Optical Coherence Tomography Angiography (OCTA) Captures Early Micro-Vascular Remodeling in Non-Melanoma Skin Cancer During Superficial Radiotherapy: A Proof-of-Concept Study
Abstract
1. Introduction
2. Materials and Methods
2.1. Patient Cohort
2.2. Radiotherapy Treatment
2.3. OCTA Protocol
2.4. Feature Extraction and Selection
2.5. Classification Modeling
2.6. Statistics of Feature Analysis for Different Time Points
3. Results
3.1. Cohort Description and OCTA Images
3.2. Feature Selection and Analysis
3.3. Classification Model Performance
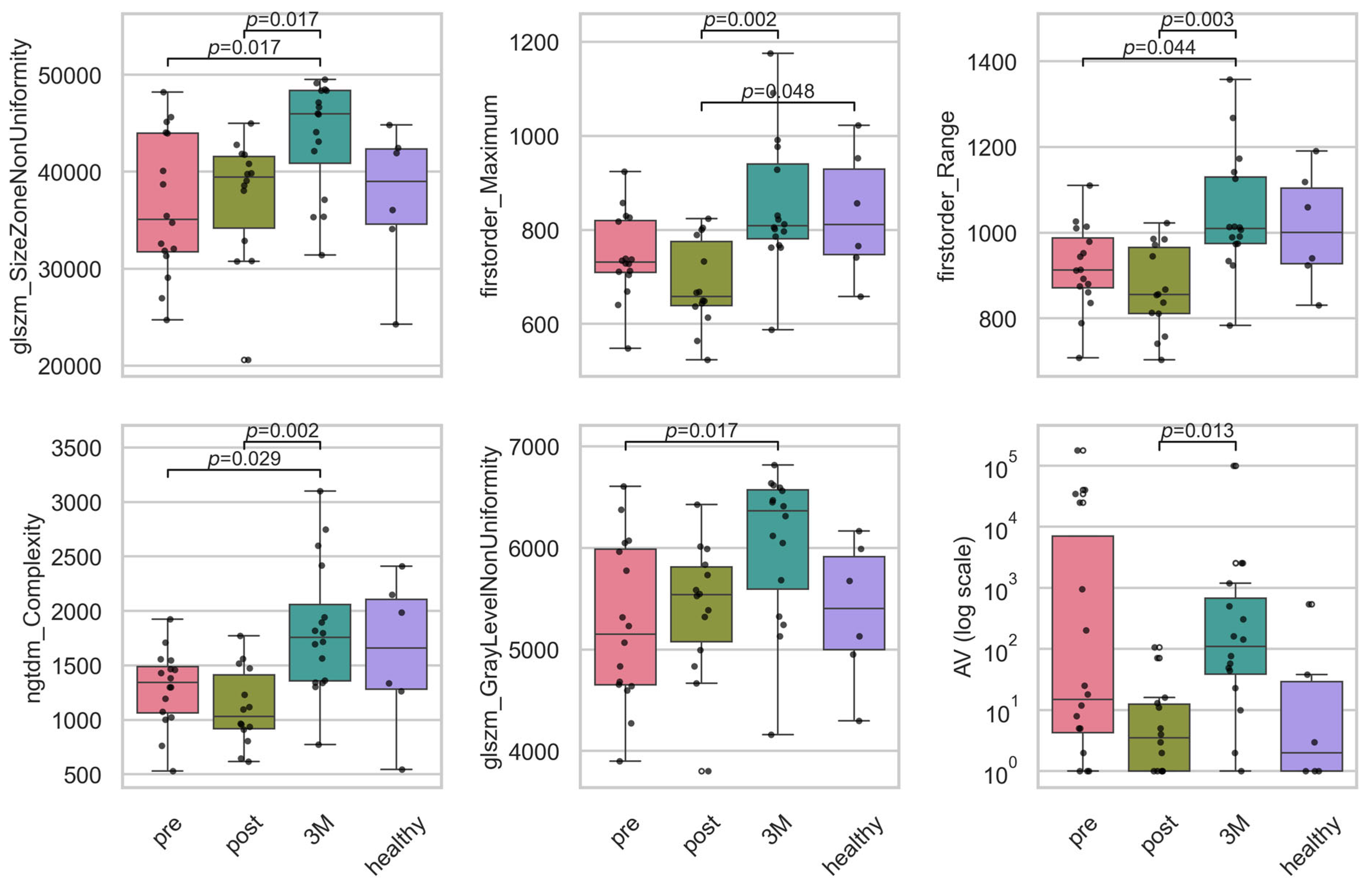
3.4. Longitudinal Feature Analysis
4. Discussion
5. Conclusions
Supplementary Materials
Author Contributions
Funding
Institutional Review Board Statement
Informed Consent Statement
Data Availability Statement
Acknowledgments
Conflicts of Interest
Abbreviations
| OCTA | Optical Coherence Tomography Angiography |
| OOB | Out of bag |
| AUC | Area under the curve |
| RT | Radiotherapy |
| NMSC | Non-melanoma skin cancer |
| LASSO | Least Absolute Shrinkage and Selection Operator |
| AI | Artificial Intelligence |
| DL | Deep Learning |
| CT | Computed Tomography |
| MRI | Magnetic Resonance Imaging |
| ePRO | Electronic patient-reported outcome measures |
Appendix A
| Manuscript Label | Family | Plain-Language Definition |
|---|---|---|
| GLCM Informational Measure of Correlation 1 (IMC1) (original_glcm_Imc1) | GLCM (co-occurrence) | An information-theoretic measure of dependency between gray levels derived from the GLCM; captures how much the joint distribution deviates from independence. |
| Size Zone Non-Uniformity | GLSZM | Variability of zone sizes (contiguous voxels with the same gray level) across the ROI. |
| Dependence Non-Uniformity | GLDM | Variability of dependence counts (number of neighboring voxels within a given difference) across gray levels. |
| Maximal Correlation Coefficient (MCC) | GLCM | Nonlinear dependency index based on the second largest eigenvalue of a normalized GLCM matrix. |
| Strength | NGTDM | Overall prominence of primitives (regions) compared to their neighborhood averages; weighted by occurrence. |
| Zone Variance | GLSZM | Variance of zone sizes within the ROI. |
| Correlation | GLCM | Linear correlation of gray levels between neighboring voxels. |
| Complexity | NGTDM | Weighted complexity of gray-level differences across the image. |
| Gray Level Non-Uniformity (GLNU) | GLSZM | Variability of gray levels across zones (how unevenly gray levels are represented). |
| Maximum | First-order | Maximum voxel intensity within the ROI. |
| Range | First-order | Difference between maximum and minimum intensity within the ROI. |
| Fractal Dimension (FD) | Vascular (skeleton/graph) | Box-counting estimate of scaling complexity of the vessel network/skeleton (theoretical 1–2 in 2D projections). |
