Large Italian Multicenter Study on Prognostic Value of Baselines Variables in mCRPC Patients Treated with 223RaCl2: Ten Years of Clinical Experience
Abstract
1. Introduction
2. Materials and Methods
2.1. Study Design
2.2. Statistics
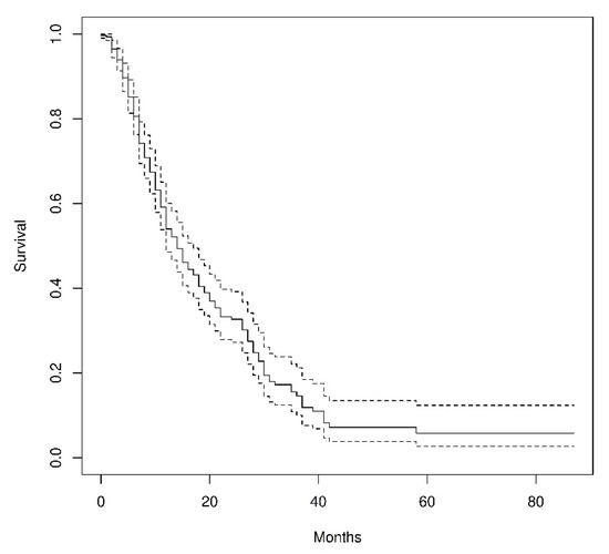
3. Results
3.1. Patients’ Baseline Characteristics
3.2. Univariate Analysis
3.3. Multivariate Analysis
4. Discussion
5. Conclusions
Author Contributions
Funding
Institutional Review Board Statement
Informed Consent Statement
Data Availability Statement
Conflicts of Interest
References
- Mohler, J.L.; Antonarakis, E.S.; Armstrong, A.J.; D’Amico, A.V.; Davis, B.J.; Dorff, T.; Eastham, J.A.; Enke, C.A.; Farrington, T.A.; Higano, C.S.; et al. Prostate Cancer, Version 2.2019, NCCN Clinical Practice Guidelines in Oncology. J. Natl. Compr. Cancer Netw. 2019, 17, 479–505. [Google Scholar] [CrossRef] [PubMed]
- Costa, L.; Badia, X.; Chow, E.; Lipton, A.; Wardley, A. Impact of Skeletal Complications on Patients’ Quality of Life, Mobility, and Functional Independence. Support. Care Cancer 2008, 16, 879–889. [Google Scholar] [CrossRef] [PubMed]
- Harrison, M.R.; Wong, T.Z.; Armstrong, A.J.; George, D.J. Radium-223 Chloride: A Potential New Treatment for Castration-Resistant Prostate Cancer Patients with Metastatic Bone Disease. Cancer Manag. Res. 2013, 5, 1–14. [Google Scholar] [CrossRef]
- Kassis, A.I.; Adelstein, S.J. Radiobiologic Principles in Radionuclide Therapy. J. Nucl. Med. 2005, 46 (Suppl. S1), 4S–12S. [Google Scholar]
- Kerr, C. (223)Ra Targets Skeletal Metastases and Spares Normal Tissue. Lancet Oncol. 2002, 3, 453. [Google Scholar] [CrossRef]
- De Vincentis, G.; Follacchio, G.A.; Frantellizzi, V.; Prelaj, A.; Farcomeni, A.; Giuli, A.; Bianco, V.; Tomao, S. 223Ra-Dichloride Therapy in an Elderly Bone Metastatic Castration-Resistant Prostate Cancer Patient: A Case Report Presentation and Comparison with Existing Literature. Aging Clin. Exp. Res. 2018, 30, 677–680. [Google Scholar] [CrossRef]
- Parker, C.; Nilsson, S.; Heinrich, D.; Helle, S.I.; O’Sullivan, J.M.; Fosså, S.D.; Chodacki, A.; Wiechno, P.; Logue, J.; Seke, M.; et al. Alpha Emitter Radium-223 and Survival in Metastatic Prostate Cancer. N. Engl. J. Med. 2013, 369, 213–223. [Google Scholar] [CrossRef]
- Kluetz, P.G.; Pierce, W.; Maher, V.E.; Zhang, H.; Tang, S.; Song, P.; Liu, Q.; Haber, M.T.; Leutzinger, E.E.; Al-Hakim, A.; et al. Radium Ra 223 Dichloride Injection: U.S. Food and Drug Administration Drug Approval Summary. Clin. Cancer Res. 2014, 20, 9–14. [Google Scholar] [CrossRef]
