; Figueira-Gonçalves, J.M.; Golpe, R.; Esteban, C.; Amado, C.; Pérez-Méndez, L.I.; Aramburu, A.; Conde-Martel, A. Early Desaturation During 6-Minute Walk Test is a Predictor of Mortality in COPD. Lung 2023, 201, 217–224. [Google Scholar] [CrossRef] [PubMed]
- Waatevik, M.; Frisk, B.; Real, F.G.; Hardie, J.A.; Bakke, P.; Nilsen, R.M.; Eagan, T.M.; Johannessen, A. One Year Change in 6-Minute Walk Test Outcomes is Associated with COPD Prognosis. COPD 2020, 17, 662–671. [Google Scholar] [CrossRef] [PubMed]
- Humbert, M.; Kovacs, G.; Hoeper, M.M.; Badagliacca, R.; Berger, R.M.F.; Brida, M.; Carlsen, J.; Coats, A.J.; Escribano-Subias, P.; Ferrari, P.; et al. 2022 ESC/ERS Guidelines for the diagnosis and treatment of pulmonary hypertension. Eur. Respir. J. 2023, 61, 2200879. [Google Scholar] [CrossRef] [PubMed]
- Kovacs, G.; Bartolome, S.; Denton, C.P.; Gatzoulis, M.A.; Gu, S.; Khanna, D.; Badesch, D.; Montani, D. Definition, classification and diagnosis of pulmonary hypertension. Eur. Respir. J. 2024, 64, 2401324. [Google Scholar] [CrossRef]
- Jamali, T.; Raasikh, T.; Bustamante, G.; Sisson, A.; Tandon, P.; Duarte-Rojo, A.; Hernaez, R. Outcomes of Exercise Interventions in Patients With Advanced Liver Disease: A Systematic Review of Randomized Clinical Trials. Am. J. Gastroenterol. 2022, 117, 1614–1620. [Google Scholar] [CrossRef]
- Tandon, P.; Ismond, K.P.; Riess, K.; Duarte-Rojo, A.; Al-Judaibi, B.; Dunn, M.A.; Holman, J.; Howes, N.; Haykowsky, M.J.F.; Josbeno, D.A.; et al. Exercise in cirrhosis: Translating evidence and experience to practice. J. Hepatol. 2018, 69, 1164–1177. [Google Scholar] [CrossRef]
- Moody, W.E.; Holloway, B.; Arumugam, P.; Gill, S.; Wahid, Y.S.; Boivin, C.M.; Thomson, L.E.; Berman, D.S.; Armstrong, M.J.; Ferguson, J.; et al. Prognostic value of coronary risk factors, exercise capacity and single photon emission computed tomography in liver transplantation candidates: A 5-year follow-up study. J. Nucl. Cardiol. 2021, 28, 2876–2891. [Google Scholar] [CrossRef]
- Pollok, J.M.; Tinguely, P.; Berenguer, M.; Niemann, C.U.; Raptis, D.A.; Spiro, M.; Mayr, A.; Dominguez, B.; Muller, E.; Rando, K.; et al. Enhanced recovery for liver transplantation: Recommendations from the 2022 International Liver Transplantation Society consensus conference. Lancet Gastroenterol. Hepatol. 2023, 8, 81–94. [Google Scholar] [CrossRef]
- Galiè, N.; Humbert, M.; Vachiery, J.-L.; Gibbs, S.; Lang, I.; Torbicki, A.; Hoeper, M. 2015 ESC/ERS Guidelines for the diagnosis and treatment of pulmonary hypertension: The Joint Task Force for the Diagnosis and Treatment of Pulmonary Hypertension of the European Society of Cardiology (ESC) and the European Respiratory Society (ERS): Endorsed by: Association for European Paediatric and Congenital Cardiology (AEPC), International Society for Heart and Lung Transplantation (ISHLT). Eur. Heart J. 2016, 37, 67–119. [Google Scholar] [CrossRef]