| Avascular Area (AV) | Vascular (mask) | Fraction (or area) of the ROI without detectable flow signal after binarization. |
| Vascular Density (VD) | Vascular (mask) | Fraction of ROI occupied by vessel signal (area or volume fraction). |
| Number of Trees (NT) | Vascular (graph) | Count of connected vascular components in the skeleton graph. |
| Number of Branches (NB) | Vascular (graph) | Count of branch segments/junction-to-junction edges in the skeleton. |
| Distance Metric (DM) | Vascular (mask/skeleton) | Mean inter-capillary distance computed from the distance transform of the avascular mask (report in pixels or mm). |
| Inflection Count Metric (ICM) | Vascular (tortuosity) | Number of inflection points along vessel centerlines normalized by path length. |
| Sum of Angles Metric (SOAM) | Vascular (tortuosity) | Cumulative absolute turning angle along centerlines normalized by path length. |
| Entropy | Vascular (distribution) | Shannon entropy of a vessel-derived distribution (e.g., orientation or radius histogram)—specify which in Methods. |
Appendix B
| Patient, Tumor, and Treatment Characteristics | n | % |
|---|---|---|
| Gender | ||
| Male | 5 | 56 |
| Female | 3 | 44 |
| Age at diagnosis (years) | ||
| Range | 62–100 | |
| Median | 82 | |
| Tumor size | ||
| T1 | 11 | 85 |
| T2 | 2 | 15 |
| Pathology | ||
| BCC | 8 | 62 |
| AK | 2 | 15 |
| SCC | 3 | 23 |
Appendix C
Appendix D

References
- Benkhaled, S.; Van Gestel, D.; Cauduro, C.G.D.S.; Palumbo, S.; del Marmol, V.; Desmet, A. The State of the Art of Radiotherapy for Non-melanoma Skin Cancer: A Review of the Literature. Front. Med. 2022, 9, 913269. [Google Scholar] [CrossRef]
- Papageorgiou, V.; Apalla, Z.; Sotiriou, E.; Papageorgiou, C.; Lazaridou, E.; Vakirlis, S.; Ioannides, D.; Lallas, A. The limitations of dermoscopy: False-positive and false-negative tumours. J. Eur. Acad. Dermatol. Venereol. 2018, 32, 879–888. [Google Scholar] [CrossRef]
- Welzel, J. Optical coherence tomography in dermatology: A review. Ski. Res. Technol. 2001, 7, 1–9. [Google Scholar] [CrossRef]
- Liu, M.; Drexler, W. Optical coherence tomography angiography and photoacoustic imaging in dermatology. Photochem. Photobiol. Sci. 2019, 18, 945–962. [Google Scholar] [CrossRef] [PubMed]
- Rotunno, G.; Deinsberger, J.; Meiburger, K.M.; Krainz, L.; Bugyi, L.; Hacker, V.; Haindl, R.; Leitgeb, R.; Sinz, C.; Schmetterer, L.; et al. Optical coherence tomography angiography enables visualization of microvascular patterns in chronic venous insufficiency. iScience 2024, 27, 110998. [Google Scholar] [CrossRef] [PubMed]
- Gubarkova, E.V.; Feldchtein, F.I.; Zagaynova, E.V.; Gamayunov, S.V.; Sirotkina, M.A.; Sedova, E.S.; Kuznetsov, S.S.; Moiseev, A.A.; Matveev, L.A.; Zaitsev, V.Y.; et al. Optical coherence angiography for pre-treatment assessment and treatment monitoring following photodynamic therapy: A basal cell carcinoma patient study. Sci. Rep. 2019, 9, 18670. [Google Scholar] [CrossRef]