- Wong, W.W.; Anderson, E.M.; Mohammadi, H.; Daniels, T.B.; Schild, S.E.; Keole, S.R.; Choo, C.R.; Tzou, K.S.; Bryce, A.H.; Ho, T.H.; et al. Factors Associated With Survival Following Radium-223 Treatment for Metastatic Castration-Resistant Prostate Cancer. Clin. Genitourin. Cancer 2017, 15, e969–e975. [Google Scholar] [CrossRef]
- Parikh, S.; Murray, L.; Kenning, L.; Bottomley, D.; Din, O.; Dixit, S.; Ferguson, C.; Handforth, C.; Joseph, L.; Mokhtar, D.; et al. Real-World Outcomes and Factors Predicting Survival and Completion of Radium 223 in Metastatic Castrate-Resistant Prostate Cancer. Clin. Oncol. (R. Coll. Radiol.) 2018, 30, 548–555. [Google Scholar] [CrossRef]
- Kuppen, M.C.; Westgeest, H.M.; van der Doelen, M.J.; van den Eertwegh, A.J.; Coenen, J.L.; Aben, K.K.; van den Bergh, A.C.; Bergman, A.M.; den Bosch, J.V.; Celik, F.; et al. Real-World Outcomes of Radium-223 Dichloride for Metastatic Castration Resistant Prostate Cancer. Future Oncol. 2020, 16, 1371–1384. [Google Scholar] [CrossRef] [PubMed]
- Bauckneht, M.; Rebuzzi, S.E.; Signori, A.; Frantellizzi, V.; Murianni, V.; Lodi Rizzini, E.; Mascia, M.; Lavelli, V.; Donegani, M.I.; Ponzano, M.; et al. The Prognostic Power of Inflammatory Indices and Clinical Factors in Metastatic Castration-Resistant Prostate Cancer Patients Treated with Radium-223 (BIO-Ra Study). Eur. J. Nucl. Med. Mol. Imaging 2022, 49, 1063–1074. [Google Scholar] [CrossRef] [PubMed]
- Bauckneht, M.; Rebuzzi, S.E.; Ponzano, M.; Borea, R.; Signori, A.; Frantellizzi, V.; Lodi Rizzini, E.; Mascia, M.; Lavelli, V.; Miceli, A.; et al. Prognostic Value of the BIO-Ra Score in Metastatic Castration-Resistant Prostate Cancer Patients Treated with Radium-223 after the European Medicines Agency Restricted Use: Secondary Investigations of the Multicentric BIO-Ra Study. Cancers 2022, 14, 1744. [Google Scholar] [CrossRef]
- De Feo, M.S.; Frantellizzi, V.; Bauckneht, M.; Farcomeni, A.; Filippi, L.; Rizzini, E.L.; Lavelli, V.; Stazza, M.L.; Di Raimondo, T.; Fornarini, G.; et al. The DASciS Software for BSI Calculation as a Valuable Prognostic Tool in mCRPC Treated with 223RaCl2: A Multicenter Italian Study. Biomedicines 2023, 11, 1103. [Google Scholar] [CrossRef]
- Frantellizzi, V.; Monari, F.; Mascia, M.; Costa, R.; Rubini, G.; Spanu, A.; Di Rocco, A.; Lodi Rizzini, E.; Cindolo, L.; Licari, M.; et al. Validation of the 3-Variable Prognostic Score (3-PS) in mCRPC Patients Treated with 223Radium-Dichloride: A National Multicenter Study. Ann. Nucl. Med. 2020, 34, 772–780. [Google Scholar] [CrossRef]
- Frantellizzi, V.; Costa, R.; Mascia, M.; Spanu, A.; Farcomeni, A.; Licari, M.; Cindolo, L.; Nuvoli, S.; Pontico, M.; De Vincentis, G. Primary Radical Prostatectomy or Ablative Radiotherapy as Protective Factors for Patients With mCRPC Treated With Radium-223 Dichloride: An Italian Multicenter Study. Clin. Genitourin. Cancer 2020, 18, 185–191. [Google Scholar] [CrossRef]
