Hemolysis Index Correlations with Plasma-Free Hemoglobin and Plasma Lactate Dehydrogenase in Critically Ill Patients under Extracorporeal Membrane Oxygenation or Mechanical Circulatory Support—A Single-Center Study
Abstract
1. Introduction
2. Methods
2.1. Design
2.2. Patients
2.3. Data Collected
2.4. Measurements
2.5. Endpoints
2.6. Power Calculation
2.7. Statistical Analysis
3. Results
3.1. Patients
3.2. Correlations between the HI and PFH Levels and Plasma LDH Levels
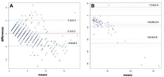
3.3. Bland and Altman Analyses
3.4. ROC Curves
3.5. Cost Calculation
4. Discussion
5. Conclusions
Author Contributions
Funding
Institutional Review Board Statement
Informed Consent Statement
Data Availability Statement
Conflicts of Interest
References
- Pan, K.C.; McKenzie, D.P.; Pellegrino, V.; Murphy, D.; Butt, W. The meaning of a high plasma free haemoglobin: Retrospective review of the prevalence of haemolysis and circuit thrombosis in an adult ECMO centre over 5 years. Perfusion 2016, 31, 223–231. [Google Scholar] [CrossRef]
- Mehra, M.R.; Goldstein, D.J.; Uriel, N.; Cleveland, J.C., Jr.; Yuzefpolskaya, M.; Salerno, C.; Walsh, M.N.; Milano, C.A.; Patel, C.B.; Ewald, G.A. Two-Year Outcomes with a Magnetically Levitated Cardiac Pump in Heart Failure. N. Engl. J. Med. 2018, 378, 1386–1395. [Google Scholar] [CrossRef]
- Grabska, J.; Schlöglhofer, T.; Gross, C.; Maw, M.; Dimitrov, K.; Wiedemann, D.; Zimpfer, D.; Schima, H.; Moscato, F. Early Detection of Pump Thrombosis in Patients With Left Ventricular Assist Device. ASAIO J. Am. Soc. Artif. Intern. Organs 2020, 66, 348–354. [Google Scholar] [CrossRef] [PubMed]
- Long, B.; Robertson, J.; Koyfman, A.; Brady, W. Left ventricular assist devices and their complications: A review for emergency clinicians. Am. J. Emerg. Med. 2019, 37, 1562–1570. [Google Scholar] [CrossRef]
- Neal, J.R.; Quintana, E.; Pike, R.B.; Hoyer, J.D.; Joyce, L.D.; Schears, G. Using Daily Plasma-Free Hemoglobin Levels for Diagnosis of Critical Pump Thrombus in Patients Undergoing ECMO or VAD Support. J. Extra-Corpor. Technol. 2015, 47, 103–108. [Google Scholar] [CrossRef]
- Lyu, L.; Long, C.; Hei, F.; Ji, B.; Liu, J.; Yu, K.; Chen, L.; Yao, J.; Hu, Q.; Hu, J.; et al. Plasma Free Hemoglobin Is a Predictor of Acute Renal Failure During Adult Venous-Arterial Extracorporeal Membrane Oxygenation Support. J. Cardiothorac. Vasc. Anesth. 2016, 30, 891–895. [Google Scholar] [CrossRef] [PubMed]
- Lv, L.; Long, C.; Liu, J.; Hei, F.; Ji, B.; Yu, K.; Hu, Q.; Hu, J.; Yuan, Y.; Gao, G. Predictors of Acute Renal Failure During Extracorporeal Membrane Oxygenation in Pediatric Patients After Cardiac Surgery. Artif. Organs 2016, 40, E79–E83. [Google Scholar] [CrossRef] [PubMed]
- Cowger, J.A.; Romano, M.A.; Shah, P.; Shah, N.; Mehta, V.; Haft, J.W.; Aaronson, K.D.; Pagani, F.D. Hemolysis: A harbinger of adverse outcome after left ventricular assist device implant. J. Hear. Lung Transplant. 2014, 33, 35–43. [Google Scholar] [CrossRef]
- Rahiman, E.A.; Bakhshi, S.; Pushpam, D.; Ramamoorthy, J.; Das, A.; Ghara, N.; Kalra, M.; Kapoor, G.; Meena, J.P.; Siddaigarhi, S.; et al. Outcome and prognostic factors in childhood B non-Hodgkin lymphoma from India: Report by the Indian Pediatric Oncology Group (InPOG-NHL-16-01 study). Pediatr. Hemat Oncol. 2022, 39, 391–405. [Google Scholar] [CrossRef]
- Lee, B.-K.; Ryu, S.; Oh, S.-K.; Ahn, H.-J.; Jeon, S.-Y.; Jeong, W.-J.; Cho, Y.-C.; Park, J.-S.; You, Y.-H.; Kang, C.-S. Lactate dehydrogenase to albumin ratio as a prognostic factor in lower respiratory tract infection patients. Am. J. Emerg. Med. 2022, 52, 54–58. [Google Scholar] [CrossRef]
- Kayagaki, N.; Kornfeld, O.S.; Lee, B.L.; Stowe, I.B.; O’rourke, K.; Li, Q.; Sandoval, W.; Yan, D.; Kang, J.; Xu, M.; et al. NINJ1 mediates plasma membrane rupture during lytic cell death. Nature 2021, 591, 131–136. [Google Scholar] [CrossRef] [PubMed]