- Welzel, J.; Schuh, S.; De Carvalho, N.; Themstrup, L.; Ulrich, M.; Jemec, G.; Holmes, J.; Pellacani, G. Dynamic optical coherence tomography shows characteristic alterations of blood vessels in malignant melanoma. J. Eur. Acad. Dermatol. Venereol. 2021, 35, 1087–1093. [Google Scholar] [CrossRef]
- Barker, H.E.; Paget, J.T.E.; Khan, A.A.; Harrington, K.J. The tumour microenvironment after radiotherapy: Mechanisms of resistance and recurrence. Nat. Rev. Cancer 2015, 15, 409–425. [Google Scholar] [CrossRef]
- Lee, S.H.; Han, P.; Hales, R.K.; Voong, K.R.; Noro, K.; Sugiyama, S.; Haller, J.W.; McNutt, T.R.; Lee, J. Multi-view radiomics and dosiomics analysis with machine learning for predicting acute-phase weight loss in lung cancer patients treated with radiotherapy. Phys. Med. Biol. 2020, 65, 195015. [Google Scholar] [CrossRef]
- Allam, N.; Zabel, W.J.; Demidov, V.; Jones, B.; Flueraru, C.; Taylor, E.; Vitkin, I.A. Longitudinal in-vivo quantification of tumour microvascular heterogeneity by optical coherence angiography in pre-clinical radiation therapy. Sci. Rep. 2022, 12, 6140. [Google Scholar] [CrossRef]
- Maslennikova, A.V.; Sirotkina, M.A.; Moiseev, A.A.; Finagina, E.S.; Ksenofontov, S.Y.; Gelikonov, G.V.; Matveev, L.A.; Kiseleva, E.B.; Zaitsev, V.Y.; Zagaynova, E.V.; et al. In-vivo longitudinal imaging of microvascular changes in irradiated oral mucosa of radiotherapy cancer patients using optical coherence tomography. Sci. Rep. 2017, 7, 16505. [Google Scholar] [CrossRef]
- Hren, R.; Sersa, G.; Simoncic, U.; Milanic, M. Imaging microvascular changes in nonocular oncological clinical applications by optical coherence tomography angiography: A literature review. Radiol. Oncol. 2023, 57, 411–418. [Google Scholar] [CrossRef]
- Meiburger, K.M.; Chen, Z.; Sinz, C.; Hoover, E.; Minneman, M.; Ensher, J.; Kittler, H.; Leitgeb, R.A.; Drexler, W.; Liu, M. Automatic skin lesion area determination of basal cell carcinoma using optical coherence tomography angiography and a skeletonization approach: Preliminary results. J. Biophotonics 2019, 12, e201900131. [Google Scholar] [CrossRef] [PubMed]
- Niraula, D.; Cui, S.; Pakela, J.; Wei, L.; Luo, Y.; Haken, R.K.T.; El Naqa, I. Current status and future developments in predicting outcomes in radiation oncology. Br. J. Radiol. 2022, 95, 20220239. [Google Scholar] [CrossRef] [PubMed]
- Ran, A.R.; Tham, C.C.; Chan, P.P.; Cheng, C.-Y.; Tham, Y.-C.; Rim, T.H.; Cheung, C.Y. Deep learning in glaucoma with optical coherence tomography: A review. Eye 2021, 35, 188–201. [Google Scholar] [CrossRef]
- Chen, Z.; Liu, M.; Minneman, M.; Ginner, L.; Hoover, E.; Sattmann, H.; Bonesi, M.; Drexler, W.; Leitgeb, R.A. Phase-stable swept source OCT angiography in human skin using an akinetic source. Biomed. Opt. Express 2016, 7, 3032–3048. [Google Scholar] [CrossRef]
