Dynamic Perviousness Predicts Revascularization Success in Acute Ischemic Stroke
Abstract
1. Introduction
2. Methods
2.1. Patients
2.2. Imaging
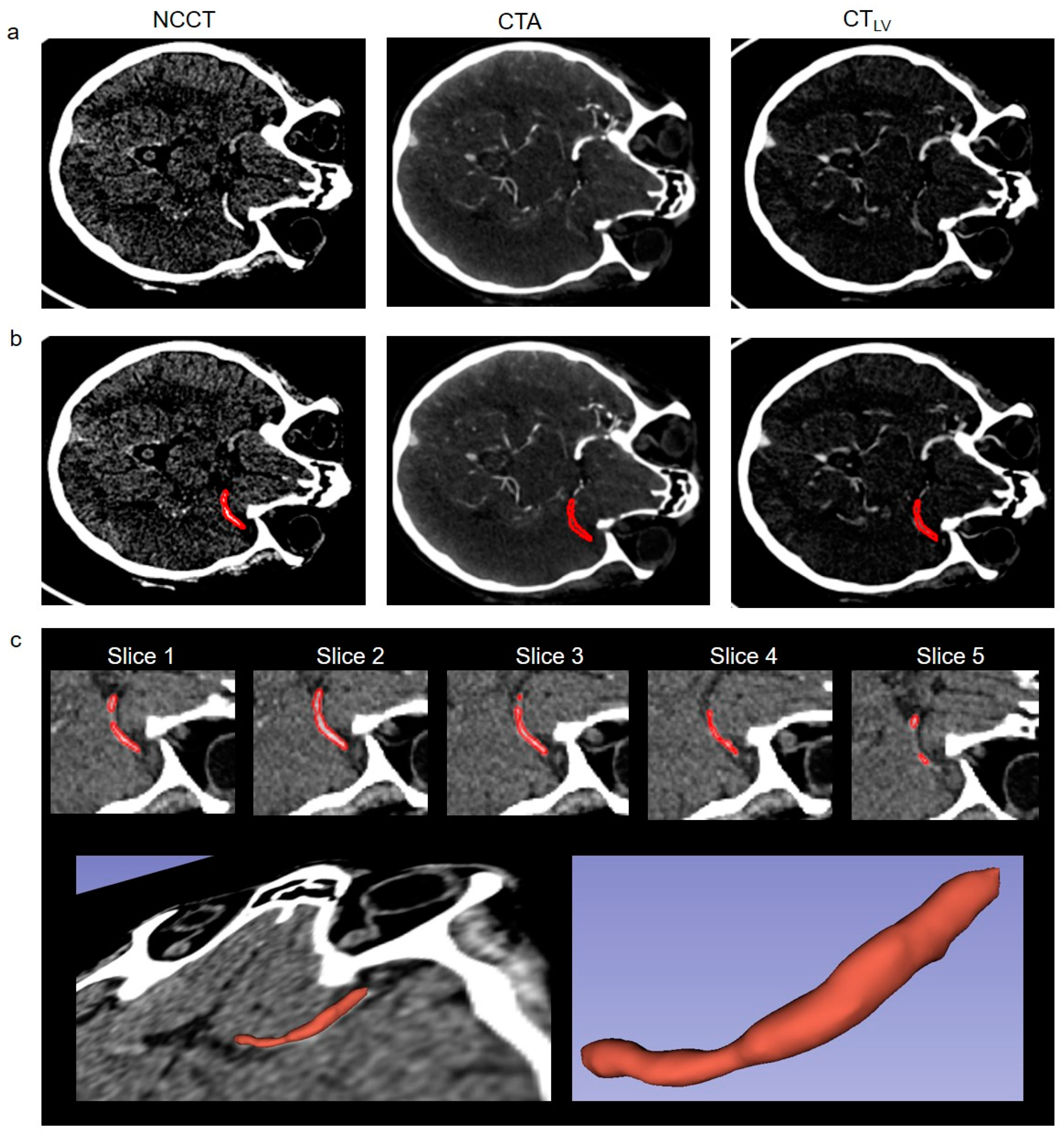
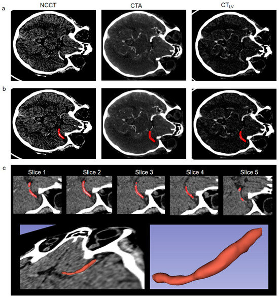
2.3. Image Processing and Statistical Analysis
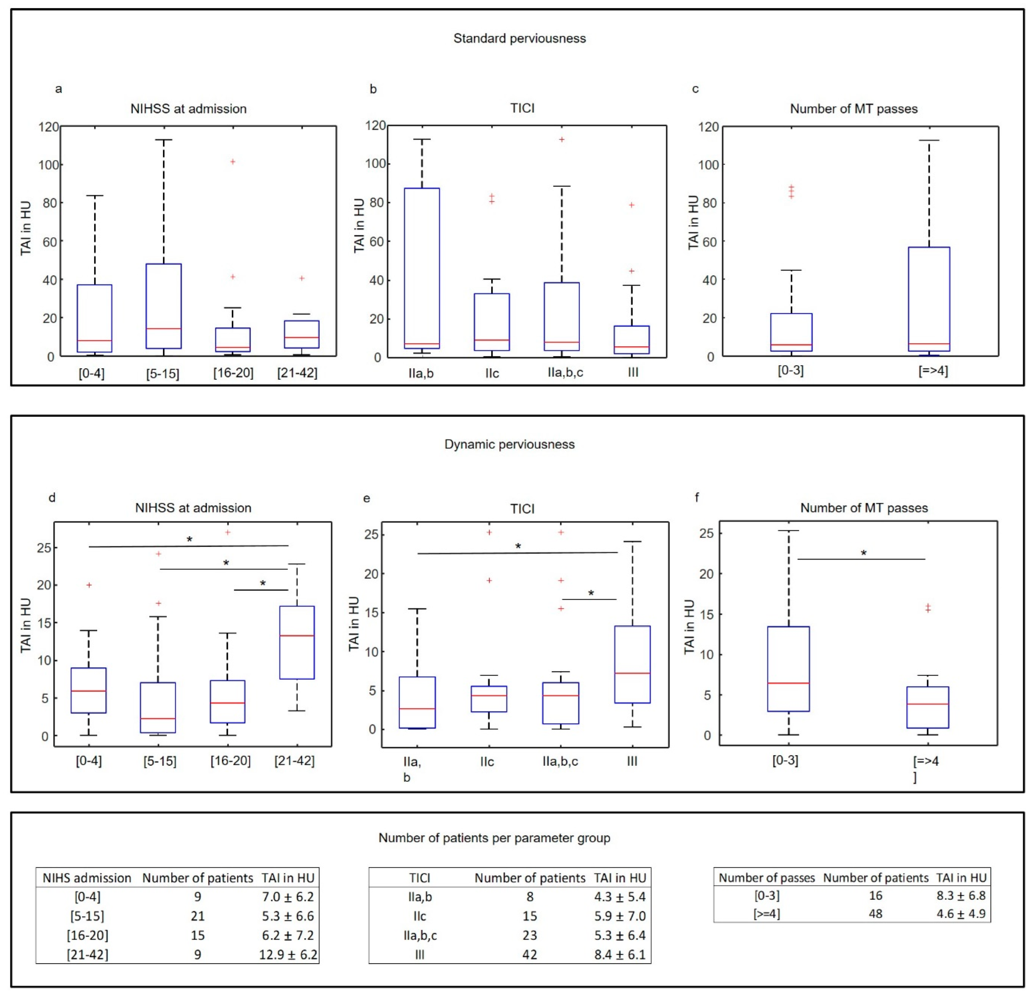
3. Results
4. Discussion
5. Summary
Author Contributions
Funding
Institutional Review Board Statement
Informed Consent Statement
Data Availability Statement
Acknowledgments
Conflicts of Interest
Abbreviations
References
- Feske, S.K. Ischemic Stroke. Am. J. Med. 2021, 134, 1457–1464. [Google Scholar] [CrossRef]
- Palaniswami, M.; Yan, B. Mechanical Thrombectomy Is Now the Gold Standard for Acute Ischemic Stroke: Implications for Routine Clinical Practice. Interv. Neurol. 2015, 4, 18–29. [Google Scholar] [CrossRef]
- Bourcier, R.; Goyal, M.; Liebeskind, D.S.; Muir, K.W.; Desal, H.; Siddiqui, A.H.; Dippel, D.W.J.; Majoie, C.B.; van Zwam, W.H.; Jovin, T.G.; et al. Association of Time from Stroke Onset to Groin Puncture with Quality of Reperfusion after Mechanical Thrombectomy: A Meta-analysis of Individual Patient Data From 7 Randomized Clinical Trials. JAMA Neurol. 2019, 76, 405–411. [Google Scholar] [CrossRef]
- Tonetti, D.A.; Desai, S.M.; Casillo, S.; Stone, J.; Brown, M.; Jankowitz, B.; Jovin, T.G.; Gross, B.A.; Jadhav, A. Successful reperfusion, rather than number of passes, predicts clinical outcome after mechanical thrombectomy. J. NeuroInterv. Surg. 2020, 12, 548–551. [Google Scholar] [CrossRef] [PubMed]
- Gascou, G.; Lobotesis, K.; Machi, P.; Maldonado, I.; Vendrell, J.F.; Riquelme, C.; Eker, O.; Mercier, G.; Mourand, I.; Arquizan, C.; et al. Stent Retrievers in Acute Ischemic Stroke: Complications and Failures during the Perioperative Period. Am. J. Neuroradiol. 2014, 35, 734–740. [Google Scholar] [CrossRef] [PubMed]
- Yoo, A.J.; Andersson, T. Thrombectomy in Acute Ischemic Stroke: Challenges to Procedural Success. J. Stroke 2017, 19, 121–130. [Google Scholar] [CrossRef] [PubMed]
