Analytical Validation of NavDx+Gyn, a cfDNA-Based Fragmentomic Profiling Assay for HPV-Driven Gynecologic Cancers
Abstract
1. Introduction
2. Materials and Methods
2.1. Test Characteristics
2.2. Bioinformatics
2.3. Validation Materials
2.4. Determination of Assay Performance Characteristics
2.4.1. Specificity (Limit of Blank)
2.4.2. Sensitivity (Detection Limit)
2.4.3. Accuracy, Precision, and Linearity
3. Results
3.1. Detection Capability
3.1.1. Specificity (Limit of Blank)
3.1.2. Sensitivity (Detection Limit) and Limit of Quantitation
3.2. Analytical Accuracy
3.3. Precision Studies
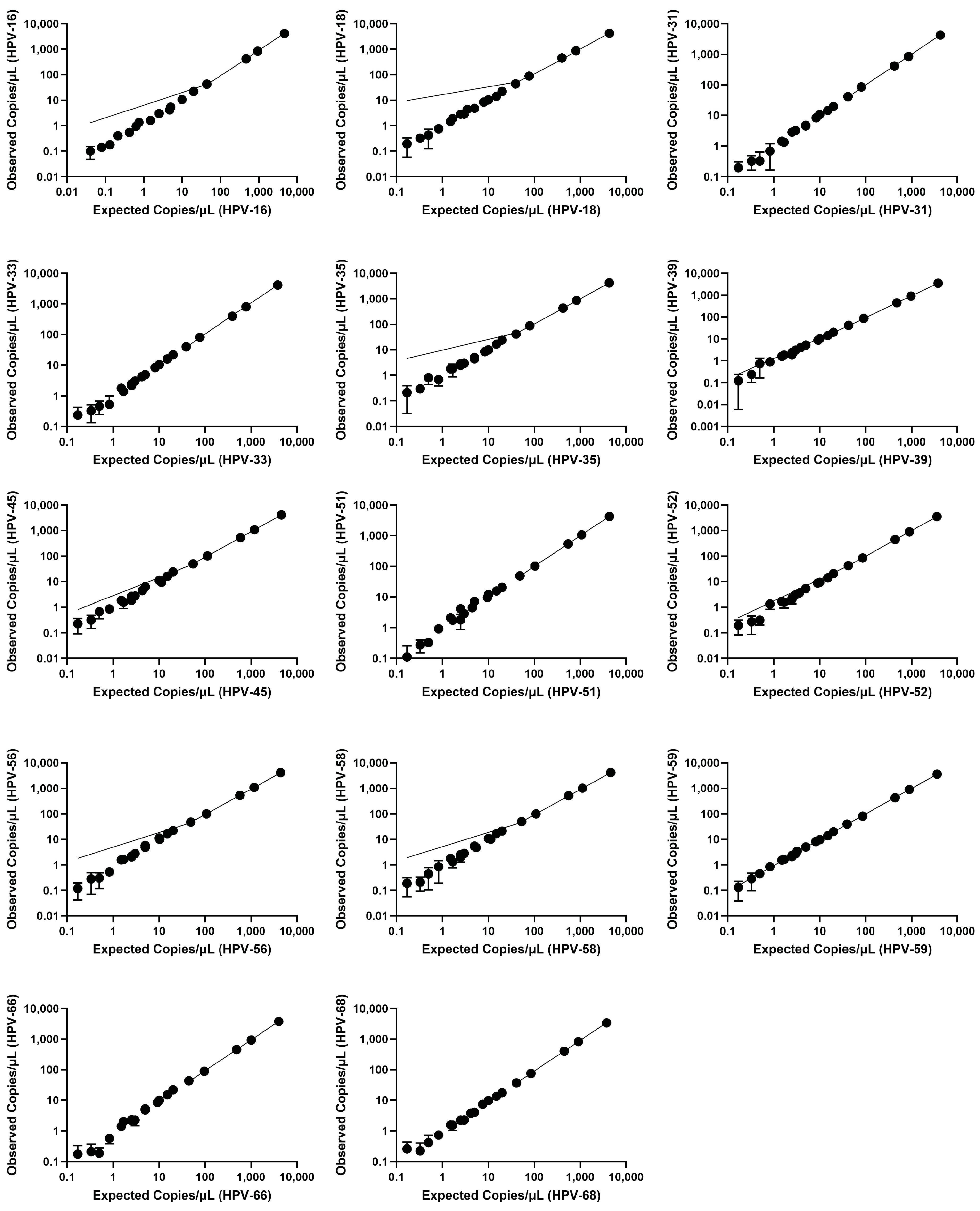
3.4. Linearity
4. Discussion
5. Patents
Author Contributions
Funding
Institutional Review Board Statement
Informed Consent Statement
Data Availability Statement
Acknowledgments
Conflicts of Interest
Appendix A. Dilution Series for Analytical Validation Parameters: Accuracy, Precision, Linearity, LoD, and LoQ
| Dilution Series Used to Determine Accuracy, Precision, and Linearity (copies/µL) | ||||||||||||||
|---|---|---|---|---|---|---|---|---|---|---|---|---|---|---|
| Concentration | HPV Type | |||||||||||||
| Level * | 16 | 18 | 31 | 33 | 35 | 39 | 45 | 51 | 52 | 56 | 58 | 59 | 66 | 68 |
| 1 | 4696 | 4317 | 4240 | 3822 | 4277 | 3790 | 4611 | 4299 | 3582 | 4431 | 4616 | 3605 | 4026 | 3747 |
| 2 | 940 | 808 | 862 | 775 | 832 | 973 | 1187 | 1076 | 895 | 1160 | 1122 | 891 | 1009 | 915 |
| 3 | 468 | 400 | 422 | 393 | 423 | 476 | 589 | 546 | 441 | 574 | 561 | 439 | 486 | 449 |
| 4 | - | 77 | 81 | 77 | 80 | 91 | 113 | 104 | 86 | 107 | 109 | 86 | 96 | 84 |
| 5 | 44 | 39 | 41 | 39 | 40 | 43 | 55 | 49 | 42 | 49 | 53 | 40 | 45 | 41 |
| 6 | - | 7.9 | 8.4 | 8.2 | 8.4 | 9.2 | 11.3 | 9.6 | 9.0 | 10.3 | 11.3 | 8.3 | 9.2 | 7.5 |
| 7 | 4.7 | 3.5 | 5.0 | 4.2 | 5.0 | 3.9 | 4.3 | 4.5 | 3.6 | 5.0 | 5.4 | 3.3 | 5.0 | 4.2 |
| 8 | 20 | 20 | 20 | 20 | 20 | 20 | 20 | 20 | 20 | 20 | 20 | 20 | 20 | 20 |
| 9 | - | 15 | 15 | 15 | 15 | 15 | 15 | 15 | 15 | 15 | 15 | 15 | 15 | 15 |
| 10 | 10 | 10 | 10 | 10 | 10 | 10 | 10 | 10 | 10 | 10 | 10 | 10 | 10 | 10 |
| 11 | 5 | 5 | 5 | 5 | 5 | 5 | 5 | 5 | 5 | 5 | 5 | 5 | 5 | 5 |
| 12 | - | 3 | 3 | 3 | 3 | 3 | 3 | 3 | 3 | 3 | 3 | 3 | 3 | 3 |
| 13 | 2.5 | 2.5 | 2.5 | 2.5 | 2.5 | 2.5 | 2.5 | 2.5 | 2.5 | 2.5 | 2.5 | 2.50 | 2.50 | 2.50 |
| 14 | - | 1.7 | 1.7 | 1.7 | 1.7 | 1.7 | 1.7 | 1.7 | 1.7 | 1.7 | 1.7 | 1.67 | 1.67 | 1.67 |
| 15 | 1.5 | 1.5 | 1.5 | 1.5 | 1.5 | 1.5 | 1.5 | 1.5 | 1.5 | 1.5 | 1.5 | 1.50 | 1.50 | 1.50 |
| 16 | - | 0.83 | 0.83 | 0.83 | 0.83 | 0.83 | 0.83 | 0.83 | 0.83 | 0.83 | 0.83 | 0.83 | 0.83 | 0.83 |
| 17 | - | 0.50 | 0.50 | 0.50 | 0.50 | 0.50 | 0.50 | 0.50 | 0.50 | 0.50 | 0.50 | 0.50 | 0.50 | 0.50 |
| 18 | - | 0.33 | 0.33 | 0.33 | 0.33 | 0.33 | 0.33 | 0.33 | 0.33 | 0.33 | 0.33 | 0.33 | 0.33 | 0.33 |
| 19 | - | 0.17 | 0.17 | 0.17 | 0.17 | 0.17 | 0.17 | 0.17 | 0.17 | 0.17 | 0.17 | 0.17 | 0.17 | 0.17 |
| 20 | 0.75 | - | - | - | - | - | - | - | - | - | - | - | - | - |
| 21 | 0.63 | - | - | - | - | - | - | - | - | - | - | - | - | - |