- John, T.; Tello, K.; Olschewski, H.; Abeln, H.; Foris, V.; Guettler, B.R.; John, N.; Zeder, K.; Kneidinger, N.; Kovacs, G.; et al. Noninvasive mean pulmonary arterial pressure/oxygen uptake slope as a predictor of pulmonary exercise haemodynamics and outcome. ERJ Open Res. 2025, 12, 01135-2025. [Google Scholar] [CrossRef] [PubMed]
- Fine, J.P.; Gray, R.J. A Proportional Hazards Model for the Subdistribution of a Competing Risk. J. Am. Stat. Assoc. 1999, 94, 496–509. [Google Scholar] [CrossRef]
- Wiesinger, G.F.; Quittan, M.; Zimmermann, K.; Nuhr, M.; Wichlas, M.; Bodingbauer, M.; Asari, R.; Berlakovich, G.; Crevenna, R.; Fialka-Moser, V.; et al. Physical performance and health-related quality of life in men on a liver transplantation waiting list. J. Rehabil. Med. 2001, 33, 260–265. [Google Scholar] [CrossRef]
- Terziyski, K.; Andonov, V.; Marinov, B.; Kostianev, S. Exercise performance and ventilatory efficiency in patients with mild and moderate liver cirrhosis. Clin. Exp. Pharmacol. Physiol. 2008, 35, 135–140. [Google Scholar] [CrossRef]
- Ying, X.; Oje, A.O.; De Witte, A.J.; Slaughter, J.C.; Spann, A.L.; Jesudian, A.B.; Rosenblatt, R.; Ng, C.; Sholle, E.; Reidy, D.; et al. Severity of liver disease is associated with cirrhotic cardiomyopathy: A multicenter study. Liver Transplant. 2025, 32, 539–548. [Google Scholar] [CrossRef]
- Razpotnik, M.; Bota, S.; Wimmer, P.; Hackl, M.; Lesnik, G.; Alber, H.; Peck-Radosavljevic, M. The prevalence of cirrhotic cardiomyopathy according to different diagnostic criteria. Liver Int. 2021, 41, 1058–1069. [Google Scholar] [CrossRef]
- Xanthopoulos, A.; Starling, R.C.; Kitai, T.; Triposkiadis, F. Heart Failure and Liver Disease: Cardiohepatic Interactions. JACC Heart Fail. 2019, 7, 87–97. [Google Scholar] [CrossRef]
- Danielsen, K.V.; Wiese, S.; Busk, T.; Nabilou, P.; Kronborg, T.M.; Petersen, C.L.; Hove, J.D.; Møller, S.; Bendtsen, F. Cardiovascular Mapping in Cirrhosis From the Compensated Stage to Hepatorenal Syndrome: A Magnetic Resonance Study. Am. J. Gastroenterol. 2022, 117, 1269–1278. [Google Scholar] [CrossRef] [PubMed]
- Kawut, S. “Impact of hepatopulmonary syndrome in liver transplantation candidates and the role of angiogenesis.” S.M. Kawut, M.J. Krowka, K.A. Forde, N. Al-Naamani, K.L. Krok, M. Patel, C.R. Bartoli, M. Doyle, J. Moutchia, G. Lin, J.K. Oh, C.D. Mottram, P.D. Scanlon and M.B. Fallon for the Pulmonary Vascular Complications of Liver Disease Study Group. Eur Respir J 2022; 60: 2102304. Eur. Respir. J. 2023, 62, 2152304. [Google Scholar] [CrossRef]