- Jansen, I.G.H.; Mulder, M.J.H.L.; Goldhoorn, R.-J.B. Endovascular treatment for acute ischaemic stroke in routine clinical practice: Prospective, observational cohort study (MR CLEAN Registry). BMJ 2018, 360, k949. [Google Scholar] [CrossRef]
- Li, H.; Huang, J.; Ye, S.; Chen, H.; Yuan, L.; Liao, G.; Du, W.; Li, C.; Fang, L.; Liu, S.; et al. Predictors of mortality in acute ischemic stroke treated with endovascular thrombectomy despite successful reperfusion: Subgroup analysis of a multicentre randomised clinical trial. BMJ Open 2022, 12, e053765. [Google Scholar] [CrossRef] [PubMed]
- Jadhav, A.P.; Goyal, M.; Ospel, J.; Campbell, B.C.; Majoie, C.B.; Dippel, D.W.; White, P.; Bracard, S.; Guillemin, F.; Davalos, A.; et al. Thrombectomy with and without Computed Tomography Perfusion Imaging in the Early Time Window: A Pooled Analysis of Patient-Level Data. Stroke 2022, 53, 1348–1353. [Google Scholar] [CrossRef] [PubMed]
- Madjidyar, J.; Pineda Vidal, L.; Larsen, N.; Jansen, O. Influence of Thrombus Composition on Thrombectomy: ADAPT vs. Balloon Guide Catheter and Stent Retriever in a Flow Model. RoFo 2020, 192, 257–263. [Google Scholar] [CrossRef]
- Kaneko, N.; Ghovvati, M.; Komuro, Y.; Guo, L.; Khatibi, K.; Mejia, L.L.P.; Saber, H.; Annabi, N.; Tateshima, S. A new aspiration device equipped with a hydro-separator for acute ischemic stroke due to challenging soft and stiff clots. Interv. Neuroradiol. 2022, 28, 43–49. [Google Scholar] [CrossRef]
- Riedel, C.H.; Zimmermann, P.; Jensen-Kondering, U.; Stingele, R.; Deuschl, G.; Jansen, O. The importance of size: Successful recanalization by intravenous thrombolysis in acute anterior stroke depends on thrombus length. Stroke 2011, 42, 1775–1777. [Google Scholar] [CrossRef]
- Soize, S.; Batista, A.L.; Regent, C.R.; Trystram, D.; Tisserand, M.; Turc, G.; Serre, I.; Ben Hassen, W.; Zuber, M.; Calvet, D.; et al. Susceptibility vessel sign on T2* magnetic resonance imaging and recanalization results of mechanical thrombectomy with stent retrievers: A multicentre cohort study. Eur. J. Neurol. 2015, 22, 967–972. [Google Scholar] [CrossRef]
