Urinary Fetuin-A with Specific Post-Translational Modification in Type 1 Diabetes Patients with Normoalbuminuria and Preserved Kidney Function
Abstract
1. Introduction
2. Materials and Methods
2.1. Patients
2.2. Laboratory Testing
2.3. Estimates of Glomerular Filtration Rate and Insulin Resistance
2.4. Measurement of Post-Translationally Modified Fetuin-A Fragments in Urine
2.5. Data Analysis and Statistics
3. Results
3.1. Study Population
3.2. Relationship Between uPTM3-FetA and Glomerular Filtration Rate in Patients with T1D
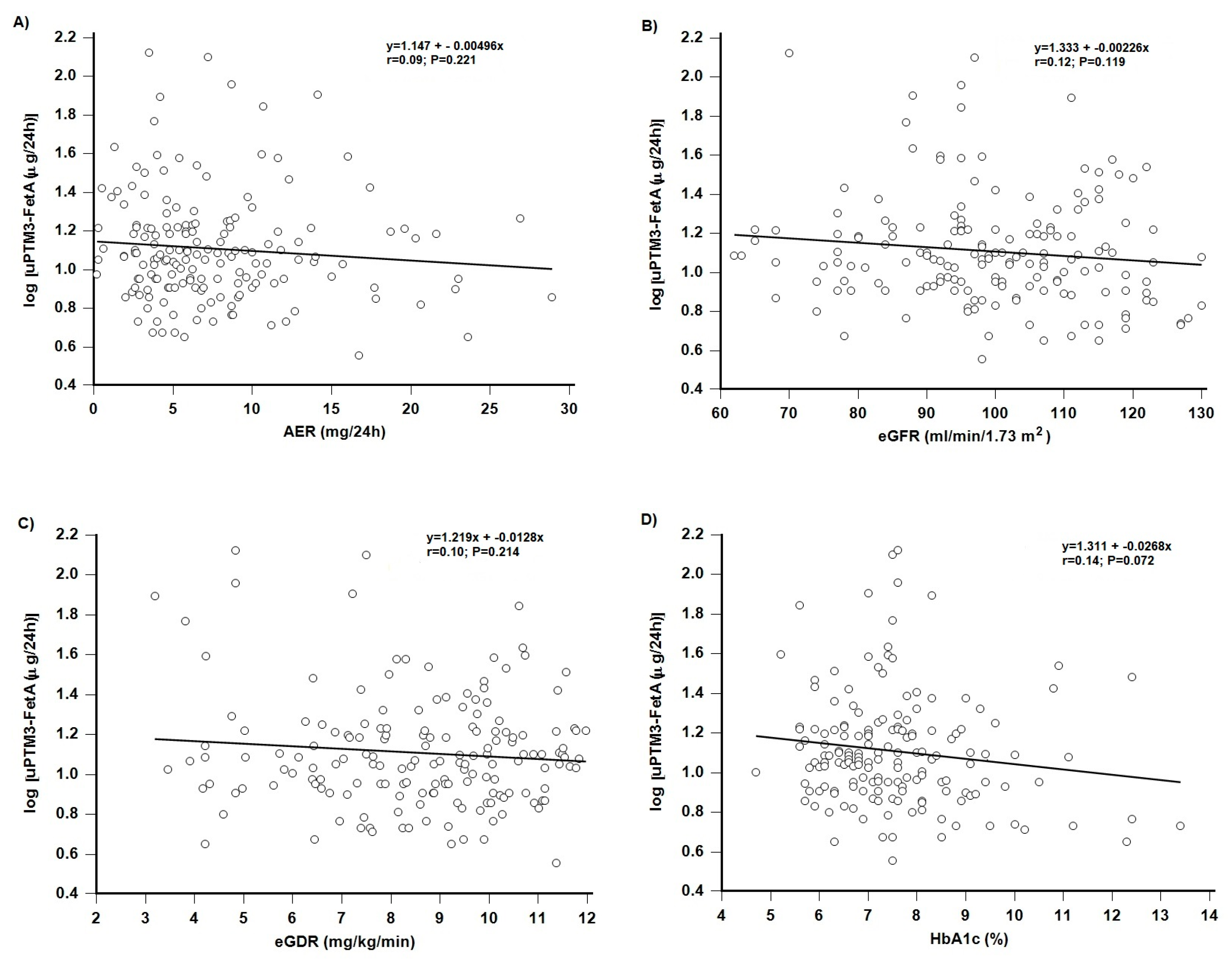
3.3. Correlation of uPTM-FetA Excretion with Kidney Function, Glycaemia, and Insulin Sensitivity
3.4. Determinants of uPTM-FetA Excretion in Patients with T1D
3.5. Predicting Variables of eGFR Decline in Patients with T1D and Normoalbuminuria
4. Discussion
Supplementary Materials
Author Contributions
Funding
Institutional Review Board Statement
Informed Consent Statement
Data Availability Statement
Acknowledgments
Conflicts of Interest
Abbreviations
| T1D | Type 1 diabetes |
| T2D | Type 2 diabetes |
| DKD | Diabetic kidney disease |
| CKD | Chronic kidney disease |
| AER | Albumin excretion rate |
| eGFR | Estimated glomerular filtration rate |
| uPTM3-FetA | Urinary post-translationally modified fetuin-A fragments |
| eGDR | Estimated glucose disposal rate |
| hs-CRP | High-sensitivity c-reactive protein |
| WBC | White blood cells |
References
- American Diabetes Association. 11. Chronic Kidney Disease and Risk Management: Standards of Care in Diabetes—2024. Diabetes Care 2024, 47, S219–S230. [Google Scholar] [CrossRef]
- Thomas, M.C.; Brownlee, M.; Susztak, K.; Sharma, K.; Jandeleit-Dahm, K.A.M.; Zoungas, S.; Rossing, P.; Groop, P.H.; Cooper, M.E. Diabetic Kidney Disease. Nat. Rev. Dis. Prim. 2015, 1, 15018. [Google Scholar] [CrossRef] [PubMed]
- Vučić Lovrenčić, M.; Božičević, S.; Smirčić Duvnjak, L. Diagnostic Challenges of Diabetic Kidney Disease. Biochem. Medica 2023, 33, 227–241. [Google Scholar] [CrossRef]
