Potential Utility of Combined Salivary Calprotectin and Anti-Cyclic Citrullinated Peptide in Rheumatoid Arthritis Assessment
Abstract
1. Introduction
2. Materials and Methods
2.1. Study Design and Participants
2.2. Ethical Statement
2.3. Saliva Collection
2.4. Salivary Calprotectin and Anti-CCP Testing
2.5. Statistical Analysis
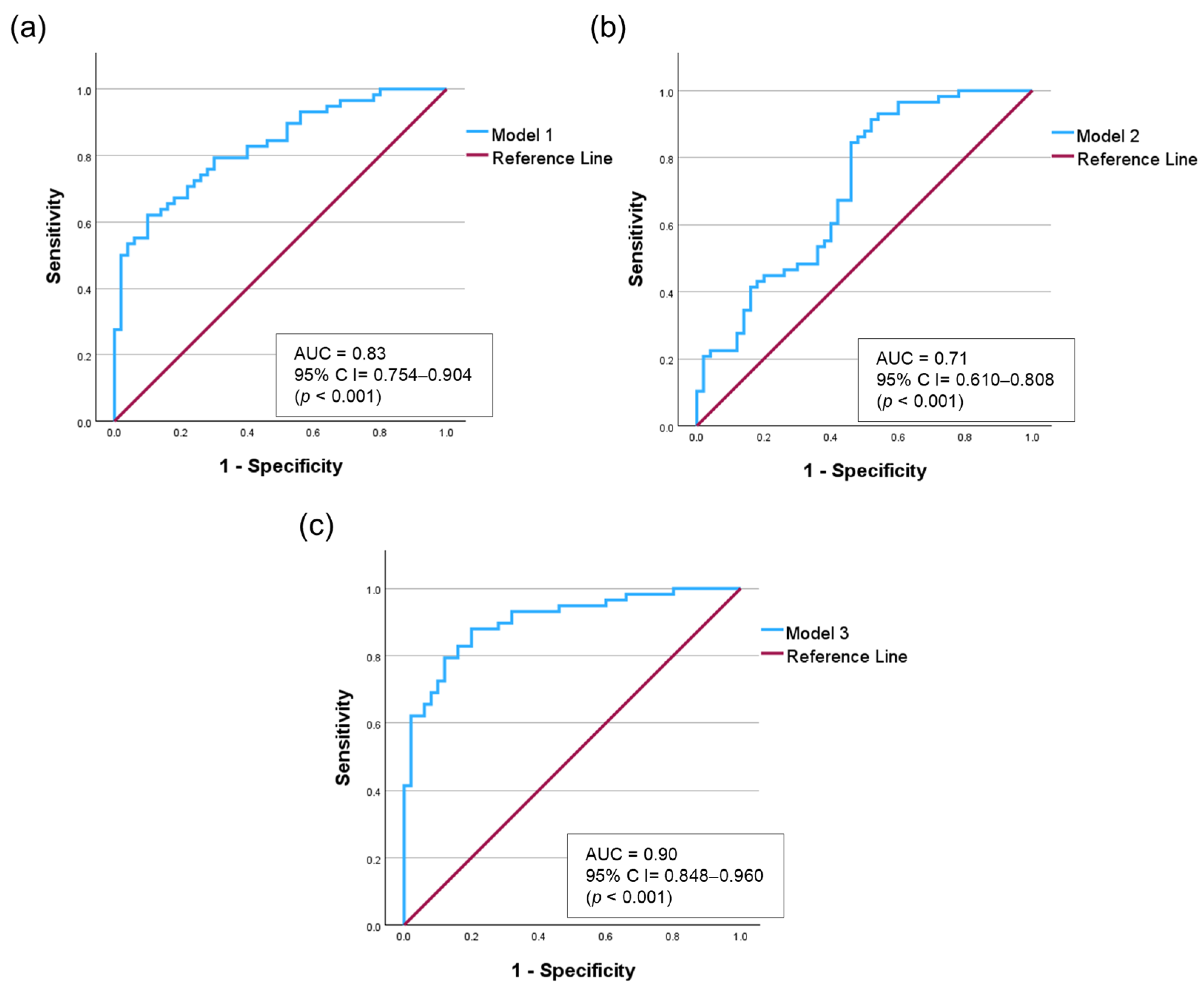
- Model 1 (unadjusted): salivary calprotectin and salivary anti-CCP only;
- Model 2 (partially adjusted): Model 1 + sex, age, and body mass index (BMI);
- Model 3 (clinically refined): salivary calprotectin, salivary anti-CCP, age, sex, alcohol consumption, dry mouth symptoms, and hyperlipidemia.