| 22 | 0.42 | - | - | - | - | - | - | - | - | - | - | - | - | - |
| 23 | 0.21 | - | - | - | - | - | - | - | - | - | - | - | - | - |
| 24 | 0.13 | - | - | - | - | - | - | - | - | - | - | - | - | - |
| 25 | 0.08 | - | - | - | - | - | - | - | - | - | - | - | - | - |
| 26 | 0.04 | - | - | - | - | - | - | - | - | - | - | - | - | - |
Appendix B. Linearity Across the Entire Detectable Concentration Range
| Concentration Levels in the First Phase of the LoQ/LoD Experiment | |
|---|---|
| HPV16 | HPV Types 18, 31, 33, 35, 39, 45, 51, 52, 56, 58, 59, 66, and 68 |
| 20 | 20 |
| 10 | 15 |
| 5 | 10 |
| 2.5 | 5 |
| 1.5 | 2.5 |
| 1.5 | |
| Concentration Levels in the Second Phase of the LoQ/LoD Experiment | |
| HPV16 | HPV Types 18, 31, 33, 35, 39, 45, 51, 52, 56, 58, 59, 66, and 68 |
| 0.75 | 3.00 |
| 0.63 | 2.50 |
| 0.42 | 1.67 |
| 0.21 | 0.83 |
| 0.13 | 0.50 |
| 0.08 | 0.33 |
| 0.04 | 0.17 |

| HPV Type | Equation | R2 Value |
|---|---|---|
| HPV16 | Y = 0.8872 × X + 1.262 | 0.9997 |
| HPV18 | Y = 0.9880 × X + 9.602 | 0.9967 |
| HPV31 | Y = 1.002 × X − 1.407 | 0.9989 |
| HPV33 | Y = 1.086 × X − 4.624 | 0.9984 |
| HPV35 | Y = 0.9909 × X + 4.416 | 0.9992 |
| HPV39 | Y = 0.9368 × X + 0.09014 | 0.9993 |
| HPV45 | Y = 0.8977 × X + 0.6558 | 0.9981 |
| HPV51 | Y = 0.9950 × X − 0.8600 | 0.9999 |
| HPV52 | Y = 0.9919 × X + 0.2239 | 0.9986 |
| HPV56 | Y = 0.9318 × X + 1.669 | 0.9977 |
| HPV58 | Y = 0.9035 × X + 1.781 | 0.9996 |
| HPV59 | Y = 0.9983 × X − 0.01611 | 0.9988 |
| HPV66 | Y = 0.9371 × X − 0.8443 | 0.9973 |
| HPV68 | Y = 0.9084 × X − 0.4254 | 0.9975 |
References
- Gheit, T. Mucosal and Cutaneous Human Papillomavirus Infections and Cancer Biology. Front. Oncol. 2019, 9, 355. [Google Scholar] [CrossRef] [PubMed]
- Rakislova, N.; Saco, A.; Sierra, A.; Del Pino, M.; Ordi, J. Role of Human Papillomavirus in Vulvar Cancer. Adv. Anat. Pathol. 2017, 24, 201–214. [Google Scholar] [CrossRef]
- Burd, E.M. Human papillomavirus and cervical cancer. Clin. Microbiol. Rev. 2003, 16, 1–17. [Google Scholar] [CrossRef] [PubMed]
- Rasmussen, C.L.; Bertoli, H.K.; Sand, F.L.; Kjaer, A.K.; Thomsen, L.T.; Kjaer, S.K. The prognostic significance of HPV, p16, and p53 protein expression in vaginal cancer: A systematic review. Acta Obstet. Gynecol. Scand. 2021, 100, 2144–2156. [Google Scholar] [CrossRef]
- Adams, T.S.; Rogers, L.J.; Cuello, M.A. Cancer of the vagina: 2021 update. Int. J. Gynaecol. Obstet. 2021, 155 (Suppl. 1), 19–27. [Google Scholar] [CrossRef] [PubMed]
- Cancer Statistics Data Visualizations Tool. United States Cancer Statistics Working Group, Centers for Disease Control and Prevention and National Cancer Institute, U.S. Department of Health and Human Services. 2024. Available online: https://www.cdc.gov/cancer/dataviz (accessed on 26 December 2024).
- United States Cancer Statistics. Cancers Associated with Human Papillomavirus. Centers for Disease Control and Prevention, U.S. Department of Health and Human Services. 2024. Available online: https://www.cdc.gov/united-states-cancer-statistics/publications/hpv-associated-cancers.html (accessed on 26 December 2024).