- Hoogeveen, E.K. The Epidemiology of Diabetic Kidney Disease. Kidney Dial. 2022, 2, 433–442. [Google Scholar] [CrossRef]
- Koye, D.N.; Magliano, D.J.; Nelson, R.G.; Pavkov, M.E. The Global Epidemiology of Diabetes and Kidney Disease. Adv. Chronic Kidney Dis. 2018, 25, 121–132. [Google Scholar] [CrossRef]
- Thomas, B. The Global Burden of Diabetic Kidney Disease: Time Trends and Gender Gaps. Curr. Diabetes Rep. 2019, 19, 18. [Google Scholar] [CrossRef] [PubMed]
- Shi, S.; Ni, L.; Gao, L.; Wu, X. Comparison of Nonalbuminuric and Albuminuric Diabetic Kidney Disease Among Patients With Type 2 Diabetes: A Systematic Review and Meta-Analysis. Front. Endocrinol. 2022, 13, 871272. [Google Scholar] [CrossRef]
- Scilletta, S.; Di Marco, M.; Miano, N.; Filippello, A.; Di Mauro, S.; Scamporrino, A.; Musmeci, M.; Coppolino, G.; Di Giacomo Barbagallo, F.; Bosco, G.; et al. Update on Diabetic Kidney Disease (DKD): Focus on Non-Albuminuric DKD and Cardiovascular Risk. Biomolecules 2023, 13, 752. [Google Scholar] [CrossRef]
- Oshima, M.; Shimizu, M.; Yamanouchi, M.; Toyama, T.; Hara, A.; Furuichi, K.; Wada, T. Trajectories of Kidney Function in Diabetes: A Clinicopathological Update. Nat. Rev. Nephrol. 2021, 17, 740–750. [Google Scholar] [CrossRef]
- Skupien, J.; Warram, J.H.; Smiles, A.M.; Stanton, R.C.; Krolewski, A.S. Patterns of Estimated Glomerular Filtration Rate Decline Leading to End-Stage Renal Disease in Type 1 Diabetes. Diabetes Care 2016, 39, 2262. [Google Scholar] [CrossRef] [PubMed]
- Vistisen, D.; Andersen, G.S.; Hulman, A.; Persson, F.; Rossing, P.; Jørgensen, M.E. Progressive Decline in Estimated Glomerular Filtration Rate in Patients With Diabetes After Moderate Loss in Kidney Function—Even Without Albuminuria. Diabetes Care 2019, 42, 1886–1894. [Google Scholar] [CrossRef] [PubMed]
- Inoue, K.; Wada, J.; Eguchi, J.; Nakatsuka, A.; Teshigawara, S.; Murakami, K.; Ogawa, D.; Terami, T.; Katayama, A.; Tone, A.; et al. Urinary Fetuin-A Is a Novel Marker for Diabetic Nephropathy in Type 2 Diabetes Identified by Lectin Microarray. PLoS ONE 2013, 8, e77118. [Google Scholar] [CrossRef] [PubMed]