- Frantellizzi, V.; Monari, F.; Mascia, M.; Costa, R.; Rubini, G.; Spanu, A.; Farcomeni, A.; Lodi Rizzini, E.; Cindolo, L.; Murabito, A.; et al. A National Multicenter Study on Overall Survival in Elderly Metastatic Castrate-Resistant Prostate Cancer Patients Treated with Radium-223. Aging Clin. Exp. Res. 2021, 33, 651–658. [Google Scholar] [CrossRef]
- Bauckneht, M.; Capitanio, S.; Donegani, M.I.; Zanardi, E.; Miceli, A.; Murialdo, R.; Raffa, S.; Tomasello, L.; Vitti, M.; Cavo, A.; et al. Role of Baseline and Post-Therapy 18F-FDG PET in the Prognostic Stratification of Metastatic Castration-Resistant Prostate Cancer (mCRPC) Patients Treated with Radium-223. Cancers 2019, 12, 31. [Google Scholar] [CrossRef]
- Kleiburg, F.; de Geus-Oei, L.-F.; Spijkerman, R.; Noortman, W.A.; van Velden, F.H.P.; Manohar, S.; Smit, F.; Toonen, F.A.J.; Luelmo, S.A.C.; van der Hulle, T.; et al. Baseline PSMA PET/CT Parameters Predict Overall Survival and Treatment Response in Metastatic Castration-Resistant Prostate Cancer Patients. Eur. Radiol. 2025. [Google Scholar] [CrossRef]
- Sartor, O.; de Bono, J.; Chi, K.N.; Fizazi, K.; Herrmann, K.; Rahbar, K.; Tagawa, S.T.; Nordquist, L.T.; Vaishampayan, N.; El-Haddad, G.; et al. Lutetium-177-PSMA-617 for Metastatic Castration-Resistant Prostate Cancer. N. Engl. J. Med. 2021, 385, 1091–1103. [Google Scholar] [CrossRef]
- Ciccarese, C.; Bauckneht, M.; Zagaria, L.; Fornarini, G.; Beccia, V.; Lanfranchi, F.; Perotti, G.; Pinterpe, G.; Migliaccio, F.; Tortora, G.; et al. Defining the Position of [177Lu]Lu-PSMA Radioligand Therapy in the Treatment Landscape of Metastatic Castration-Resistant Prostate Cancer: A Meta-Analysis of Clinical Trials. Target. Oncol. 2024, 20, 103–112. [Google Scholar] [CrossRef] [PubMed]
- Demirci, R.A.; Gulati, R.; Hawley, J.E.; Yezefski, T.; Haffner, M.C.; Cheng, H.H.; Montgomery, R.B.; Schweizer, M.T.; Yu, E.Y.; Nelson, P.S.; et al. SPECT/CT in Early Response Assessment of Patients with Metastatic Castration-Resistant Prostate Cancer Receiving 177Lu-PSMA-617. J. Nucl. Med. 2024, 65, 1945–1951. [Google Scholar] [CrossRef] [PubMed]
- Baldari, S.; Boni, G.; Bortolus, R.; Caffo, O.; Conti, G.; De Vincentis, G.; Monari, F.; Procopio, G.; Santini, D.; Seregni, E.; et al. Management of Metastatic Castration-Resistant Prostate Cancer: A Focus on Radium-223: Opinions and Suggestions from an Expert Multidisciplinary Panel. Crit. Rev. Oncol. Hematol. 2017, 113, 43–51. [Google Scholar] [CrossRef] [PubMed]