2.6. Artificial Intelligence Tool Usage
3. Results
3.1. Demographic and Clinical Characteristics
3.2. Salivary Calprotectin and Anti-CCP Levels in the RA Group and HCs
3.3. Association of Salivary Biomarkers with Radiographic Joint Damage in Patients with RA
3.4. Correlation Between Salivary Biomarkers and Clinical Parameters
3.5. Diagnostic Value of Salivary Calprotectin and Anti-CCP Based on ROC-Derived Cut-Off
3.6. Diagnostic Performance According to Disease Activity
3.7. Logistic Regression and ROC Modeling for the Prediction of RA
4. Discussion
5. Conclusions
Supplementary Materials
Author Contributions
Funding
Institutional Review Board Statement
Informed Consent Statement
Data Availability Statement
Acknowledgments
Conflicts of Interest
Correction Statement
Abbreviations
| ACR | American College of Rheumatology |
| Anti-CCP | Anti-cyclic citrullinated peptide |
| AUC | Area under the curve |
| bDMARDs | Biologic disease-modifying antirheumatic drugs |
| BE | Bone erosion |
| BMI | Body mass index |
| CDAI | Clinical Disease Activity Index |
| cDMARDs | Conventional disease-modifying antirheumatic drugs |
| CI | Confidence interval |
| CRP | C-reactive protein |
| DAS28 | Disease Activity Score in 28 joints |
| ELISA | Enzyme-linked immunosorbent assay |
| ESR | Erythrocyte sedimentation rate |
| EULAR | European Alliance of Associations for Rheumatology |
| HC | Healthy controls |
| IBD | Inflammatory bowel disease |
| IgA | Immunoglobulin A |
| IgG | Immunoglobulin G |
| IQR | Interquartile range |
| JIA | Juvenile idiopathic arthritis |
| JSN | Joint space narrowing |
| NSAIDs | Non-steroidal anti-inflammatory drugs |
| OR | Odds ratio |
| RA | Rheumatoid arthritis |
| RF | Rheumatoid factor |
| SS | Sjögren’s syndrome |
References
- Zhang, Z.; Gao, X.; Liu, S.; Wang, Q.; Wang, Y.; Hou, S.; Wang, J.; Zhang, Y. Global, regional, and national epidemiology of rheumatoid arthritis among people aged 20–54 years from 1990 to 2021. Sci. Rep. 2025, 15, 10736. [Google Scholar] [CrossRef]
- Falconer, J.; Murphy, A.N.; Young, S.P.; Clark, A.R.; Tiziani, S.; Guma, M.; Buckley, C.D. Review: Synovial cell metabolism and chronic inflammation in rheumatoid arthritis. Arthritis Rheumatol. 2018, 70, 984–999. [Google Scholar] [CrossRef] [PubMed]
- Espinoza, F.; Fabre, S.; Pers, Y.M. Remission-induction therapies for early rheumatoid arthritis: Evidence to date and clinical implications. Ther. Adv. Musculoskelet. Dis. 2016, 8, 107–118. [Google Scholar] [CrossRef]
- Martins, F.M.; da Silva, J.A.; Santos, M.J.; Vieira-Sousa, E.; Duarte, C.; Santos, H.; Costa, J.A.; Pimentel-Santos, F.M.; Cunha, I.; Cunha Miranda, L.; et al. DAS28, CDAI and SDAI cut-offs do not translate the same information: Results from the rheumatic diseases Portuguese register reuma.pt. Rheumatology 2015, 54, 286–291. [Google Scholar] [CrossRef]
- Futó, G.; Somogyi, A.; Szekanecz, Z. Visualization of DAS28, SDAI, and CDAI: The magic carpets of rheumatoid arthritis. Clin. Rheumatol. 2014, 33, 623–629. [Google Scholar] [CrossRef] [PubMed]