- Magalhães, P.; Zürbig, P.; Mischak, H.; Schleicher, E. Urinary Fetuin-A Peptides as a New Marker for Impaired Kidney Function in Patients with Type 2 Diabetes. Clin. Kidney J. 2021, 14, 269–276. [Google Scholar] [CrossRef]
- Chekol Abebe, E.; Tilahun Muche, Z.; Behaile T/Mariam, A.; Mengie Ayele, T.; Mekonnen Agidew, M.; Teshome Azezew, M.; Abebe Zewde, E.; Asmamaw Dejenie, T.; Asmamaw Mengstie, M. The Structure, Biosynthesis, and Biological Roles of Fetuin-A: A Review. Front. Cell Dev. Biol. 2022, 10, 945287. [Google Scholar] [CrossRef]
- Bourebaba, L.; Marycz, K. Pathophysiological Implication of Fetuin-A Glycoprotein in the Development of Metabolic Disorders: A Concise Review. J. Clin. Med. 2019, 8, 2033. [Google Scholar] [CrossRef] [PubMed]
- Tsai, M.T.; Tseng, W.C.; Lee, K.H.; Lin, C.C.; Ou, S.M.; Li, S.Y. Associations of Urinary Fetuin-A with Histopathology and Kidney Events in Biopsy-Proven Kidney Disease. Clin. Kidney J. 2024, 17, sfae065. [Google Scholar] [CrossRef] [PubMed]
- Musolino, M.; Greco, M.; D’Agostino, M.; Tripodi, L.; Misiti, R.; Dragone, F.; Cianfrone, P.; Zicarelli, M.; Foti, D.P.; Andreucci, M.; et al. Urinary Post-Translationally Modified Fetuin-A (UPTM-FetA) in Chronic Kidney Disease Patients with and without Diabetic Kidney Disease. Medicina 2024, 60, 363. [Google Scholar] [CrossRef]
- Chuang, G.T.; Kremer, D.; Huang, C.H.; Alkaff, F.F.; Lin, C.H.; Tseng, T.L.; Laverman, G.D.; Bakker, S.J.L.; Chuang, L.M. Urinary Fetuin-A Fragments Predict Progressive Estimated Glomerular Filtration Rate Decline in Two Independent Type 2 Diabetes Cohorts of Different Ethnicities. Am. J. Nephrol. 2024, 55, 106–114. [Google Scholar] [CrossRef] [PubMed]
- ISO 15189:2012; Medical Laboratories—Requirements for Quality and Competence (3rd ed.). International Organization for Standardization: Geneva, Switzerland, 2012.