- Ullberg, T.; von Euler, M.; Wasselius, J.; Wester, P.; Arnberg, F. Survival and functional outcome following endovascular thrombectomy for anterior circulation acute ischemic stroke caused by large vessel occlusion in Sweden 2017–2019—A nationwide, prospective, observational study. Interv. Neuroradiol. 2023, 29, 94–101. [Google Scholar] [CrossRef]
- Benson, J.C.; Brinjikji, W.; Messina, S.A.; Lanzino, G.; Kallmes, D.F. Cervical internal carotid artery tortuosity: A morphologic analysis of patients with acute ischemic stroke. Interv. Neuroradiol. 2020, 26, 216–221. [Google Scholar] [CrossRef]
- Shin, J.W.; Jeong, H.S.; Kwon, H.-J.; Song, K.S.; Kim, J. High red blood cell composition in clots is associated with successful recanalization during intra-arterial thrombectomy. PLoS ONE 2018, 13, e0197492. [Google Scholar] [CrossRef]
- Fereidoonnezhad, B.; Dwivedi, A.; Johnson, S.; McCarthy, R.; McGarry, P. Blood clot fracture properties are dependent on red blood cell and fibrin content. Acta Biomater. 2021, 127, 213–228. [Google Scholar] [CrossRef] [PubMed]
- Santos, E.M.; Marquering, H.A.; Blanken, M.D.D.; Berkhemer, O.A.; Boers, A.M.; Yoo, A.J.; Beenen, L.F.; Treurniet, K.M.; Wismans, C.; van Noort, K.; et al. Thrombus Permeability Is Associated with Improved Functional Outcome and Recanalization in Patients With Ischemic Stroke. Stroke 2016, 47, 732–741. [Google Scholar] [CrossRef] [PubMed]
- Dutra, B.G.; Tolhuisen, M.L.; Alves, H.C.; Treurniet, K.M.; Kappelhof, M.; Yoo, A.J.; Jansen, I.G.; Dippel, D.W.; van Zwam, W.H.; van Oostenbrugge, R.J.; et al. Thrombus Imaging Characteristics and Outcomes in Acute Ischemic Stroke Patients Undergoing Endovascular Treatment. Stroke 2019, 50, 2057–2064. [Google Scholar] [CrossRef] [PubMed]