- Van den Wyngaert, T.; Tombal, B. The Changing Role of Radium-223 in Metastatic Castrate-Resistant Prostate Cancer: Has the EMA Missed the Mark with Revising the Label? Q. J. Nucl. Med. Mol. Imaging 2019, 63, 170–182. [Google Scholar] [CrossRef]
- Poeppel, T.D.; Handkiewicz-Junak, D.; Andreeff, M.; Becherer, A.; Bockisch, A.; Fricke, E.; Geworski, L.; Heinzel, A.; Krause, B.J.; Krause, T.; et al. EANM Guideline for Radionuclide Therapy with Radium-223 of Metastatic Castration-Resistant Prostate Cancer. Eur. J. Nucl. Med. Mol. Imaging 2018, 45, 824–845. [Google Scholar] [CrossRef]
- Du, Y.; Carrio, I.; De Vincentis, G.; Fanti, S.; Ilhan, H.; Mommsen, C.; Nitzsche, E.; Sundram, F.; Vogel, W.; Oyen, W.; et al. Practical Recommendations for Radium-223 Treatment of Metastatic Castration-Resistant Prostate Cancer. Eur. J. Nucl. Med. Mol. Imaging 2017, 44, 1671–1678. [Google Scholar] [CrossRef]
- Siegel, R.L.; Giaquinto, A.N.; Jemal, A. Cancer Statistics, 2024. CA Cancer J Clin. 2024, 74, 12–49. [Google Scholar] [CrossRef]
- Ricci, M.; Frantellizzi, V.; Bulzonetti, N.; De Vincentis, G. Reversibility of Castration Resistance Status after Radium-223 Dichloride Treatment: Clinical Evidence and Review of the Literature. Int. J. Radiat. Biol. 2019, 95, 554–561. [Google Scholar] [CrossRef]
- Tombal, B. Non-Metastatic CRPC and Asymptomatic Metastatic CRPC: Which Treatment for Which Patient? Ann. Oncol. 2012, 23 (Suppl. S10), x251–x258. [Google Scholar] [CrossRef]
- Lowrance, W.T.; Murad, M.H.; Oh, W.K.; Jarrard, D.F.; Resnick, M.J.; Cookson, M.S. Castration-Resistant Prostate Cancer: AUA Guideline Amendment 2018. J. Urol. 2018, 200, 1264–1272. [Google Scholar] [CrossRef]
- Anido-Herranz, U.; Fernandez-Calvo, O.; Ruiz-Bañobre, J.; Martinez-Breijo, S.; Fernandez-Nuñez, N.; Nogareda-Seoane, Z.; Garrido-Pumar, M.; Casas-Nebra, J.; Muñiz-Garcia, G.; Portela-Pereira, P.; et al. Outcomes and Patterns of Use of Radium-223 in Metastatic Castration-Resistant Prostate Cancer. Front. Oncol. 2024, 14, 1385466. [Google Scholar] [CrossRef] [PubMed]
- Den, R.B.; George, D.; Pieczonka, C.; McNamara, M. Ra-223 Treatment for Bone Metastases in Castrate-Resistant Prostate Cancer: Practical Management Issues for Patient Selection. Am. J. Clin. Oncol. 2019, 42, 399–406. [Google Scholar] [CrossRef] [PubMed]
- Takeda, K.; Kawasaki, Y.; Sakayauchi, T.; Takahashi, C.; Katagiri, Y.; Tanabe, T.; Ishikawa, Y.; Fujimoto, K.; Kubozono, M.; Kozumi, M.; et al. Clinical Significance of Completion of Radium-223 Treatment and Acute Adverse Events in Patients with Metastatic Castration-Resistant Prostate Cancer. Asia Ocean. J. Nucl. Med. Biol. 2023, 11, 13–22. [Google Scholar] [CrossRef]