- Levey, A.S.; Stevens, L.A.; Schmid, C.H.; Zhang, Y.; Castro, A.F.; Feldman, H.I.; Kusek, J.W.; Eggers, P.; Van Lente, F.; Greene, T.; et al. A New Equation to Estimate Glomerular Filtration Rate. Ann. Intern. Med. 2009, 150, 604–612. [Google Scholar] [CrossRef]
- Epstein, E.J.; Osman, J.L.; Cohen, H.W.; Rajpathak, S.N.; Lewis, O.; Crandall, J.P. Use of the Estimated Glucose Disposal Rate as a Measure of Insulin Resistance in an Urban Multiethnic Population with Type 1 Diabetes. Diabetes Care 2013, 36, 2280. [Google Scholar] [CrossRef]
- Vučić Lovrenčić, M.; Božičević, S.; Bulum, T.; Smirčić Duvnjak, L. Urinary Fetuin A with Specific Post-Translational Modification (UPTM3-DKD) in Early Diabetic Kidney Disease. Analytical Verification and Associations with Metabolic Indices. In Proceedings of the 5th Mediterranean Kidney Society Conference; MKS: Dubrovnik, Croatia, 2022. [Google Scholar]
- Stefan, N.; Fritsche, A.; Weikert, C.; Boeing, H.; Joost, H.G.; Häring, H.U.; Schulze, M.B. Plasma Fetuin-A Levels and the Risk of Type 2 Diabetes. Diabetes 2008, 57, 2762. [Google Scholar] [CrossRef]
- Birukov, A.; Polemiti, E.; Jäger, S.; Stefan, N.; Schulze, M.B. Fetuin-A and Risk of Diabetes-Related Vascular Complications: A Prospective Study. Cardiovasc. Diabetol. 2022, 21, 6. [Google Scholar] [CrossRef]
- Kröger, J.; Meidtner, K.; Stefan, N.; Guevara, M.; Kerrison, N.D.; Ardanaz, E.; Aune, D.; Boeing, H.; Dorronsoro, M.; Dow, C.; et al. Circulating Fetuin-A and Risk of Type 2 Diabetes: A Mendelian Randomization Analysis. Diabetes 2018, 67, 1200–1205. [Google Scholar] [CrossRef]
- Denecke, B.; Gräber, S.; Schäfer, C.; Heiss, A.; Wöltje, M.; Jahnen-Dechent, W. Tissue Distribution and Activity Testing Suggest a Similar but Not Identical Function of Fetuin-B and Fetuin-A. Biochem. J. 2003, 376, 135–145. [Google Scholar] [CrossRef]
- Melsom, T.; Norvik, J.V.; Enoksen, I.T.; Stefansson, V.; Rismo, R.; Jenssen, T.; Solbu, M.D.; Eriksen, B.O. Association of High-Density Lipoprotein Cholesterol With GFR Decline in a General Nondiabetic Population. Kidney Int. Rep. 2021, 6, 2084. [Google Scholar] [CrossRef] [PubMed]
- Song, S.H.; Oh, T.R.; Choi, H.S.; Kim, C.S.; Ma, S.K.; Oh, K.H.; Ahn, C.; Kim, S.W.; Bae, E.H. High Serum Adiponectin as a Biomarker of Renal Dysfunction: Results from the KNOW-CKD Study. Sci. Rep. 2020, 10, 5598. [Google Scholar] [CrossRef]
- Winter, L.; Wong, L.A.; Jerums, G.; Seah, J.M.; Clarke, M.; Tan, S.M.; Coughlan, M.T.; MacIsaac, R.J.; Ekinci, E.I. Use of Readily Accessible Inflammatory Markers to Predict Diabetic Kidney Disease. Front. Endocrinol. 2018, 9, 225. [Google Scholar] [CrossRef] [PubMed]
- Menart-Houtermans, B.; Rütter, R.; Nowotny, B.; Rosenbauer, J.; Koliaki, C.; Kahl, S.; Simon, M.C.; Szendroedi, J.; Schloot, N.C.; Roden, M. Leukocyte Profiles Differ Between Type 1 and Type 2 Diabetes and Are Associated With Metabolic Phenotypes: Results From the German Diabetes Study (GDS). Diabetes Care 2014, 37, 2326–2333. [Google Scholar] [CrossRef] [PubMed]