- Singh, D.; Vignat, J.; Lorenzoni, V.; Eslahi, M.; Ginsburg, O.; Lauby-Secretan, B.; Arbyn, M.; Basu, P.; Bray, F.; Vaccarella, S. Global estimates of incidence and mortality of cervical cancer in 2020: A baseline analysis of the WHO Global Cervical Cancer Elimination Initiative. Lancet Glob. Health 2023, 11, e197–e206. [Google Scholar] [CrossRef] [PubMed]
- Stelzle, D.; Tanaka, L.F.; Lee, K.K.; Ibrahim Khalil, A.; Baussano, I.; Shah, A.S.V.; McAllister, D.A.; Gottlieb, S.L.; Klug, S.J.; Winkler, A.S.; et al. Estimates of the global burden of cervical cancer associated with HIV. Lancet Glob. Health 2021, 9, e161–e169. [Google Scholar] [CrossRef]
- Wigle, J.; Coast, E.; Watson-Jones, D. Human papillomavirus (HPV) vaccine implementation in low and middle-income countries (LMICs): Health system experiences and prospects. Vaccine 2013, 31, 3811–3817. [Google Scholar] [CrossRef]
- Chao, X.; Fan, J.; Song, X.; You, Y.; Wu, H.; Wu, M.; Li, L. Diagnostic Strategies for Recurrent Cervical Cancer: A Cohort Study. Front. Oncol. 2020, 10, 591253. [Google Scholar] [CrossRef]
- Burmeister, C.A.; Khan, S.F.; Schafer, G.; Mbatani, N.; Adams, T.; Moodley, J.; Prince, S. Cervical cancer therapies: Current challenges and future perspectives. Tumour Virus Res. 2022, 13, 200238. [Google Scholar] [CrossRef]
- Marur, S.; D’Souza, G.; Westra, W.H.; Forastiere, A.A. HPV-associated head and neck cancer: A virus-related cancer epidemic. Lancet Oncol. 2010, 11, 781–789. [Google Scholar] [CrossRef] [PubMed]
- Westra, W.H. Detection of human papillomavirus (HPV) in clinical samples: Evolving methods and strategies for the accurate determination of HPV status of head and neck carcinomas. Oral Oncol. 2014, 50, 771–779. [Google Scholar] [CrossRef] [PubMed]
- Cescon, D.W.; Bratman, S.V.; Chan, S.M.; Siu, L.L. Circulating tumor DNA and liquid biopsy in oncology. Nat. Cancer 2020, 1, 276–290. [Google Scholar] [CrossRef]
- Neumann, M.H.D.; Bender, S.; Krahn, T.; Schlange, T. ctDNA and CTCs in Liquid Biopsy—Current Status and Where We Need to Progress. Comput. Struct. Biotechnol. J. 2018, 16, 190–195. [Google Scholar] [CrossRef] [PubMed]
- Krsek, A.; Baticic, L.; Sotosek, V.; Braut, T. The Role of Biomarkers in HPV-Positive Head and Neck Squamous Cell Carcinoma: Towards Precision Medicine. Diagnostics 2024, 14, 1448. [Google Scholar] [CrossRef]
- Hoppe-Seyler, K.; Bossler, F.; Braun, J.A.; Herrmann, A.L.; Hoppe-Seyler, F. The HPV E6/E7 Oncogenes: Key Factors for Viral Carcinogenesis and Therapeutic Targets. Trends Microbiol. 2018, 26, 158–168. [Google Scholar] [CrossRef]
- Estevao, D.; Costa, N.R.; Gil da Costa, R.M.; Medeiros, R. Hallmarks of HPV carcinogenesis: The role of E6, E7 and E5 oncoproteins in cellular malignancy. Biochim. Biophys. Acta Gene Regul. Mech. 2019, 1862, 153–162. [Google Scholar] [CrossRef]