- Lippi, G.; Salvagno, G.L.; Blanckaert, N.; Giavarina, D.; Green, S.; Kitchen, S.; Palicka, V.; Vassault, A.J.; Plebani, M. Multicenter evaluation of the hemolysis index in automated clinical chemistry systems. Clin. Chem. Lab. Med. 2009, 47, 934–939. [Google Scholar] [CrossRef] [PubMed]
- Dolci, A.; Panteghini, M. Harmonization of automated hemolysis index assessment and use: Is it possible? Clin. Chim. Acta 2014, 432, 38–43. [Google Scholar] [CrossRef]
- Bosma, M.; Waanders, F.; Schaik, H.P.V.; Van Loon, D.; Rigter, S.; Scholten, E.; Hackeng, C.M. Automated and cost-efficient early detection of hemolysis in patients with extracorporeal life support: Use of the hemolysis-index of routine clinical chemistry platforms. J. Crit. Care 2019, 51, 29–33. [Google Scholar] [CrossRef] [PubMed]
- Bürki, C.; Volleberg, M.; Brunner, D.; Schmugge, M.; Hersberger, M. Using the hemolysis index of Abbott’s Alinity c for the measurement of plasma free hemoglobin in ECMO patients. Clin. Biochem. 2022, 100, 67–70. [Google Scholar] [CrossRef] [PubMed]
- Petrova, D.T.; Cocisiu, G.A.; Eberle, C.; Rhode, K.-H.; Brandhorst, G.; Walson, P.D.; Oellerich, M. Can the Roche hemolysis index be used for automated determination of cell-free hemoglobin? A comparison to photometric assays. Clin. Biochem. 2013, 46, 1298–1301. [Google Scholar] [CrossRef] [PubMed]
- Bauer, K. Determination of Free Haemoglobin in Serum by an Automated Assay Using 4-Aminophenazone and the Cobas Bio System. Clin. Chem. Lab. Med. 1981, 19, 971–976. [Google Scholar] [CrossRef]
- Akoglu, H. User’s guide to correlation coefficients. Turk. J. Emerg. Med. 2018, 18, 91–93. [Google Scholar] [CrossRef]
- Extracorporeal Life Support Organization (ELSO). General Guidelines for all ECLS Cases August. 2017. Available online: https://www.elso.org/ecmo-resources/elso-ecmo-guidelines.aspx (accessed on 18 March 2024).
- Feugray, G.; Dumesnil, C.; Grall, M.; Benhamou, Y.; Girot, H.; Fettig, J.; Brunel, V.; Billoir, P. Lactate dehydrogenase and hemolysis index to predict vaso-occlusive crisis in sickle cell disease. Sci. Rep. 2023, 13, 21198. [Google Scholar] [CrossRef]
- Sullivan, I.J.; Faulds, J.N. Lactate dehydrogenase and Haemolysis Index as quality control markers of haemolysis in intra-operative cell salvage. Transfus. Med. 2013, 23, 326–329. [Google Scholar] [CrossRef]
- STS Intermacs Database. Appendix A Adverse Event Definitions. Available online: https://intermacs.kirso.net/intermacs-documents/ (accessed on 18 March 2024).
- Calvaresi, E.C.; La’ulu, S.L.; Snow, T.M.; Allison, T.R.; Genzen, J.R. Plasma hemoglobin: A method comparison of six assays for hemoglobin and hemolysis index measurement. Int. J. Lab. Hematol. 2021, 43, 1145–1153. [Google Scholar] [CrossRef] [PubMed]




| Patients with Extracorporeal or Mechanical Circulatory Support (N = 56) | Patients without Extracorporeal or Mechanical Circulatory Support (N = 91) | |
|---|---|---|
| gender | ||
| Female, n (%) | 8 (14.3) | 31 (34.1) |
| age, years, median [IQR] | 58.3 [52.0–66.2] | 74.9 [62.7–82.6] |
| body mass index, kg/m2, median [IQR] | 28.1 [26.1–30.8] | 27.0 [24.0–30.1] |
| reason for extracorporeal or mechanical circulatory support, n (%) | ||
| coronary heart disease | – | 20 (22.0) |
| aortic valve disease | – | 27 (29.7) |
| mitral valve disease | – | 6 (6.6) |
| tricuspid valve disease | – | 3 (3.3) |
| multiple valve disease | 2 (3.6) | 12 (13.2) |
| cardiomyopathy | 53 (94.6) | 5 (5.5) |
| endocarditis | – | 3 (3.3) |
| aortic aneurysm | – | 4 (4.4) |
| aortic dissection | – | 3 (3.3) |
| ventricular rupture | 1 (1.8) | 8 (8.8) |
| type of support (%) | ||
| extracorporeal membrane oxygenation | 3 (5.4) | – |