- Del Valle, K.; DuBrock, H.M. Hepatopulmonary Syndrome and Portopulmonary Hypertension: Pulmonary Vascular Complications of Liver Disease. Compr. Physiol. 2021, 11, 3281–3302. [Google Scholar] [CrossRef] [PubMed]
- Rodríguez-Roisin, R.; Krowka, M.J.; Agustí, A. Hepatopulmonary Disorders: Gas Exchange and Vascular Manifestations in Chronic Liver Disease. Compr. Physiol. 2018, 8, 711–729. [Google Scholar] [CrossRef]
- Karvellas, C.J.; Bajaj, J.S.; Kamath, P.S.; Napolitano, L.; O’Leary, J.G.; Solà, E.; Subramanian, R.; Wong, F.; Asrani, S.K. AASLD Practice Guidance on Acute-on-chronic liver failure and the management of critically ill patients with cirrhosis. Hepatology 2024, 79, 1463–1502. [Google Scholar] [CrossRef]
- Elsabaawy, M.; Afify, S.; Othman, W.; Ragab, A. Frailty and liver transplant eligibility beyond MELD scores: Integrating functional status into candidate selection. BMC Gastroenterol. 2025, 25, 743. [Google Scholar] [CrossRef]
- Williams, F.R.; Quinlan, J.; Freer, A.; Morrison, B.; Sitch, A.; Hockey, F.; Klas, N.; Towey, J.; Perera, T.P.R.; Rajoriya, N.; et al. Duke Activity Status Index and Liver Frailty Index predict mortality in ambulatory patients with advanced chronic liver disease: A prospective, observational study. Aliment. Pharmacol. Ther. 2024, 59, 547–557. [Google Scholar] [CrossRef]
- Valeriano, V.; Funaro, S.; Lionetti, R.; Riggio, O.; Pulcinelli, G.; Fiore, P.; Masini, A.; Castro, S.; Merli, M. Modification of cardiac function in cirrhotic patients with and without ascites. Am. J. Gastroenterol. 2000, 95, 3200–3205. [Google Scholar] [CrossRef]
- Epstein, S.K.; Freeman, R.B.; Khayat, A.; Unterborn, J.N.; Pratt, D.S.; Kaplan, M.M. Aerobic capacity is associated with 100-day outcome after hepatic transplantation. Liver Transplant. 2004, 10, 418–424. [Google Scholar] [CrossRef]
- Dharancy, S.; Lemyze, M.; Boleslawski, E.; Neviere, R.; Declerck, N.; Canva, V.; Wallaert, B.; Mathurin, P.; Pruvot, F.R. Impact of impaired aerobic capacity on liver transplant candidates. Transplantation 2008, 86, 1077–1083. [Google Scholar] [CrossRef]
- Ow, M.M.G.; Erasmus, P.; Minto, G.; Struthers, R.; Joseph, M.; Smith, A.; Warshow, U.M.; Cramp, M.E.; Cross, T.J.S. Impaired functional capacity in potential liver transplant candidates predicts short-term mortality before transplantation. Liver Transplant. 2014, 20, 1081–1088. [Google Scholar] [CrossRef] [PubMed]
- Pimentel, C.F.M.G.; Amaral, A.C.d.C.; Gonzalez, A.M.; Lai, M.; Mota, D.d.O.; Ferraz, M.L.G.; Junior, W.M.; Kondo, M. Six-minute walking test performance is associated with survival in cirrhotic patients. World J. Hepatol. 2021, 13, 1791–1801. [Google Scholar] [CrossRef] [PubMed]