- Yugawa, T.; Kiyono, T. Molecular mechanisms of cervical carcinogenesis by high-risk human papillomaviruses: Novel functions of E6 and E7 oncoproteins. Rev. Med. Virol. 2009, 19, 97–113. [Google Scholar] [CrossRef]
- Narisawa-Saito, M.; Kiyono, T. Basic mechanisms of high-risk human papillomavirus-induced carcinogenesis: Roles of E6 and E7 proteins. Cancer Sci. 2007, 98, 1505–1511. [Google Scholar] [CrossRef]
- Tomaic, V. Functional Roles of E6 and E7 Oncoproteins in HPV-Induced Malignancies at Diverse Anatomical Sites. Cancers 2016, 8, 95. [Google Scholar] [CrossRef]
- Song, S.; Liem, A.; Miller, J.A.; Lambert, P.F. Human papillomavirus types 16 E6 and E7 contribute differently to carcinogenesis. Virology 2000, 267, 141–150. [Google Scholar] [CrossRef]
- Ahn, S.M.; Chan, J.Y.; Zhang, Z.; Wang, H.; Khan, Z.; Bishop, J.A.; Westra, W.; Koch, W.M.; Califano, J.A. Saliva and plasma quantitative polymerase chain reaction-based detection and surveillance of human papillomavirus-related head and neck cancer. JAMA Otolaryngol. Head. Neck Surg. 2014, 140, 846–854. [Google Scholar] [CrossRef] [PubMed]
- Cao, H.; Banh, A.; Kwok, S.; Shi, X.; Wu, S.; Krakow, T.; Khong, B.; Bavan, B.; Bala, R.; Pinsky, B.A.; et al. Quantitation of human papillomavirus DNA in plasma of oropharyngeal carcinoma patients. Int. J. Radiat. Oncol. Biol. Phys. 2012, 82, e351–e358. [Google Scholar] [CrossRef] [PubMed]
- Dahlstrom, K.R.; Li, G.; Hussey, C.S.; Vo, J.T.; Wei, Q.; Zhao, C.; Sturgis, E.M. Circulating human papillomavirus DNA as a marker for disease extent and recurrence among patients with oropharyngeal cancer. Cancer 2015, 121, 3455–3464. [Google Scholar] [CrossRef] [PubMed]
- Damerla, R.R.; Lee, N.Y.; You, D.; Soni, R.; Shah, R.; Reyngold, M.; Katabi, N.; Wu, V.; McBride, S.M.; Tsai, C.J.; et al. Detection of Early Human Papillomavirus-Associated Cancers by Liquid Biopsy. JCO Precis. Oncol. 2019, 3, PO.18–00276. [Google Scholar] [CrossRef]
- Hanna, G.J.; Supplee, J.G.; Kuang, Y.; Mahmood, U.; Lau, C.J.; Haddad, R.I.; Janne, P.A.; Paweletz, C.P. Plasma HPV cell-free DNA monitoring in advanced HPV-associated oropharyngeal cancer. Ann. Oncol. 2018, 29, 1980–1986. [Google Scholar] [CrossRef]
- Jeannot, E.; Latouche, A.; Bonneau, C.; Calmejane, M.A.; Beaufort, C.; Ruigrok-Ritstier, K.; Bataillon, G.; Larbi Cherif, L.; Dupain, C.; Lecerf, C.; et al. Circulating HPV DNA as a Marker for Early Detection of Relapse in Patients with Cervical Cancer. Clin. Cancer Res. 2021, 27, 5869–5877. [Google Scholar] [CrossRef]
- Lee, J.Y.; Garcia-Murillas, I.; Cutts, R.J.; De Castro, D.G.; Grove, L.; Hurley, T.; Wang, F.; Nutting, C.; Newbold, K.; Harrington, K.; et al. Predicting response to radical (chemo)radiotherapy with circulating HPV DNA in locally advanced head and neck squamous carcinoma. Br. J. Cancer 2017, 117, 876–883. [Google Scholar] [CrossRef]
- Mazurek, A.M.; Rutkowski, T.; Fiszer-Kierzkowska, A.; Malusecka, E.; Skladowski, K. Assessment of the total cfDNA and HPV16/18 detection in plasma samples of head and neck squamous cell carcinoma patients. Oral Oncol. 2016, 54, 36–41. [Google Scholar] [CrossRef]