- Romero-Laorden, N.; Lorente, D.; de Velasco, G.; Lozano, R.; Herrera, B.; Puente, J.; López, P.P.; Medina, A.; Almagro, E.; Gonzalez-Billalabeitia, E.; et al. Prospective Assessment of Bone Metabolism Biomarkers and Survival in Metastatic Castration-Resistant Prostate Cancer Patients Treated with Radium-223: The PRORADIUM Study. Eur. Urol. Oncol. 2024, 7, 447–455. [Google Scholar] [CrossRef]
- Yamamoto, Y.; Okuda, Y.; Kanaki, T.; Tanaka, R.; Nagahara, A.; Nakai, Y.; Nakayama, M.; Kakimoto, K.-I.; Nishimura, K. Clinical Indicators for Predicting Prognosis after Radium-223 Administration in Castration-Resistant Prostate Cancer with Bone Metastases. Int. J. Clin. Oncol. 2021, 26, 192–198. [Google Scholar] [CrossRef]
- Halabi, S.; Lin, C.-Y.; Kelly, W.K.; Fizazi, K.S.; Moul, J.W.; Kaplan, E.B.; Morris, M.J.; Small, E.J. Updated Prognostic Model for Predicting Overall Survival in First-Line Chemotherapy for Patients With Metastatic Castration-Resistant Prostate Cancer. JCO 2014, 32, 671–677. [Google Scholar] [CrossRef]
- McKay, R.R.; Jacobus, S.; Fiorillo, M.; Ledet, E.M.; Cotogna, P.M.; Steinberger, A.E.; Jacene, H.A.; Sartor, O.; Taplin, M.-E. Radium-223 Use in Clinical Practice and Variables Associated With Completion of Therapy. Clin. Genitourin. Cancer 2017, 15, e289–e298. [Google Scholar] [CrossRef]
- Saad, F.; Carles, J.; Gillessen, S.; Heidenreich, A.; Heinrich, D.; Gratt, J.; Lévy, J.; Miller, K.; Nilsson, S.; Petrenciuc, O.; et al. Radium-223 and Concomitant Therapies in Patients with Metastatic Castration-Resistant Prostate Cancer: An International, Early Access, Open-Label, Single-Arm Phase 3b Trial. Lancet Oncol. 2016, 17, 1306–1316. [Google Scholar] [CrossRef]
- Maruzzo, M.; Basso, U.; Borsatti, E.; Evangelista, L.; Alongi, F.; Caffo, O.; Maines, F.; Galuppo, S.; De Vivo, R.; Zustovich, F.; et al. Results From a Large, Multicenter, Retrospective Analysis On Radium223 Use in Metastatic Castration-Resistant Prostate Cancer (mCRPC) in the Triveneto Italian Region. Clin. Genitourin. Cancer 2019, 17, e187–e194. [Google Scholar] [CrossRef]
- Parimi, S.; Tsang, E.; Alexander, A.; Mckenzie, M.; Bachand, F.; Sunderland, K.; Chi, K.N.; Aparicio, M.; Worsley, D.; Tyldesley, S. A Population-Based Study of the Use of Radium 223 in Metastatic Castration-Resistant Prostate Cancer: Factors Associated with Treatment Completion. Can. Urol. Assoc. J. 2017, 11, 350–355. [Google Scholar] [CrossRef]
- Vidal, M.; Delgado, A.; Martinez, C.; Correa, J.J.; Durango, I.C. Overall Survival Prediction in Metastatic Castration-Resistant Prostate Cancer Treated with Radium-223. Int. Braz. J. Urol. 2020, 46, 599–611. [Google Scholar] [CrossRef]