- Shapiro, S.C. Biomarkers in rheumatoid arthritis. Cureus 2021, 13, e15063. [Google Scholar] [CrossRef]
- Stríz, I.; Trebichavský, I. Calprotectin—A pleiotropic molecule in acute and chronic inflammation. Physiol. Res. 2004, 53, 245–253. [Google Scholar] [CrossRef]
- Bjarnason, I. The use of fecal calprotectin in inflammatory bowel disease. Gastroenterol. Hepatol. 2017, 13, 53–56. [Google Scholar]
- Hu, H.; Du, F.; Zhang, S.; Zhang, W. Serum calprotectin correlates with risk and disease severity of ankylosing spondylitis and its change during first month might predict favorable response to treatment. Mod. Rheumatol. 2019, 29, 836–842. [Google Scholar] [CrossRef]
- Li, B.; Li, G.; Song, Z.; Zhang, Z. Serum calprotectin as a promising inflammatory biomarker in psoriatic arthritis: A 1-Year longitudinal study. Rheumatol. Ther. 2023, 10, 149–160. [Google Scholar] [CrossRef]
- Homa-Mlak, I.; Mazurek, M.; Majdan, A.; Mlak, R.; Majdan, M.; Mełecka-Massalska, T. Serum calprotectin—A NET product—As a biomarker of disease activity in patients with systemic lupus erythematosus: A single-center case–control study from Poland. Med. Sci. Monit. 2022, 28, e936534. [Google Scholar] [CrossRef] [PubMed]
- Kang, K.Y.; Woo, J.W.; Park, S.H. S100A8/A9 as a biomarker for synovial inflammation and joint damage in patients with rheumatoid arthritis. Korean J. Intern. Med. 2014, 29, 12–19. [Google Scholar] [CrossRef]
- Sweet, S.P.; Denbury, A.N.; Challacombe, S.J. Salivary calprotectin levels are raised in patients with oral candidiasis or sjögren’s syndrome but decreased by HIV infection. Oral Microbiol. Immunol. 2001, 6, 119–123. [Google Scholar] [CrossRef] [PubMed]
- Forslind, K.; Ahlmén, M.; Eberhardt, K.; Hafström, I.; Svensson, B.; BARFOT Study Group. Prediction of radiological outcome in early rheumatoid arthritis in clinical practice: Role of antibodies to citrullinated peptides (anti-CCP). Ann. Rheum. Dis. 2004, 63, 1090–1095. [Google Scholar] [CrossRef]
- Sakkas, L.I.; Bogdanos, D.P.; Katsiari, C.; Platsoucas, C.D. Anti-citrullinated peptides as autoantigens in rheumatoid arthritis—Relevance to treatment. Autoimmun. Rev. 2014, 13, 1114–1120. [Google Scholar] [CrossRef]
- Harrold, L.R.; Bryson, J.; Lehman, T.; Zhuo, J.; Gao, S.; Han, X.; Schrader, A.; Rebello, S.; Pappas, D.A.; Sommers, T.; et al. Association between baseline anti-cyclic citrullinated peptide antibodies and 6-month clinical response following abatacept or TNF inhibitor treatment: A real-world analysis of biologic-experienced patients with RA. Rheumatol. Ther. 2021, 8, 937–953. [Google Scholar] [CrossRef]
- Issilbayeva, A.; Ainabekova, B.; Zhetkenev, S.; Meiramova, A.; Akhmetova, Z.; Karina, K.; Kozhakhmetov, S.; Nurgaziyev, M.; Chulenbayeva, L.; Poddighe, D.; et al. Association study of anticitrullinated peptide antibody status with clinical manifestations and SNPs in patients affected with rheumatoid arthritis: A pilot study. Dis. Markers 2022, 2022, 2744762. [Google Scholar] [CrossRef] [PubMed]