- Nguyen, B.; Meehan, K.; Pereira, M.R.; Mirzai, B.; Lim, S.H.; Leslie, C.; Clark, M.; Sader, C.; Friedland, P.; Lindsay, A.; et al. A comparative study of extracellular vesicle-associated and cell-free DNA and RNA for HPV detection in oropharyngeal squamous cell carcinoma. Sci. Rep. 2020, 10, 6083. [Google Scholar] [CrossRef]
- Reder, H.; Taferner, V.F.; Wittekindt, C.; Brauninger, A.; Speel, E.M.; Gattenlohner, S.; Wolf, G.; Klussmann, J.P.; Wuerdemann, N.; Wagner, S. Plasma Cell-Free Human Papillomavirus Oncogene E6 and E7 DNA Predicts Outcome in Oropharyngeal Squamous Cell Carcinoma. J. Mol. Diagn. 2020, 22, 1333–1343. [Google Scholar] [CrossRef] [PubMed]
- Veyer, D.; Wack, M.; Mandavit, M.; Garrigou, S.; Hans, S.; Bonfils, P.; Tartour, E.; Belec, L.; Wang-Renault, S.F.; Laurent-Puig, P.; et al. HPV circulating tumoral DNA quantification by droplet-based digital PCR: A promising predictive and prognostic biomarker for HPV-associated oropharyngeal cancers. Int. J. Cancer 2020, 147, 1222–1227. [Google Scholar] [CrossRef] [PubMed]
- Wang, Y.; Springer, S.; Mulvey, C.L.; Silliman, N.; Schaefer, J.; Sausen, M.; James, N.; Rettig, E.M.; Guo, T.; Pickering, C.R.; et al. Detection of somatic mutations and HPV in the saliva and plasma of patients with head and neck squamous cell carcinomas. Sci. Transl. Med. 2015, 7, 293ra104. [Google Scholar] [CrossRef]
- Rutkowski, T.; Mazurek, A.; Snietura, M. Post-treatment circulating free HPV DNA as a marker of treatment outcome in patients with HPV-related propharyngeal cancer after radio (chemo) therapy. Cell. Mol. Med. Open Access 2017, 3, 12. [Google Scholar]
- Berger, B.M.; Hanna, G.J.; Posner, M.R.; Genden, E.M.; Lautersztain, J.; Naber, S.P.; Del Vecchio Fitz, C.; Kuperwasser, C. Detection of Occult Recurrence Using Circulating Tumor Tissue Modified Viral HPV DNA among Patients Treated for HPV-Driven Oropharyngeal Carcinoma. Clin. Cancer Res. 2022, 28, 4292–4301. [Google Scholar] [CrossRef]
- Chera, B.S.; Kumar, S.; Shen, C.; Amdur, R.; Dagan, R.; Green, R.; Goldman, E.; Weiss, J.; Grilley-Olson, J.; Patel, S.; et al. Plasma Circulating Tumor HPV DNA for the Surveillance of Cancer Recurrence in HPV-Associated Oropharyngeal Cancer. J. Clin. Oncol. 2020, 38, 1050–1058. [Google Scholar] [CrossRef] [PubMed]
- Chung, C.H.; Li, J.; Steuer, C.E.; Bhateja, P.; Johnson, M.; Masannat, J.; Poole, M.I.; Song, F.; Hernandez-Prera, J.C.; Molina, H.; et al. Phase II Multi-institutional Clinical Trial Result of Concurrent Cetuximab and Nivolumab in Recurrent and/or Metastatic Head and Neck Squamous Cell Carcinoma. Clin. Cancer Res. 2022, 28, 2329–2338. [Google Scholar] [CrossRef]
- Rettig, E.M.; Faden, D.L.; Sandhu, S.; Wong, K.; Faquin, W.C.; Warinner, C.; Stephens, P.; Kumar, S.; Kuperwasser, C.; Richmon, J.D.; et al. Detection of circulating tumor human papillomavirus DNA before diagnosis of HPV-positive head and neck cancer. Int. J. Cancer 2022, 151, 1081–1085. [Google Scholar] [CrossRef]