- Shi, Y.; Lu, J.; Le, N.; Wang, R.K. Integrating a pressure sensor with an OCT handheld probe to facilitate imaging of microvascular information in skin tissue beds. Biomed. Opt. Express 2022, 13, 6153–6166. [Google Scholar] [CrossRef]
- Gu, J.; Liao, J.; Zhang, T.; Zhang, Y.; Huang, Z.; Li, C. Quantitative Optimization of Handheld Probe External Pressure on Dermatological Microvasculature Using Optical Coherence Tomography-Based Angiography. Micromachines 2024, 15, 1128. [Google Scholar] [CrossRef]
- Elawa, S.; Mirdell, R.; Stefanis, A.; Tesselaar, E.; Farnebo, S. Microcirculatory changes in the skin after postmastectomy radiotherapy in women with breast cancer. Sci. Rep. 2024, 14, 4149. [Google Scholar] [CrossRef]
- Wei, J.; Meng, L.; Hou, X.; Qu, C.; Wang, B.; Xin, Y.; Jiang, X. Radiation-induced skin reactions: Mechanism and treatment. Cancer Manag. Res. 2019, 11, 167–177. [Google Scholar] [CrossRef]
- Rotunno, G.; Salvi, M.; Deinsberger, J.; Krainz, L.; Weber, B.; Sinz, C.; Kittler, H.; Schmetterer, L.; Drexler, W.; Liu, M.; et al. DERMA-OCTA: A Comprehensive Dataset and Preprocessing Pipeline for Dermatological OCTA Vessel Segmentation. Sci. Data 2025, 12, 1473. [Google Scholar] [CrossRef]
- Heilemann, G.; Georg, D.; Dobiasch, M.; Widder, J.; Renner, A. Automation of ePROMs in radiation oncology and its impact on patient response and bias. Radiother. Oncol. 2024, 199, 110427. [Google Scholar] [CrossRef]
- Heilemann, G.; Renner, A.; Kauer-Dorner, D.; Konrad, S.; Simek, I.-M.; Georg, D.; Widder, J. On the sensitivity of PROMs during breast radiotherapy. Clin. Transl. Radiat. Oncol. 2023, 39, 100572. [Google Scholar] [CrossRef]
- Chen, T.; Guestrin, C. Xgboost: A scalable tree boosting system. In Proceedings of the 22nd ACM SIGKDD International Conference on Knowledge Discovery and Data Mining, San Francisco, CA, USA, 13–17 August 2016. [Google Scholar] [CrossRef]





| Feature | Type | KW H-Stat | Raw p-Value | Benjamini–Hochberg q-Value | ? | |
|---|---|---|---|---|---|---|
| original_glcm_Imc1 | Texture | 9.7 | 0.139 | 0.022 | 0.050 | No |
| SizeZoneNonUniformity | Texture | 11.6 | 0.178 | 0.009 | 0.036 | Yes |
| DependenceNonUniformity | Texture | 8.8 | 0.121 | 0.032 | 0.064 | No |
| Maximal Correlation Coefficient | Texture | 14.8 | 0.246 | 0.023 | 0.050 | No |
| Strength | Texture | 14.0 | 0.229 | 0.018 | 0.050 | No |
| Zone Variance | Texture | 9.6 | 0.137 | 0.038 | 0.068 | No |
| Correlation | Texture | 10.1 | 0.148 | 0.041 | 0.068 | No |
| Complexity | Texture | 8.4 | 0.113 | 0.003 | 0.020 | Yes |
| Gray Level Non Uniformity | Texture | 8.3 | 0.110 | 0.014 | 0.048 | Yes |
| Maximum | Intensity | 14.1 | 0.232 | 0.002 | 0.020 | Yes |
| Range | Intensity | 10.6 | 0.158 | 0.003 | 0.020 | Yes |