- Svärd, A.; Roos Ljungberg, K.; Brink, M.; Martinsson, K.; Sjöwall, C.; Rantapää Dahlqvist, S.; Kastbom, A. Secretory antibodies to citrullinated peptides in plasma and saliva from rheumatoid arthritis patients and their unaffected first-degree relatives. Clin. Exp. Immunol. 2020, 199, 143–149. [Google Scholar] [CrossRef]
- Svärd, A.; Kastbom, A.; Sommarin, Y.; Skogh, T. Salivary IgA antibodies to cyclic citrullinated peptides (CCP) in rheumatoid arthritis. Immunobiology 2013, 218, 232–237. [Google Scholar] [CrossRef]
- Roos Ljungberg, K.; Börjesson, E.; Martinsson, K.; Wetterö, J.; Kastbom, A.; Svärd, A. Presence of salivary IgA anti-citrullinated protein antibodies associate with higher disease activity in patients with rheumatoid arthritis. Arthritis Res. Ther. 2020, 22, 274. [Google Scholar] [CrossRef]
- Mortazavi, N.; Abdolahi, N.; Saeidi, M.; Ali Vakili, M.; Mohebrad, P. Salivary anti-cyclic citrullinated peptide as a screening tool for rheumatoid arthritis. Arch. Rheumatol. 2022, 38, 95–100. [Google Scholar] [CrossRef]
- Yoshizawa, J.M.; Schafer, C.A.; Schafer, J.J.; Farrell, J.J.; Paster, B.J.; Wong, D.T. Salivary biomarkers: Toward future clinical and diagnostic utilities. Clin. Microbiol. Rev. 2013, 26, 781–791. [Google Scholar] [CrossRef] [PubMed]
- Dongiovanni, P.; Meroni, M.; Casati, S.; Goldoni, R.; Thomaz, D.V.; Kehr, N.S.; Galimberti, D.; Del Fabbro, M.; Tartaglia, G.M. Salivary biomarkers: Novel noninvasive tools to diagnose chronic inflammation. Int. J. Oral Sci. 2023, 15, 27. [Google Scholar] [CrossRef] [PubMed]
- Ferrari, E.; Gallo, M.; Spisni, A.; Antonelli, R.; Meleti, M.; Pertinhez, T.A. Human serum and salivary metabolomes: Diversity and closeness. Int. J. Mol. Sci. 2023, 24, 16603. [Google Scholar] [CrossRef] [PubMed]
- Bae, S.C.; Lee, Y.H. Calprotectin levels in rheumatoid arthritis and their correlation with disease activity: A meta-analysis. Postgrad. Med. 2017, 129, 531–537. [Google Scholar] [CrossRef]
- Manfredi, M.; Van Hoovels, L.; Benucci, M.; De Luca, R.; Coccia, C.; Bernardini, P.; Russo, E.; Amedei, A.; Guiducci, S.; Grossi, V.; et al. Circulating calprotectin (cCLP) in autoimmune diseases. Autoimmun. Rev. 2023, 22, 103295. [Google Scholar] [CrossRef]
- Hammer, H.B.; Pedersen, S.L.; Jonsson, M.K.; Mathsson-Alm, L.; Gehring, I.; Sexton, J.; Haavardsholm, E.A.; Askling, J. Calprotectin, a sensitive marker of inflammation, is robustly assessed in plasma from patients with early or established rheumatoid arthritis by use of different laboratory methods. Scand. J. Clin. Lab. Investig. 2023, 83, 330–335. [Google Scholar] [CrossRef]
- Inciarte-Mundo, J.; Frade-Sosa, B.; Sanmartí, R. From bench to bedside: Calprotectin (S100A8/S100A9) as a biomarker in rheumatoid arthritis. Front. Immunol. 2022, 13, 1001025. [Google Scholar] [CrossRef]
- Ometto, F.; Friso, L.; Astorri, D.; Botsios, C.; Raffeiner, B.; Punzi, L.; Doria, A. Calprotectin in rheumatic diseases. Exp. Biol. Med. 2017, 242, 859–873. [Google Scholar] [CrossRef]