| mechanical circulatory support | 53 (94.6) | – |
| All Patients | Patients with Extracorporeal or Mechanical Circulatory Support | Patients without Extracorporeal or Mechanical Circulatory Support | Patients with HI ≤ 20 | Patients with HI > 20 | |
|---|---|---|---|---|---|
| (N = 147) | (N = 56) | (N = 91) | (N = 146) | (N = 64) | |
| r, (Pearson) PFH/HI | 0.97 | 0.96 | 0.97 | 0.81 | 0.95 |
| P, PFH/HI | <0.01 | <0.01 | <0.01 | 0.02 | <0.01 |
| r, (Pearson) HI/plasma LDH | 0.03 | 0.1 | −0.04 | 0.07 | 0.00 |
| P, HI/plasma LDH | 0.33 | <0.01 | 0.39 | <0.01 | 0.1 |
| r, (Pearson) PFH/plasma LDH | 0.19 | 0.14 | 0.24 | 0.29 | −0.17 |
| P, PFH/plasma LDH | <0.01 | <0.01 | <0.01 | <0.01 | 0.38 |
| Sensitivity | Specificity | PPV | NPV | |
|---|---|---|---|---|
| Comparison hemolysis | ||||
| HI > 8.5 – PFH >10 (all) | 100% | 95.5% | 76.8% | 100% |
| HI > 8.5 – PFH >10 (VAD + ECMO) | 100% | 88.8% | 37.8% | 100% |
| HI > 9.5 – PFH >10 (all) | 96.8% | 91.7% | 44.1% | 99.8% |
| HI > 9.5 – PFH >10 (VAD + ECMO) | 91.4% | 91.4% | 54.2% | 99.0% |
| HI | PFH | Plasma LDH | |
|---|---|---|---|
| Costs per measurement | €0 | €40 | €4 |
| Costs per day | |||
| patients with support | €0 [0–0] | €160 [120–160] | €16 [12–16] |
| ICU patients without support | €0 [0–0] | €40 [40–40] | €4 [4–40] |
| Costs per month for 10–bed ICU * | €0 [0–0] | €19,200 [16,800–19,200] | €1920 [1680–1920] |
Disclaimer/Publisher’s Note: The statements, opinions and data contained in all publications are solely those of the individual author(s) and contributor(s) and not of MDPI and/or the editor(s). MDPI and/or the editor(s) disclaim responsibility for any injury to people or property resulting from any ideas, methods, instructions or products referred to in the content. |
© 2024 by the authors. Licensee MDPI, Basel, Switzerland. This article is an open access article distributed under the terms and conditions of the Creative Commons Attribution (CC BY) license (https://creativecommons.org/licenses/by/4.0/).
Share and Cite
Zapletal, B.; Zimpfer, D.; Schlöglhofer, T.; Fritzer-Szekeres, M.; Szekeres, T.; Bernardi, M.H.; Geilen, J.; Schultz, M.J.; Tschernko, E.M. Hemolysis Index Correlations with Plasma-Free Hemoglobin and Plasma Lactate Dehydrogenase in Critically Ill Patients under Extracorporeal Membrane Oxygenation or Mechanical Circulatory Support—A Single-Center Study. Diagnostics 2024, 14, 680. https://doi.org/10.3390/diagnostics14070680
Zapletal B, Zimpfer D, Schlöglhofer T, Fritzer-Szekeres M, Szekeres T, Bernardi MH, Geilen J, Schultz MJ, Tschernko EM. Hemolysis Index Correlations with Plasma-Free Hemoglobin and Plasma Lactate Dehydrogenase in Critically Ill Patients under Extracorporeal Membrane Oxygenation or Mechanical Circulatory Support—A Single-Center Study. Diagnostics. 2024; 14(7):680. https://doi.org/10.3390/diagnostics14070680
Chicago/Turabian StyleZapletal, Bernhard, Daniel Zimpfer, Thomas Schlöglhofer, Monika Fritzer-Szekeres, Thomas Szekeres, Martin H. Bernardi, Johannes Geilen, Marcus J. Schultz, and Edda M. Tschernko. 2024. "Hemolysis Index Correlations with Plasma-Free Hemoglobin and Plasma Lactate Dehydrogenase in Critically Ill Patients under Extracorporeal Membrane Oxygenation or Mechanical Circulatory Support—A Single-Center Study" Diagnostics 14, no. 7: 680. https://doi.org/10.3390/diagnostics14070680
APA StyleZapletal, B., Zimpfer, D., Schlöglhofer, T., Fritzer-Szekeres, M., Szekeres, T., Bernardi, M. H., Geilen, J., Schultz, M. J., & Tschernko, E. M. (2024). Hemolysis Index Correlations with Plasma-Free Hemoglobin and Plasma Lactate Dehydrogenase in Critically Ill Patients under Extracorporeal Membrane Oxygenation or Mechanical Circulatory Support—A Single-Center Study. Diagnostics, 14(7), 680. https://doi.org/10.3390/diagnostics14070680