- Lu, H.-H.; Chiu, N.-T.; Tsai, M.-H. Increase of Prostate-Specific Antigen Doubling Time Predicts Survival in Metastatic Castration-Resistant Prostate Cancer Patients Undergoing Radium Therapy. Ann. Nucl. Med. 2024, 38, 508–515. [Google Scholar] [CrossRef]
- Sartor, O.; Vogelzang, N.J.; Sweeney, C.; Fernandez, D.C.; Almeida, F.; Iagaru, A.; Brown, A.; Smith, M.R.; Agrawal, M.; Dicker, A.P.; et al. Radium-223 Safety, Efficacy, and Concurrent Use with Abiraterone or Enzalutamide: First U.S. Experience from an Expanded Access Program. Oncologist 2018, 23, 193–202. [Google Scholar] [CrossRef]
- Takahashi, Y.; Yoshimura, M.; Suzuki, K.; Hashimoto, T.; Hirose, H.; Uchida, K.; Inoue, S.; Koizumi, K.; Tokuuye, K. Assessment of Bone Scans in Advanced Prostate Carcinoma Using Fully Automated and Semi-Automated Bone Scan Index Methods. Ann. Nucl. Med. 2012, 26, 586–593. [Google Scholar] [CrossRef]
- Armstrong, A.J.; Kaboteh, R.; Carducci, M.A.; Damber, J.-E.; Stadler, W.M.; Hansen, M.; Edenbrandt, L.; Forsberg, G.; Nordle, Ö.; Pili, R.; et al. Assessment of the Bone Scan Index in a Randomized Placebo-Controlled Trial of Tasquinimod in Men with Metastatic Castration-Resistant Prostate Cancer (mCRPC). Urol. Oncol. 2014, 32, 1308–1316. [Google Scholar] [CrossRef]
- Kitajima, K.; Kuyama, J.; Kawahara, T.; Suga, T.; Otani, T.; Sugawara, S.; Kono, Y.; Tamaki, Y.; Seko-Nitta, A.; Ishiwata, Y.; et al. Assessing Therapeutic Response to Radium-223 with an Automated Bone Scan Index among Metastatic Castration-Resistant Prostate Cancer Patients: Data from Patients in the J-RAP-BSI Trial. Cancers 2023, 15, 2784. [Google Scholar] [CrossRef]
- Kitajima, K.; Igeta, M.; Kuyama, J.; Kawahara, T.; Suga, T.; Otani, T.; Sugawara, S.; Kono, Y.; Tamaki, Y.; Seko-Nitta, A.; et al. Novel Nomogram Developed for Determining Suitability of Metastatic Castration-Resistant Prostate Cancer Patients to Receive Maximum Benefit from Radium-223 Dichloride Treatment-Japanese Ra-223 Therapy in Prostate Cancer Using Bone Scan Index (J-RAP-BSI) Trial. Eur. J. Nucl. Med. Mol. Imaging 2023, 50, 1487–1498. [Google Scholar] [CrossRef]
- Smith, M.; Parker, C.; Saad, F.; Miller, K.; Tombal, B.; Ng, Q.S.; Boegemann, M.; Matveev, V.; Piulats, J.M.; Zucca, L.E.; et al. Addition of Radium-223 to Abiraterone Acetate and Prednisone or Prednisolone in Patients with Castration-Resistant Prostate Cancer and Bone Metastases (ERA 223): A Randomised, Double-Blind, Placebo-Controlled, Phase 3 Trial. Lancet Oncol. 2019, 20, 408–419. [Google Scholar] [CrossRef]