| Fractal dimension (FD) | Vascular | 3.9 | 0.019 | 0.271 | 0.339 | No |
| Avascular area (AV) | Vascular | 11.6 | 0.179 | 0.009 | 0.036 | Yes |
| Vascular density (VD) | Vascular | 5.8 | 0.059 | 0.119 | 0.184 | No |
| Number of trees (NT) | Vascular | 3.1 | 0.002 | 0.375 | 0.417 | No |
| Number of branches (NB) | Vascular | 5.6 | 0.053 | 0.135 | 0.193 | No |
| Distance metric (DM) | Vascular | 2.4 | 0.012 | 0.492 | 0.518 | No |
| Inflection count metric (ICM) | Vascular | 5.2 | 0.045 | 0.161 | 0.214 | No |
| Sum of angles metric (SOAM) | Vascular | 3.5 | 0.010 | 0.322 | 0.379 | No |
| Entropy | Vascular | 1.7 | 0.028 | 0.645 | 0.645 | No |
Disclaimer/Publisher’s Note: The statements, opinions and data contained in all publications are solely those of the individual author(s) and contributor(s) and not of MDPI and/or the editor(s). MDPI and/or the editor(s) disclaim responsibility for any injury to people or property resulting from any ideas, methods, instructions or products referred to in the content. |
© 2025 by the authors. Licensee MDPI, Basel, Switzerland. This article is an open access article distributed under the terms and conditions of the Creative Commons Attribution (CC BY) license (https://creativecommons.org/licenses/by/4.0/).
Share and Cite
Heilemann, G.; Rotunno, G.; Krainz, L.; Gili, F.; Müller, C.; Meiburger, K.M.; Georg, D.; Widder, J.; Drexler, W.; Liu, M.; et al. Optical Coherence Tomography Angiography (OCTA) Captures Early Micro-Vascular Remodeling in Non-Melanoma Skin Cancer During Superficial Radiotherapy: A Proof-of-Concept Study. Diagnostics 2025, 15, 2698. https://doi.org/10.3390/diagnostics15212698
Heilemann G, Rotunno G, Krainz L, Gili F, Müller C, Meiburger KM, Georg D, Widder J, Drexler W, Liu M, et al. Optical Coherence Tomography Angiography (OCTA) Captures Early Micro-Vascular Remodeling in Non-Melanoma Skin Cancer During Superficial Radiotherapy: A Proof-of-Concept Study. Diagnostics. 2025; 15(21):2698. https://doi.org/10.3390/diagnostics15212698
Chicago/Turabian StyleHeilemann, Gerd, Giulia Rotunno, Lisa Krainz, Francesco Gili, Christoph Müller, Kristen M. Meiburger, Dietmar Georg, Joachim Widder, Wolfgang Drexler, Mengyang Liu, and et al. 2025. "Optical Coherence Tomography Angiography (OCTA) Captures Early Micro-Vascular Remodeling in Non-Melanoma Skin Cancer During Superficial Radiotherapy: A Proof-of-Concept Study" Diagnostics 15, no. 21: 2698. https://doi.org/10.3390/diagnostics15212698
APA StyleHeilemann, G., Rotunno, G., Krainz, L., Gili, F., Müller, C., Meiburger, K. M., Georg, D., Widder, J., Drexler, W., Liu, M., & Waldstein, C. (2025). Optical Coherence Tomography Angiography (OCTA) Captures Early Micro-Vascular Remodeling in Non-Melanoma Skin Cancer During Superficial Radiotherapy: A Proof-of-Concept Study. Diagnostics, 15(21), 2698. https://doi.org/10.3390/diagnostics15212698