- Rettig, E.M.; Wang, A.A.; Tran, N.A.; Carey, E.; Dey, T.; Schoenfeld, J.D.; Sehgal, K.; Guenette, J.P.; Margalit, D.N.; Sethi, R.; et al. Association of Pretreatment Circulating Tumor Tissue-Modified Viral HPV DNA with Clinicopathologic Factors in HPV-Positive Oropharyngeal Cancer. JAMA Otolaryngol. Head. Neck Surg. 2022, 148, 1120–1130. [Google Scholar] [CrossRef]
- Routman, D.M.; Kumar, S.; Chera, B.S.; Jethwa, K.R.; Van Abel, K.M.; Frechette, K.; DeWees, T.; Golafshar, M.; Garcia, J.J.; Price, D.L.; et al. Detectable Postoperative Circulating Tumor Human Papillomavirus DNA and Association with Recurrence in Patients With HPV-Associated Oropharyngeal Squamous Cell Carcinoma. Int. J. Radiat. Oncol. Biol. Phys. 2022, 113, 530–538. [Google Scholar] [CrossRef]
- Echevarria, M.; Chung, C.H.; Giuliano, A.; Slebos, R.; Yang, G.Q.; Stevens, P.J.; Caudell, J.J. Kinetics of Circulating Human Papillomavirus (cHPV) DNA in Plasma and Oral Gargles From Patients with HPV-Positive Oropharyngeal Cancer (OPC) Treated with Definitive Radiation Therapy. Int. J. Radiat. Oncol. Biol. Phys. 2022, 112, E4–E5. [Google Scholar]
- Gunning, A.; Kumar, S.; Williams, C.K.; Berger, B.M.; Naber, S.P.; Gupta, P.B.; Del Vecchio Fitz, C.; Kuperwasser, C. Analytical Validation of NavDx, a cfDNA-Based Fragmentomic Profiling Assay for HPV-Driven Cancers. Diagnostics 2023, 13, 725. [Google Scholar] [CrossRef]
- Wissel, M.; Poirier, M.; Satterwhite, C.; Lin, J.; Islam, R.; Zimmer, J.; Khadang, A.; Zemo, J.; Lester, T.; Fjording, M.; et al. Recommendations on qPCR/ddPCR assay validation by GCC. Bioanalysis 2022, 14, 853–863. [Google Scholar] [CrossRef]
- Armbruster, D.A.; Pry, T. Limit of blank, limit of detection and limit of quantitation. Clin. Biochem. Rev. 2008, 29 (Suppl. 1), S49–S52. [Google Scholar] [PubMed]
- Saraiya, M.; Unger, E.R.; Thompson, T.D.; Lynch, C.F.; Hernandez, B.Y.; Lyu, C.W.; Steinau, M.; Watson, M.; Wilkinson, E.J.; Hopenhayn, C.; et al. US assessment of HPV types in cancers: Implications for current and 9-valent HPV vaccines. J. Natl. Cancer Inst. 2015, 107, djv086. [Google Scholar] [CrossRef]
- De Martel, C.; Plummer, M.; Vignat, J.; Franceschi, S. Worldwide burden of cancer attributable to HPV by site, country and HPV type. Int. J. Cancer 2017, 141, 664–670. [Google Scholar] [CrossRef] [PubMed]
- Arbyn, M.; Tommasino, M.; Depuydt, C.; Dillner, J. Are 20 human papillomavirus types causing cervical cancer? J. Pathol. 2014, 234, 431–435. [Google Scholar] [CrossRef]
- Brianti, P.; De Flammineis, E.; Mercuri, S.R. Review of HPV-related diseases and cancers. New Microbiol. 2017, 40, 80–85. [Google Scholar]
- Chabeda, A.; Yanez, R.J.R.; Lamprecht, R.; Meyers, A.E.; Rybicki, E.P.; Hitzeroth, I.I. Therapeutic vaccines for high-risk HPV-associated diseases. Papillomavirus Res. 2018, 5, 46–58. [Google Scholar] [CrossRef]

| HPV Type | HPV DNA Score (Copies/μL) | ||
|---|---|---|---|
| LoB | LoD | LoQ | |
| HPV-16 | 0.0134 | 0.1009 | 0.1009 |