- Bos, V.; Crouwel, F.; Waaijenberg, P.; Bouma, G.; Duijvestein, M.; Buiter, H.J.; Brand, H.S.; Hamer, H.M.; De Boer, N.K. Salivary calprotectin is not a useful biomarker to monitor disease activity in patients with inflammatory bowel disease. J. Gastrointestin. Liver Dis. 2022, 31, 283–289. [Google Scholar] [CrossRef]
- Liguori, S.; Musella, G.; Adamo, D.; Miele, E.; Coppola, N.; Canfora, F.; Del Giudice, C.; Spagnuolo, G.; Rengo, S.; Mignogna, M.D.; et al. Salivary calprotectin as a biomarker in early onset inflammatory bowel disease: A pilot study. J. Clin. Med. 2025, 14, 4232. [Google Scholar] [CrossRef]
- Serdaroğlu, M.; Cakirbay, H.; Değer, O.; Cengiz, S.; Kul, S. The association of anti-CCP antibodies with disease activity in rheumatoid arthritis. Rheumatol. Int. 2008, 28, 965–970. [Google Scholar] [CrossRef] [PubMed]
- Pandarathodiyil, A.K.; Kasirajan, H.S.; Vemuri, S.; Sujai, G.V.N.S.; Sivapathasundharam, B.; Ramadoss, R. Potential of salivary biomarkers for diagnosing and prognosing rheumatoid arthritis: A systematic review and meta-analysis. J. Stomatol. Oral Maxillofac. Surg. 2025, 126, 102074. [Google Scholar] [CrossRef] [PubMed]
- Svärd, A.; Renvert, S.; Sanmartin Berglund, J.; Persson, R.G.; Söderlin, M. Antibodies to citrullinated peptides in serum and saliva in patients with rheumatoid arthritis and their association to periodontitis. Clin. Exp. Rheumatol. 2020, 38, 699–704. [Google Scholar]
- Kim, H.H.; Kim, J.; Park, S.H.; Kim, S.K.; Kim, O.D.; Choe, J.Y. Correlation of anti-cyclic citrullinated antibody with hand joint erosion score in rheumatoid arthritis patients. Korean J. Intern. Med. 2010, 25, 201–206. [Google Scholar] [CrossRef] [PubMed]
- Rydell, E.; Forslind, K.; Nilsson, J.Å.; Karlsson, M.; Åkesson, K.E.; Jacobsson, L.T.H.; Turesson, C. Predictors of radiographic erosion and joint space narrowing progression in patients with early rheumatoid arthritis: A cohort study. Arthritis Res. Ther. 2021, 23, 27. [Google Scholar] [CrossRef]
- Jankowski, J.; Nijakowski, K. Salivary immunoglobulin A alterations in health and disease: A bibliometric analysis of diagnostic trends from 2009 to 2024. Antibodies 2024, 13, 98. [Google Scholar] [CrossRef]
- Niemelä, M.; Niemelä, O.; Bloigu, R.; Bloigu, A.; Kangastupa, P.; Juvonen, T. Serum calprotectin, a marker of neutrophil activation, and other mediators of inflammation in response to various types of extreme physical exertion in healthy volunteers. J. Inflamm. Res. 2020, 13, 223–231. [Google Scholar] [CrossRef]
- van Delft, M.A.M.; Huizinga, T.W.J. An overview of autoantibodies in rheumatoid arthritis. J. Autoimmun. 2020, 110, 102392. [Google Scholar] [CrossRef]
- Lis, V.E.; Skutnik-Radziszewska, A.; Zalewska, E.; Zalewska, A. Salivary biomarkers for the diagnosis of Sjögren’s syndrome: A review of the last decade. Biomedicines 2025, 13, 2664. [Google Scholar] [CrossRef]
- Lee, Y.H.; Hong, S.J.; Lee, G.J.; Shin, S.I.; Hong, J.Y.; Chung, S.W.; Lee, Y.A. Investigation of periodontitis, halitosis, xerostomia, and serological characteristics of patients with osteoarthritis and rheumatoid arthritis and identification of new biomarkers. Sci. Rep. 2024, 14, 4316. [Google Scholar] [CrossRef]