- Henrique, D.M.N.; Malaguti, C.; Limonge, T.M.; Siqueira, M.R.; Paticcie, T.M.F.; Mira, P.A.C.; Laterza, M.C.; Mourão-Junior, C.A.; Pacce, F.H.d.L.; Chebli, J.M.F. Six-Minute Walking Test as a Predictor of Clinical Decompensation in Patients with Cirrhosis. J. Gastrointest. Liver Dis. 2021, 30, 103–109. [Google Scholar] [CrossRef] [PubMed]



| Variables | Total | Peak VO2 > 65% | Peak VO2 < 65% Pred. | p-Value * | 6MWD > 440 m | 6 MWD < 440 m | p-Value t |
|---|---|---|---|---|---|---|---|
| N = 197 | Pred. N = 53 | N = 144 | n = 75 | n = 101 | |||
| Male/Female | 146/51 | 29/24 | 117/27 | p < 0.001 | 65/19 | 73/28 | p = 0.050 |
| Age, years | 56 ± 9 | 58 ± 10 | 55 ± 9 | p = 0.097 | 54 ± 11 | 56 ± 9 | p = 0.061 |
| Body mass index, kg/m2 | 27 ± 5 | 26 ± 3 | 28 ± 5 | p = 0.006 | 26 ± 4 | 28 ± 5 | p = 0.035 |
| Child Pugh Score | 6 (5–8) | 5 (5–6) | 8 (6–9) | p < 0.001 | 5 (5–7) | 8 (6–9) | p < 0.001 |
| MELD Score | 12 (9–17) | 9 (7–11) | 15 (10–18) | p < 0.001 | 13 (9–18) | 18 (15–23) | p < 0.001 |
| Child Pugh Stage N = 197 | |||||||
| A | 92 (47%) | 46 (87%) | 46 (32%) | p < 0.001 | 53 (71%) | 32 (32%) | p < 0.001 |
| B | 80 (40%) | 5 (9%) | 74 (51%) | 20 (27%) | 49 (48%) | ||
| C | 25 (13%) | 1 (4%) | 24 (17%) | 2 (2%) | 20 (20%) | ||
| WHO-Functional class N = 196 | |||||||
| I | 93 (48%) | 33 (62%) | 60 (42%) | p < 0.001 | 53 (71%) | 32 (32%) | p < 0.001 |
| II | 95 (48%) | 19 (36%) | 76 (53%) | 22 (29%) | 61 (61%) | ||
| III | 8 (4%) | 1 (2%) | 7 (5%) | 7 (7%) | |||
| Laboratory Testing | |||||||
| Hemoglobin, g/dL | 11.8 ± 1.9 | 13.9 ± 2.0 | 11.8 ± 2.2 | p < 0.001 | 13.7 ± 1.9 | 11.6 ± 2.3 | p < 0.001 |
| Creatinine, mg/dL | 0.8 ± 0.2 | 0.89 ± 0.26 | 0.96 ± 0.35 | p = 0.204 | 0.9 ± 0.2 | 1.0 ± 0.4 | p = 0.008 |
| Bilirubin, mg/dL | 2.5 ± 2.0 | 1.3 ± 1.4 | 4.2 ± 6.0 | p < 0.001 | 2.5 ± 4.7 | 3.8 ± 4.3 | p = 0.057 |
| NT-proBNP, pg/mL | 181 ± 125 | 86 ± 72 | 209 ± 361 | p < 0.001 | 92 ± 85 | 250 ± 418 | p = 0.002 |
| INR | 1.4 ± 0.4 | 1.2 ± 0.2 | 1.5 ± 0.3 | p < 0.001 | 1.3 ± 0.3 | 1.5 ± 0.3 | p < 0.001 |
| Albumin, g/dL | 3.3 ± 1.1 | 4.2 ± 0.5 | 3.6 ± 0.7 | p < 0.001 | 4.0 ± 0.7 | 3.6 ± 0.7 | p < 0.001 |
| GFR, mL/min | 93 ± 12 | 86 ± 21 | 87 ± 25 | p = 0.928 | 94 ± 19 | 82 ± 25 | p = 0.001 |
| Lung function testing | |||||||
| FVC, % predicted | 84 ± 11 | 107 ± 14 | 90 ± 15 | p < 0.001 | 100 ± 14 | 91 ± 17 | p < 0.001 |
| FEV1, % predicted | 81 ± 13 | 100 ± 15 | 85 ± 16 | p < 0.001 | 95 ± 14 | 86 ± 18 | p < 0.001 |
| FEV1/FVC | 76 ± 5 | 76 ± 6 | 76 ± 7 | p = 0.484 | 76 ± 6 | 77 ± 7 | p = 0.520 |
| TLC, % predicted | 93 ± 13 | 104 ± 13 | 95 ± 13 | p < 0.001 | 100 ± 13 | 94 ± 14 | p = 0.024 |
| DLCOcSB, % predicted | 72 ± 16 | 90 ± 16 | 74 ± 15 | p < 0.001 | 86 ± 18 | 75 ± 15 | p < 0.001 |
| DLCOcVA, % predicted | 87 ± 21 | 91 ± 17 | 85 ± 18 | p = 0.029 | 91 ± 18 | 86 ± 16 | p = 0.051 |