| HPV-18 | 0.0273 | 0.2552 | 0.2552 |
| HPV-31 | 0.0621 | 0.2423 | 0.2423 |
| HPV-33 | 0 | 0.2963 | 0.2963 |
| HPV-35 | 0 | 0.3022 | 0.3040 |
| HPV-39 | 0.0779 | 0.2726 | 0.2726 |
| HPV-45 | 0.0282 | 0.2520 | 0.2520 |
| HPV-51 | 0 | 0.1983 | 0.2699 |
| HPV-52 | 0.0581 | 0.2489 | 0.2489 |
| HPV-56 | 0 | 0.1255 | 0.1255 |
| HPV-58 | 0.0926 | 0.3100 | 0.3100 |
| HPV-59 | 0.0315 | 0.1848 | 0.1848 |
| HPV-66 | 0.0612 | 0.3147 | 0.3147 |
| HPV-68 | 0 | 0.2874 | 0.2874 |
| Conc. Level a | Accuracy—Mean % Recovery b | |||||||||||||
|---|---|---|---|---|---|---|---|---|---|---|---|---|---|---|
| HPV Type | ||||||||||||||
| 16 | 18 | 31 | 33 | 35 | 39 | 45 | 51 | 52 | 56 | 58 | 59 | 66 | 68 | |
| 1 | 88.7 | 98.7 | 100.3 | 108.7 | 99.0 | 93.7 | 89.8 | 100.5 | 99.2 | 93.1 | 90.3 | 99.7 | 93.8 | 90.8 |
| 2 | 88.8 | 107.0 | 97.7 | 104.3 | 104.3 | 92.8 | 90.3 | 100.8 | 99.1 | 94.5 | 91.2 | 101.8 | 92.0 | 91.0 |
| 3 | 90.0 | 113.1 | 99.0 | 101.1 | 101.4 | 94.3 | 89.4 | 101.9 | 100.3 | 93.5 | 91.6 | 97.5 | 93.7 | 89.5 |
| 4 | n/a | 114.7 | 105.6 | 105.4 | 112.0 | 94.9 | 90.8 | 100.2 | 98.4 | 94.6 | 92.8 | 94.9 | 92.3 | 89.3 |
| 5 | 96.2 | 111.1 | 100.8 | 101.6 | 102.8 | 97.7 | 89.3 | 101.3 | 99.3 | 98.7 | 94.1 | 100.5 | 98.2 | 90.5 |
| 6 | n/a | 107.8 | 100.3 | 102.5 | 101.2 | 94.7 | 83.4 | 96.4 | 97.1 | 97.4 | 90.4 | 99.0 | 91.6 | 98.5 |
| 7 | 87.6 | 125.3 | 91.4 | 102.2 | 89.4 | 103.1 | 103.1 | 101.0 | 100.1 | 97.2 | 89.2 | 105.7 | 96.6 | 89.9 |
| Conc. Level a | Intra-Assay/Method Precision—%CVs of Mean Effective Concentration (copies/μL) b | |||||||||||||
|---|---|---|---|---|---|---|---|---|---|---|---|---|---|---|
| HPV Type | ||||||||||||||
| 16 | 18 | 31 | 33 | 35 | 39 | 45 | 51 | 52 | 56 | 58 | 59 | 66 | 68 | |
| 1 | 1.1 | 5.5 | 2.5 | 2.4 | 1.6 | 1.6 | 4.2 | 1.6 | 2.8 | 4.5 | 0.9 | 2.0 | 4.9 | 2.1 |
| 2 | 1.2 | 1.9 | 2.2 | 4.7 | 1.6 | 3.3 | 3.9 | 2.1 | 1.0 | 4.9 | 2.7 | 3.3 | 2.3 | 2.4 |
| 3 | 1.2 | 4.2 | 4.9 | 3.6 | 3.7 | 1.2 | 5.2 | 3.2 | 4.7 | 2.5 | 5.0 | 2.9 | 3.4 | 2.9 |
| 4 | n/a | 4.0 | 4.0 | 3.5 | 2.3 | 2.2 | 7.6 | 1.3 | 3.1 | 6.8 | 7.3 | 4.8 | 2.3 | 1.9 |
| 5 | 1.4 | 6.2 | 1.5 | 3.3 | 5.2 | 2.8 | 4.0 | 3.8 | 3.5 | 5.0 | 6.0 | 2.7 | 5.5 | 5.0 |
| 6 | n/a | 5.3 | 4.4 | 7.6 | 7.8 | 1.3 | 10.9 | 6.9 | 6.1 | 7.2 | 8.3 | 1.2 | 13.8 | 6.8 |
| 7 | 3.9 | 7.4 | 2.7 | 18.2 | 9.4 | 13.7 | 13.5 | 3.0 | 7.5 | 12.5 | 12.5 | 3.8 | 3.7 | 0.3 |
| Conc. Level a | Inter-Assay/Intermediate Precision—%CVs of Mean Effective Concentration (copies/μL) b | |||||||||||||
|---|---|---|---|---|---|---|---|---|---|---|---|---|---|---|
| HPV Type | ||||||||||||||
| 16 | 18 | 31 | 33 | 35 | 39 | 45 | 51 | 52 | 56 | 58 | 59 | 66 | 68 | |
| 1 | 1.1 | 4.7 | 2.4 | 3.7 | 1.4 | 1.9 | 3.7 | 1.4 | 2.5 | 3.8 | 1.0 | 2.1 | 4.0 | 2.4 |
| 2 | 1.6 | 1.8 | 3.4 | 3.8 | 1.3 | 2.8 | 3.2 | 2.6 | 1.2 | 4.1 | 2.2 | 3.1 | 1.9 | 2.0 |
| 3 | 1.9 | 6.9 | 4.4 | 5.5 | 3.4 | 1.0 | 4.3 | 4.4 | 3.9 | 2.0 | 4.2 | 2.5 | 2.9 | 2.5 |
| 4 | n/a | 6.4 | 3.3 | 6.0 | 2.0 | 2.0 | 6.8 | 3.9 | 3.1 | 6.0 | 6.8 | 4.1 | 2.1 | 2.3 |