- Holers, V.M.; Demoruelle, M.K.; Kuhn, K.A.; Buckner, J.H.; Robinson, W.H.; Okamoto, Y.; Norris, J.M.; Deane, K.D. Rheumatoid arthritis and the mucosal origins hypothesis: Protection turns to destruction. Nat. Rev. Rheumatol. 2018, 14, 542–557. [Google Scholar] [CrossRef]
- Derksen, V.F.A.M.; Allaart, C.F.; Van der Helm-Van Mil, A.H.M.; Huizinga, T.W.J.; Toes, R.E.M.; van der Woude, D. In rheumatoid arthritis patients, total IgA1 and IgA2 levels are elevated: Implications for the mucosal origin hypothesis. Rheumatology 2022, 62, 407–416. [Google Scholar] [CrossRef] [PubMed]
- Abdukhakimova, D.; Dossybayeva, K.; Almukhamedova, Z.; Mukusheva, Z.; Assylbekova, M.; Zhangabylova, D.; Nurgaliyeva, K.; Boluspayeva, N.; Kulmangabetova, K.; Hasanova, L.; et al. Serum immunoglobulin A (IgA) levels in children affected with Juvenile Idiopathic Arthritis. Heliyon 2023, 9, e17479. [Google Scholar] [CrossRef] [PubMed]
- Chung, S.W.; Hong, S.J. Application of salivary alpha-1 antitrypsin in the diagnosis of rheumatoid arthritis: A pilot study. Medicina 2024, 60, 605. [Google Scholar] [CrossRef] [PubMed]




| RA (n = 58) | HC (n = 50) | p-Value | |
|---|---|---|---|
| Demographic parameters | |||
| Sex, female/male | 49/9 | 40/10 | 0.542 |
| Age, years | 63.1 ± 10.6 | 59.6 ± 8.6 | 0.061 |
| BMI, kg/m2 | 24.0 ± 3.4 | 24.3 ± 3.8 | 0.721 |
| Disease duration, years | 13.2 ± 7.7 | - | - |
| Alcohol consumption | 15 (25.9) | 23 (46.0) | 0.030 |
| Smoking status | 6 (10.3) | 3 (6.0) | 0.500 |
| Clinical and serological parameters | |||
| RF (IU/mL) | 122.5 ± 239.9 | - | - |
| Anti-CCP (units/mL) | 438.1 ± 630.8 | - | - |
| ESR (mm/h) | 22.1 ± 18.8 | - | - |
| CRP (mg/dL) | 0.62 ± 0.64 | - | - |
| DAS28-ESR | 2.60 ± 0.85 | - | - |
| DAS28-CRP | 1.80 ± 0.64 | - | - |
| Salivary Flow (5 min, mL) | 2.8 ± 2.1 | 3.1 ± 1.3 | 0.381 |
| Dry mouth symptoms | 16 (27.6) | 3 (6.0) | 0.003 |
| Radiographic images | |||
| Joint space narrowing | 35 (60.3) | - | - |
| Bone erosion | 25 (43.1) | - | - |
| Comorbidities | |||
| HTN | 28 (48.3) | 18 (36.0) | 0.198 |
| Hyperlipidemia | 31 (73.8) | 11 (22.0) | <0.001 |
| DM | 6 (10.3) | 4 (8.0) | 0.749 |
| Concomitant medications | |||
| cDMARDs | 54 (93.1) | - | - |
| bDMARDs or tsDMARDs | 12 (20.7) | - | - |
| Glucocorticoids | 36 (62.1) | - | - |
| NSAIDs | 33 (56.9) | - | - |
| Salivary Calprotectin | Salivary Anti-CCP | |||||
|---|---|---|---|---|---|---|
| r | p-Value | n | r | p-Value | n | |
| Age | 0.044 | 0.740 | 58 | 0.085 | 0.526 | 58 |
| BMI | −0.072 | 0.592 | 58 | 0.057 | 0.672 | 58 |
| Disease duration | 0.274 | 0.038 | 58 | 0.073 | 0.585 | 58 |
| Salivary Flow (5 min, mL) | −0.177 | 0.184 | 58 | −0.165 | 0.217 | 58 |
| ESR | −0.018 | 0.892 | 58 | 0.311 | 0.017 | 58 |
| CRP | −0.131 | 0.326 | 58 | −0.012 | 0.925 | 58 |
| DAS28-ESR | 0.128 | 0.339 | 58 | 0.136 | 0.308 | 58 |
| DAS28-CRP | 0.089 | 0.508 | 58 | −0.101 | 0.449 | 58 |
| RF | 0.019 | 0.886 | 58 | 0.516 | <0.001 | 58 |