| Echocardiographic parameters | |||||||
| Cardiac ouput, mL/min | 6.6 ± 2.2 | 5.6 ± 1.4 | 6.5 ± 1.9 | p = 0.010 | 5.9 ± 1.5 | 6.4 ± 2.0 | p = 0.141 |
| TAPSE, mm | 28 ± 5 | 25 ± 4 | 26 ± 5 | p = 0.028 | 25 ± 5 | 26 ± 5 | p = 0.096 |
| sPAP, mmHg | 33 ± 5 | 27 ± 5 | 30 ± 9 | p = 0.023 | 27 ± 7 | 31 ± 9 | p = 0.012 |
| TAPSE/sPAP, mm/mmHg | 0.85 ± 0.13 | 0.93 ± 0.28 | 0.95 ± 0.29 | p = 0.745 | 0.95 ± 0.26 | 0.92 ± 0.27 | p = 0.351 |
| Exercise testing | |||||||
| 6MWD, m | 422 ± 79 | 478 ± 77 | 399 ± 82 | p < 0.001 | 502 ± 46 | 363 ± 61 | p < 0.001 |
| Peak Exercise level, Watt | 75 (50–100) | 100 (75–150) | 75 (50–100) | p < 0.001 | 100 (75–150) | 75 (50–100) | p < 0.001 |
| Peak VO2, % predicted | 54 (42–70) | 97 (85–119) | 55 (46–60) | p < 0.001 | 67(54–89) | 46 (37–56) | p < 0.001 |
| VO2,max, mL/min·kg | 17 (13–21) | 23 (20–26) | 15 (13–18) | p < 0.001 | 21 (17–25) | 14 (13–17) | p < 0.001 |
| Reasons for Exercise Termination (Subjective) | Total N = 170 | Exercise Limitation (Objective) | Total N = 170 |
|---|---|---|---|
| Muscle weakness | 128 (75%) | Metabolically | 57 (34%) |
| Pulmonary | 25 (15%) | Ventilatory | 70 (41%) |
| Cardiac | 5 (3%) | Cardiac | 11 (6%) |
| Others | 12 (7%) | Others | 32 (19%) |
| 6MWD | Significance | Subdistribution Hazard Ratios | Peak VO2 | Significance | Subdistribution Hazard Ratios |
|---|---|---|---|---|---|
| Model 1a | Model 1b | ||||
| Sex | 0.650 | 1.21 (0.67–1.81) | Sex | 0.266 | 1.38 (0.77–2.38) |
| Age | 0.017 | 1.03 (1.01–1.06) | Age | 0.004 | 1.04 (1.01–1.07) |
| 6MWD | 0.020 | 0.997 (0.994–0.999) | Peak VO2 | 0.141 | 0.99 (0.98–1.00) |
| ln (Bilirubin) | 0.079 | 1.24 (0.97–1.56) | ln (Bilirubin) | 0.016 | 1.33 (1.05–1.67) |
| Model 2a | Model 2b | ||||
| Age | 0.627 | 1.13 (0.67–1.85) | Sex | 0.229 | 1.42 (0.79–2.47) |
| Sex | 0.036 | 1.03 (1.00–1.06) | Age | 0.008 | 1.04 (1.01–1.07) |
| 6MWD | 0.011 | 0.996 (0.994–0.999) | Peak VO2 | 0.064 | 0.99 (0.98–1.00) |
| Albumin | 0.250 | 0.81 (0.55–1–16) | Albumin | 0.735 | 0.93 (0.62–1.39) |
| Model 3a | Model 3b | ||||
| Sex | 0.446 | 1.22 (0.72–1.98) | Sex | 0.148 | 1.52 (0.85–2.63) |
| Age | 0.028 | 1.03 (1.00–1.06) | Age | 0.008 | 1.04 1.01–1.07) |
| 6MWD | 0.015 | 0.997 (0.994–0.999) | Peak VO2 | 0.139 | 0.99 (0.98–1.00) |
| INR | 0.064 | 1.81 (0.93–3.27) | INR | 0.026 | 2.02 (1.05–3.64) |
| Model 4a | Model 4b | ||||
| Sex | 0.987 | 1.00 (0.58–1.66) | Sex | 0.322 | 1.35 (0.73–2.40) |
| Age | 0.046 | 1.03 (1.00–1.05) | Age | 0.006 | 1.04 (1.01–1.07) |
| 6MWD | 0.001 | 0.996 (0.993–0.998) | Peak VO2 | 0.021 | 0.99 (0.98–1.00) |
| Creatinine | 0.498 | 0.78 (0.36–1.52) | Creatinine | 0.555 | 0.79 (0.35–1.62) |
| Model 5a | Model 5b | ||||