| 5 | 1.7 | 5.6 | 2.6 | 2.8 | 5.5 | 2.9 | 5.1 | 3.1 | 3.4 | 5.3 | 5.5 | 4.4 | 5.7 | 4.4 |
| 6 | n/a | 7.2 | 3.9 | 8.1 | 6.5 | 5.8 | 13.5 | 5.7 | 5.3 | 6.4 | 8.4 | 9.5 | 11.6 | 5.8 |
| 7 | 4.2 | 11.6 | 6.6 | 16.7 | 7.9 | 11.3 | 11.0 | 2.5 | 8.4 | 10.2 | 10.2 | 6.5 | 3.9 | 3.4 |
| HPV Type | Equation | R2 Value |
|---|---|---|
| HPV16 | Y = 0.8868 × X + 2.518 | 0.9996 |
| HPV18 | Y = 0.9843 × X + 22.50 | 0.9962 |
| HPV31 | Y = 1.003 × X − 3.387 | 0.9987 |
| HPV33 | Y = 1.088 × X − 10.92 | 0.9982 |
| HPV35 | Y = 0.9892 × X + 10.03 | 0.9991 |
| HPV39 | Y = 0.9368 × X − 0.05201 | 0.9991 |
| HPV45 | Y = 0.8978 × X + 0.5441 | 0.9978 |
| HPV51 | Y = 0.9955 × X − 2.500 | 0.9998 |
| HPV52 | Y = 0.9918 × X + 0.5093 | 0.9984 |
| HPV56 | Y = 0.9314 × X + 3.252 | 0.9973 |
| HPV58 | Y = 0.9030 × X + 3.403 | 0.9996 |
| HPV59 | Y = 0.9982 × X + 0.09592 | 0.9986 |
| HPV66 | Y = 0.9376 × X − 2.244 | 0.9968 |
| HPV68 | Y = 0.9086 × X − 0.9594 | 0.9971 |
Disclaimer/Publisher’s Note: The statements, opinions and data contained in all publications are solely those of the individual author(s) and contributor(s) and not of MDPI and/or the editor(s). MDPI and/or the editor(s) disclaim responsibility for any injury to people or property resulting from any ideas, methods, instructions or products referred to in the content. |
© 2025 by the authors. Licensee MDPI, Basel, Switzerland. This article is an open access article distributed under the terms and conditions of the Creative Commons Attribution (CC BY) license (https://creativecommons.org/licenses/by/4.0/).
Share and Cite
Hutcheson, J.; Conway, D.; Kumar, S.; Wiseman, C.; Chakraborty, S.; Skrypkin, E.; Horan, M.; Gunning, A.; Williams, C.K.; Kuperwasser, C.; et al. Analytical Validation of NavDx+Gyn, a cfDNA-Based Fragmentomic Profiling Assay for HPV-Driven Gynecologic Cancers. Diagnostics 2025, 15, 825. https://doi.org/10.3390/diagnostics15070825
Hutcheson J, Conway D, Kumar S, Wiseman C, Chakraborty S, Skrypkin E, Horan M, Gunning A, Williams CK, Kuperwasser C, et al. Analytical Validation of NavDx+Gyn, a cfDNA-Based Fragmentomic Profiling Assay for HPV-Driven Gynecologic Cancers. Diagnostics. 2025; 15(7):825. https://doi.org/10.3390/diagnostics15070825
Chicago/Turabian StyleHutcheson, Joshua, David Conway, Sunil Kumar, Chloe Wiseman, Syandan Chakraborty, Evgeny Skrypkin, Michael Horan, Alicia Gunning, Cassin Kimmel Williams, Charlotte Kuperwasser, and et al. 2025. "Analytical Validation of NavDx+Gyn, a cfDNA-Based Fragmentomic Profiling Assay for HPV-Driven Gynecologic Cancers" Diagnostics 15, no. 7: 825. https://doi.org/10.3390/diagnostics15070825
APA StyleHutcheson, J., Conway, D., Kumar, S., Wiseman, C., Chakraborty, S., Skrypkin, E., Horan, M., Gunning, A., Williams, C. K., Kuperwasser, C., Naber, S. P., & Gupta, P. B. (2025). Analytical Validation of NavDx+Gyn, a cfDNA-Based Fragmentomic Profiling Assay for HPV-Driven Gynecologic Cancers. Diagnostics, 15(7), 825. https://doi.org/10.3390/diagnostics15070825