- Arnold, F.; Kappes, J.; Rottmann, F.A.; Westermann, L.; Welte, T. HbA1c-Dependent Projection of Long-Term Renal Outcomes. J. Intern. Med. 2024, 295, 206–215. [Google Scholar] [CrossRef]
- Piscitelli, P.; Viazzi, F.; Fioretto, P.; Giorda, C.; Ceriello, A.; Genovese, S.; Russo, G.; Guida, P.; Pontremoli, R.; De Cosmo, S. Predictors of Chronic Kidney Disease in Type 1 Diabetes: A Longitudinal Study from the AMD Annals Initiative. Sci. Rep. 2017, 7, 3313. [Google Scholar] [CrossRef] [PubMed]
- Lee, C.L.; Chen, C.H.; Wu, M.J.; Tsai, S.F. The Variability of Glycated Hemoglobin Is Associated with Renal Function Decline in Patients with Type 2 Diabetes. Ther. Adv. Chronic Dis. 2020, 11, 2040622319898370. [Google Scholar] [CrossRef] [PubMed]
- Gong, B.; Yang, W.; Xing, Y.; Lai, Y.; Shan, Z. Global, Regional, and National Burden of Type 1 Diabetes in Adolescents and Young Adults. Pediatr. Res. 2024, 1–9. [Google Scholar] [CrossRef] [PubMed]
- Giandalia, A.; Giuffrida, A.E.; Gembillo, G.; Cucinotta, D.; Squadrito, G.; Santoro, D.; Russo, G.T. Gender Differences in Diabetic Kidney Disease: Focus on Hormonal, Genetic and Clinical Factors. Int. J. Mol. Sci. 2021, 22, 5808. [Google Scholar] [CrossRef]
- Shepard, B.D. Sex Differences in Diabetes and Kidney Disease: Mechanisms and Consequences. Am. J. Physiol.-Ren. Physiol. 2019, 317, F456–F462. [Google Scholar] [CrossRef]
- Tramunt, B.; Smati, S.; Grandgeorge, N.; Lenfant, F.; Arnal, J.F.; Montagner, A.; Gourdy, P. Sex Differences in Metabolic Regulation and Diabetes Susceptibility. Diabetologia 2020, 63, 453–461. [Google Scholar] [CrossRef]
- Liu, J.; Liu, Z.; Sun, W.; Luo, L.; An, X.; Yu, D.; Wang, W. Role of Sex Hormones in Diabetic Nephropathy. Front. Endocrinol. 2023, 14, 1135530. [Google Scholar] [CrossRef] [PubMed]


| Total | eGFR Below Median | eGFR Above Median | p | |
|---|---|---|---|---|
| Age (years) | 45 (18–70) | 53 (23–70) | 36 (18–66) | 0.001 |
| Diabetes duration (years) | 14 (1–47) | 18 (2–47) | 12 (1–41) | <0.001 |
| Female/Male [N(%)/N(%)] | 96 (57)/73 (43) | 50 (60)/33 (40) | 46 (53)/40 (47) | 0.377 |
| BMI (kg/m2) | 24.7 (22.2–27.2) | 25.1 (22.5–27.3) | 24.6 (21.6–27.1) | 0.110 |
| HbA1c (%) | 7.3 (6.6–8.1) | 7.2 (6.4–7.7) | 7.5 (6.6–8.8) | 0.018 |
| HDL-cholesterol (mmol/L) | 1.70 ± 0.37 | 1.80 ± 0.40 | 1.60 ± 0.32 | 0.001 |
| LDL-cholesterol (mmol/L) | 2.98 (2.55–3.36) | 2.87 (2.45–3.32) | 3.07 (2.68–3.50) | 0.097 |
| Triglycerides (mmol/L) | 0.86 (0.70–1.18) | 0.84 (0.70–1.12) | 0.54 (0.70–1.21) | 0.570 |
| AER (mg/24 h) | 6.20 (3.88–9.77) | 6.1 (3.9–10.5) | 6.2 (3.8–9.1) | 0.522 |
| eGFR (mL/min/1.73 m2) | 99 (91–111) | 90 (79–95) | 111 (105–117) | <0.001 |
| hs-CRP (mg/L) | 1.10 (0.60–2.48) | 1.20 (0.63–2.48) | 1.10 (0.55–2.45) | 0.604 |
| WBCs (109/L) | 6.2 (5.3–7.4) | 5.9 (5.12–6.9) | 6.5 (5.6–8.0) | 0.009 |
| eGDR (mg/kg/min) | 8.87 (7.29–10.10) | 8.66 (6.43–10.08) | 9.05 (7.77–10.22) | 0.067 |
| Adiponectin (µg/L) | 11.05 (7.07–15.84) | 12.91 (8.29–17.93) | 9.77 (6.47–14.03) | 0.010 |
| Leptin (ng/L) | 8.26 (4.11–18.06) | 9.46 (4.38–18.41) | 7.18 (3.84–17.00) | 0.208 |