| Sex | 0.790 | 0.93 (0.52–1.57) | Sex | 0.459 | 1.27 (0.66–2.32) |
| Age | 0.049 | 1.03 (1.00–1.06) | Age | 0.030 | 1.03 (1.00–1.07) |
| 6MWD | 0.007 | 0.996 (0.993–0.999) | Peak VO2 | 0.077 | 0.99 (0.98–1.00) |
| ln (T-tproBNP) | 0.839 | 1.03 (0.78–1.38) | ln (NT-proBNP) | 0.363 | 1.14 (0.86–1.53) |
| Model 6a | Model 6b | ||||
| Sex | 0.275 | 1.35 (0.78–2.26) | Sex | 0.083 | 1.66 (0.92–2.89) |
| Age | 0.027 | 1.03 (1.00–1.06) | Age | 0.010 | 1.04 (1.01–1.07) |
| 6MWD | 0.054 | 0.997 (0.994–1.000) | Peak VO2 | 0.212 | 0.993 (0.981–1.004) |
| MELD | 0.098 | 1.08 (0.99–1.19) | MELD | 0.040 | 1.10 (1.01–1.21) |
| Model 7a | Model 7b | ||||
| Sex | 0.607 | 1.14 (0.68–1.84) | Sex | 0.249 | 1.40 (0.78–2.42) |
| Age | 0.020 | 1.03 (1.01–1.06) | Age | 0.007 | 1.04 (1.01–1.07) |
| 6MWD | 0.067 | 0.997 (0.994–1.000) | Peak VO2 | 0.207 | 0.99 (0.98–1.00) |
| CP class | 0.064 | 1.14 (0.99–1.30) | CP class | 0.058 | 1.14 (1.00–1.31) |
Disclaimer/Publisher’s Note: The statements, opinions and data contained in all publications are solely those of the individual author(s) and contributor(s) and not of MDPI and/or the editor(s). MDPI and/or the editor(s) disclaim responsibility for any injury to people or property resulting from any ideas, methods, instructions or products referred to in the content. |
© 2026 by the authors. Licensee MDPI, Basel, Switzerland. This article is an open access article distributed under the terms and conditions of the Creative Commons Attribution (CC BY) license.
Share and Cite
John, T.; Avian, A.; Kovacs, G.; Fickert, P.; Foris, V.; Gumpoldsberger, M.; John, N.; Laule, A.; Olschewski, H.; Stadlbauer, V.; et al. Prognostic Value of Exercise Testing in Patients with Liver Cirrhosis. Diagnostics 2026, 16, 1036. https://doi.org/10.3390/diagnostics16071036
John T, Avian A, Kovacs G, Fickert P, Foris V, Gumpoldsberger M, John N, Laule A, Olschewski H, Stadlbauer V, et al. Prognostic Value of Exercise Testing in Patients with Liver Cirrhosis. Diagnostics. 2026; 16(7):1036. https://doi.org/10.3390/diagnostics16071036
Chicago/Turabian StyleJohn, Teresa, Alexander Avian, Gabor Kovacs, Peter Fickert, Vasile Foris, Maximilian Gumpoldsberger, Nikolaus John, Antonia Laule, Horst Olschewski, Vanessa Stadlbauer, and et al. 2026. "Prognostic Value of Exercise Testing in Patients with Liver Cirrhosis" Diagnostics 16, no. 7: 1036. https://doi.org/10.3390/diagnostics16071036
APA StyleJohn, T., Avian, A., Kovacs, G., Fickert, P., Foris, V., Gumpoldsberger, M., John, N., Laule, A., Olschewski, H., Stadlbauer, V., Kneidinger, N., Stauber, R., & Douschan, P. (2026). Prognostic Value of Exercise Testing in Patients with Liver Cirrhosis. Diagnostics, 16(7), 1036. https://doi.org/10.3390/diagnostics16071036