- Dizdarevic, S.; Jessop, M.; Begley, P.; Main, S.; Robinson, A. 223Ra-Dichloride in Castration-Resistant Metastatic Prostate Cancer: Improving Outcomes and Identifying Predictors of Survival in Clinical Practice. Eur. J. Nucl. Med. Mol. Imaging 2018, 45, 2264–2273. [Google Scholar] [CrossRef]
- Herrmann, K.; Gafita, A.; de Bono, J.S.; Sartor, O.; Chi, K.N.; Krause, B.J.; Rahbar, K.; Tagawa, S.T.; Czernin, J.; El-Haddad, G.; et al. Multivariable Models of Outcomes with [177Lu]Lu-PSMA-617: Analysis of the Phase 3 VISION Trial. EClinicalMedicine 2024, 77, 102862. [Google Scholar] [CrossRef]

| Baseline Variable | Value Mean (sd) | Number of Patients (n = 581) | Percentage (%) |
|---|---|---|---|
| Age (years) | 71.99 ± 8.45 | / | / |
| Radical prostatectomy/RT | / | ||
| Yes | 277 | 47.7 | |
| No | 304 | 52.3 | |
| N. of previous treatment lines | / | ||
| 0 | 83 | 14.3 | |
| 1 | 179 | 30.8 | |
| 2 | 152 | 26.2 | |
| 3 | 109 | 18.7 | |
| 4 | 58 | 10 | |
| Prior chemotherapy | / | ||
| No | 211 | 36.3 | |
| Yes | 370 | 63.7 | |
| Gleason score | / | ||
| Unknown | 67 | 11.6 | |
| 6 | 29 | 5 | |
| 7 | 175 | 30.1 | |
| 8 | 135 | 23.2 | |
| 9 | 163 | 28 | |
| 10 | 12 | 2.1 | |
| Presence of lymphoadenopaties | / | ||
| Unknown | 41 | 7 | |
| No | 353 | 60.8 | |
| Yes | 187 | 32.2 | |
| Number of bone metastases | / | ||
| Unknown | 9 | 1.5 | |
| ≤6 (score 3) | 65 | 11.2 | |
| 6–20 (score 2) | 332 | 57.2 | |
| ≥20 (score 1) | 175 | 30.1 | |
| ECOG-PS | / | ||
| 0 | 244 | 42 | |
| 1 | 207 | 35.6 | |
| 2 | 123 | 21.2 | |
| 3 | 7 | 1.2 | |
| Hb (g/dL) | 11.98 ± 1.54 | / | / |
| Platelets (×103/µL) | 242.69 ± 89.82 | / | / |
| tALP (U/L) | 242.80 ± 296.00 | / | / |
| LDH (U/L) | 327.81 ± 237.69 | / | / |
| PSA (ng/mL) | 205.46 ± 483.56 | / | / |
| Number of cycles of 223Ra | |||
| 1 | 24 | 4.1 | |
| 2 | 35 | 6 | |
| 3 | 43 | 7.4 | |
| 4 | 50 | 8.6 | |
| 5 | 59 | 10.2 | |
| 6 | 370 | 63.7 |
| Baseline Clinical Variables | HR | CIlow | CIup | p |
|---|---|---|---|---|
| Age | 1.0280 | 1.0100 | 1.0450 | 0.0020 |
| Gleason score | 1.0300 | 0.9060 | 1.1710 | 0.6520 |
| Number of previous treatment lines | 1.1700 | 1.0520 | 1.3010 | 0.0040 |
| Prior chemotherapy | 1.0300 | 0.7850 | 1.3510 | 0.8320 |
| Presence of lymphoadenopaties | 1.4680 | 1.1100 | 1.9420 | 0.0070 |
| Number of bone metastases | 0.6470 | 0.5200 | 0.8050 | <0.0001 |
| Concomitant use of bisphosphonates/Denosumab | 1.3020 | 0.9980 | 1.6990 | 0.0520 |
| ECOG-PS | 1.5590 | 1.3250 | 1.8340 | <0.0001 |
| Hb | 0.7640 | 0.6950 | 0.8390 | <0.0001 |
| Platelets | 1.0000 | 0.9990 | 1.0020 | 0.6420 |
| tALP | 1.0010 | 1.0010 | 1.0020 | <0.0001 |
| PSA | 1.0010 | 1.0000 | 1.0010 | <0.0001 |
| Baseline Clinical Variables | HR | CIlow | CIup | p |
|---|---|---|---|---|
| Number of previous treatment lines | 1.1670 | 1.0095 | 1.3491 | 0.0368 |