| Anti-CCP | 0.012 | 0.931 | 58 | 0.699 | <0.001 | 58 |
| Salivary calprotectin | 1.000 | - | 58 | −0.047 | 0.724 | 58 |
| Salivary anti-CCP | −0.047 | 0.724 | 58 | 1.000 | - | 58 |
| Variable | Cut-Off | OR | 95% CI | p-Value |
|---|---|---|---|---|
| Calprotectin | 8.57 µg/mL | 4.153 | 1.787–9.653 | <0.001 |
| Anti-CCP | 28.54 Units | 8.591 | 3.411–21.634 | <0.001 |
| Subgroup (DAS28-ESR) | Biomarker | AUC | SE | 95% CI | p-Value |
|---|---|---|---|---|---|
| Moderate/High (≥3.2, n = 12) | Salivary Calprotectin | 0.68 | 0.079 | 0.524–0.836 | 0.054 |
| Salivary Anti-CCP | 0.79 | 0.099 | 0.593–0.981 | 0.002 | |
| Low/Remission (<3.2, n = 46) | Salivary Calprotectin | 0.71 | 0.053 | 0.602–0.809 | <0.001 |
| Salivary Anti-CCP | 0.72 | 0.055 | 0.612–0.826 | <0.001 |
| Variable | β | S.E. | Wald | OR | 95% CI | p-Value |
|---|---|---|---|---|---|---|
| Sex | 0.308 | 0.506 | 0.371 | 1.361 | 0.504–3.673 | 0.543 |
| Age | 0.038 | 0.020 | 3.429 | 1.039 | 0.998–1.081 | 0.064 |
| BMI | −0.021 | 0.059 | 0.131 | 0.979 | 0.873–1.098 | 0.718 |
| Alcohol consumption | −0.893 | 0.413 | 4.677 | 0.410 | 0.182–0.920 | 0.031 |
| Dry mouth symptoms | 1.786 | 0.664 | 7.238 | 5.968 | 1.624–21.931 | 0.007 |
| Hyperlipidemia | 1.404 | 0.431 | 10.604 | 4.071 | 1.749–9.476 | 0.001 |
| Salivary calprotectin | 0.105 | 0.030 | 11.947 | 1.111 | 1.047–1.179 | 0.001 |
| Salivary anti-CCP | 0.048 | 0.013 | 12.748 | 1.049 | 1.022–1.077 | 0.001 |
Disclaimer/Publisher’s Note: The statements, opinions and data contained in all publications are solely those of the individual author(s) and contributor(s) and not of MDPI and/or the editor(s). MDPI and/or the editor(s) disclaim responsibility for any injury to people or property resulting from any ideas, methods, instructions or products referred to in the content. |
© 2025 by the authors. Licensee MDPI, Basel, Switzerland. This article is an open access article distributed under the terms and conditions of the Creative Commons Attribution (CC BY) license.
Share and Cite
Kim, M.; Kim, Y.I.; Lee, Y.-A.; Hong, S.-J. Potential Utility of Combined Salivary Calprotectin and Anti-Cyclic Citrullinated Peptide in Rheumatoid Arthritis Assessment. Diagnostics 2026, 16, 23. https://doi.org/10.3390/diagnostics16010023
Kim M, Kim YI, Lee Y-A, Hong S-J. Potential Utility of Combined Salivary Calprotectin and Anti-Cyclic Citrullinated Peptide in Rheumatoid Arthritis Assessment. Diagnostics. 2026; 16(1):23. https://doi.org/10.3390/diagnostics16010023
Chicago/Turabian StyleKim, Misong, Young Il Kim, Yeon-Ah Lee, and Seung-Jae Hong. 2026. "Potential Utility of Combined Salivary Calprotectin and Anti-Cyclic Citrullinated Peptide in Rheumatoid Arthritis Assessment" Diagnostics 16, no. 1: 23. https://doi.org/10.3390/diagnostics16010023
APA StyleKim, M., Kim, Y. I., Lee, Y.-A., & Hong, S.-J. (2026). Potential Utility of Combined Salivary Calprotectin and Anti-Cyclic Citrullinated Peptide in Rheumatoid Arthritis Assessment. Diagnostics, 16(1), 23. https://doi.org/10.3390/diagnostics16010023