| Resistin (µg /L) | 4.86 (3.90–6.34) | 4.83 (4.07–6.16) | 4.89 (3.77–6.52) | 0.810 |
| uPTM3-FetA (µg/24 h) | 11.7 (8.43–16.65) | 12.2 (9.0–17.1) | 11.17 (7.80–15.75) | 0.069 |
| Antihypertensive therapy | ||||
| ACEi/ARB [N(%)] | 73 (43) | 46 (55) | 25 (29) | <0.001 |
| CCB [N(%)] | 17 (10) | (14) 17 | 2 (2) | <0.001 |
| Statins [N(%)] | 66 (39) | 44 (53) | 20 (23) | <0.001 |
| Variable | β | p |
|---|---|---|
| BMI (kg/m2) | 0.015 | 0.021 |
| hs-CRP (mg/L) | −0.019 | 0.022 |
| HDL-cholesterol (mmol/L) | 0.144 | 0.014 |
| Resistin (µg /L) | 0.024 | 0.049 |
| Total | Females | Males | ||||
|---|---|---|---|---|---|---|
| Variable | Odds Ratio (95% CI) | p | Odds Ratio (95% CI) | p | Odds Ratio (95% CI) | p |
| AER (mg/24 h) | 1.085 (1.014–1.160) | 0.018 | 1.161 (1.046–1.288) | 0.005 | Not retained in the model | |
| HDL-cholesterol (mmol/L) | 6.637 (2.278–19.339) | <0.001 | 6.758 (1.240–36.842) | 0.027 | Not retained in the model | |
| HbA1c (%) | 0.611 (0.458–0.815) | <0.001 | 0.458 (0.287–0.732) | 0.001 | 0.649 (0.433–0.971) | 0.035 |
| eGDR (mg/kg/min) | 0.725 (0.605–0.868) | <0.001 | 0.645 (0.484–0.861) | 0.003 | 0.7871 (0.602–1.029) | 0.081 |
| uPTM3-FetA (µg/24 h) | Not retained in the model | Not retained in the model | 5.3487 (0.786–36.393) | 0.087 | ||
Disclaimer/Publisher’s Note: The statements, opinions and data contained in all publications are solely those of the individual author(s) and contributor(s) and not of MDPI and/or the editor(s). MDPI and/or the editor(s) disclaim responsibility for any injury to people or property resulting from any ideas, methods, instructions or products referred to in the content. |
© 2025 by the authors. Licensee MDPI, Basel, Switzerland. This article is an open access article distributed under the terms and conditions of the Creative Commons Attribution (CC BY) license (https://creativecommons.org/licenses/by/4.0/).
Share and Cite
Božičević, S.; Bulum, T.; Smirčić Duvnjak, L.; Vučić Lovrenčić, M. Urinary Fetuin-A with Specific Post-Translational Modification in Type 1 Diabetes Patients with Normoalbuminuria and Preserved Kidney Function. Diagnostics 2025, 15, 423. https://doi.org/10.3390/diagnostics15040423
Božičević S, Bulum T, Smirčić Duvnjak L, Vučić Lovrenčić M. Urinary Fetuin-A with Specific Post-Translational Modification in Type 1 Diabetes Patients with Normoalbuminuria and Preserved Kidney Function. Diagnostics. 2025; 15(4):423. https://doi.org/10.3390/diagnostics15040423
Chicago/Turabian StyleBožičević, Sandra, Tomislav Bulum, Lea Smirčić Duvnjak, and Marijana Vučić Lovrenčić. 2025. "Urinary Fetuin-A with Specific Post-Translational Modification in Type 1 Diabetes Patients with Normoalbuminuria and Preserved Kidney Function" Diagnostics 15, no. 4: 423. https://doi.org/10.3390/diagnostics15040423
APA StyleBožičević, S., Bulum, T., Smirčić Duvnjak, L., & Vučić Lovrenčić, M. (2025). Urinary Fetuin-A with Specific Post-Translational Modification in Type 1 Diabetes Patients with Normoalbuminuria and Preserved Kidney Function. Diagnostics, 15(4), 423. https://doi.org/10.3390/diagnostics15040423