| Prior chemotherapy | 0.6461 | 0.4372 | 0.9549 | 0.0284 |
| Presence of lymphoadenopaties | 1.5083 | 1.1210 | 2.0296 | 0.0066 |
| Number of bone metastases | 0.6990 | 0.5416 | 0.9020 | 0.0059 |
| ECOG-PS | 1.3551 | 1.1238 | 1.6339 | 0.0015 |
| tALP | 1.0008 | 1.0003 | 1.0013 | 0.0016 |
| PSA | 1.0004 | 1.0002 | 1.0006 | 0.0005 |
Disclaimer/Publisher’s Note: The statements, opinions and data contained in all publications are solely those of the individual author(s) and contributor(s) and not of MDPI and/or the editor(s). MDPI and/or the editor(s) disclaim responsibility for any injury to people or property resulting from any ideas, methods, instructions or products referred to in the content. |
© 2025 by the authors. Licensee MDPI, Basel, Switzerland. This article is an open access article distributed under the terms and conditions of the Creative Commons Attribution (CC BY) license (https://creativecommons.org/licenses/by/4.0/).
Share and Cite
De Feo, M.S.; Filippi, L.; Bauckneht, M.; Lodi Rizzini, E.; Ferrari, C.; Lavelli, V.; Marongiu, A.; Sambuceti, G.; Battisti, C.; Mura, A.; et al. Large Italian Multicenter Study on Prognostic Value of Baselines Variables in mCRPC Patients Treated with 223RaCl2: Ten Years of Clinical Experience. Diagnostics 2025, 15, 339. https://doi.org/10.3390/diagnostics15030339
De Feo MS, Filippi L, Bauckneht M, Lodi Rizzini E, Ferrari C, Lavelli V, Marongiu A, Sambuceti G, Battisti C, Mura A, et al. Large Italian Multicenter Study on Prognostic Value of Baselines Variables in mCRPC Patients Treated with 223RaCl2: Ten Years of Clinical Experience. Diagnostics. 2025; 15(3):339. https://doi.org/10.3390/diagnostics15030339
Chicago/Turabian StyleDe Feo, Maria Silvia, Luca Filippi, Matteo Bauckneht, Elisa Lodi Rizzini, Cristina Ferrari, Valentina Lavelli, Andrea Marongiu, Gianmario Sambuceti, Claudia Battisti, Antonio Mura, and et al. 2025. "Large Italian Multicenter Study on Prognostic Value of Baselines Variables in mCRPC Patients Treated with 223RaCl2: Ten Years of Clinical Experience" Diagnostics 15, no. 3: 339. https://doi.org/10.3390/diagnostics15030339
APA StyleDe Feo, M. S., Filippi, L., Bauckneht, M., Lodi Rizzini, E., Ferrari, C., Lavelli, V., Marongiu, A., Sambuceti, G., Battisti, C., Mura, A., Fornarini, G., Rebuzzi, S. E., Farcomeni, A., Murabito, A., Nuvoli, S., Conte, M., Montebello, M., Costa, R. P., Golemi, A., ... Frantellizzi, V. (2025). Large Italian Multicenter Study on Prognostic Value of Baselines Variables in mCRPC Patients Treated with 223RaCl2: Ten Years of Clinical Experience. Diagnostics, 15(3), 339. https://doi.org/10.3390/diagnostics15030339