- Boodt, N.; van Schauburg, P.R.S.; Hund, H.M.; Fereidoonnezhad, B.; McGarry, J.P.; Akyildiz, A.C.; van Es, A.C.; De Meyer, S.F.; Dippel, D.W.; Lingsma, H.F.; et al. Mechanical Characterization of Thrombi Retrieved with Endovascular Thrombectomy in Patients with Acute Ischemic Stroke. Stroke 2021, 52, 2510–2517. [Google Scholar] [CrossRef]
- Dwivedi, A.; Glynn, A.; Johnson, S.; Duffy, S.; Fereidoonnezhad, B.; McGarry, P.; Gilvarry, M.; McCarthy, R. Measuring the effect of thrombosis, thrombus maturation and thrombolysis on clot mechanical properties in an in-vitro model. J. Biomech. 2021, 129, 110731. [Google Scholar] [CrossRef]
- Patil, S.; Darcourt, J.; Messina, P.; Bozsak, F.; Cognard, C.; Doyle, K. Characterising acute ischaemic stroke thrombi: Insights from histology, imaging and emerging impedance-based technologies. Stroke Vasc. Neurol. 2022, 7, 353–363. [Google Scholar] [CrossRef]
- Ye, G.; Cao, R.; Lu, J.; Qi, P.; Hu, S.; Chen, K.; Tan, T.; Chen, J.; Wang, D. Histological composition behind CT-based thrombus density and perviousness in acute ischemic stroke. Clin. Neurol. Neurosurg. 2021, 207, 106804. [Google Scholar] [CrossRef]
- Ganeshan, R.; Nave, A.H.; Scheitz, J.F.A.; Schindlbeck, K.; Haeusler, K.G.; Nolte, C.H.; Villringer, K.; Fiebach, J.B. Assessment of thrombus length in acute ischemic stroke by post-contrast magnetic resonance angiography. J. NeuroInterv. Surg. 2018, 10, 756–760. [Google Scholar] [CrossRef] [PubMed]
- Baek, J.-H.; Yoo, J.; Song, D.; Kim, Y.D.; Nam, H.S.; Kim, B.M.; Kim, D.J.; Lee, H.S.; Heo, J.H. Predictive value of thrombus volume for recanalization in stent retriever thrombectomy. Sci. Rep. 2017, 7, 15938. [Google Scholar] [CrossRef] [PubMed]
- Santos, E.M.M.; Marquering, H.A.; Berkhemer, O.A.; van Zwam, W.H.; van der Lugt, A.; Majoie, C.B.; Niessen, W.J.; MR CLEAN investigators. Development and Validation of Intracranial Thrombus Segmentation on CT Angiography in Patients with Acute Ischemic Stroke. PLoS ONE 2014, 9, e101985. [Google Scholar] [CrossRef] [PubMed]
- Staessens, S.; De Meyer, S.F. Thrombus heterogeneity in ischemic stroke. Platelets 2021, 32, 331–339. [Google Scholar] [CrossRef] [PubMed]
- Liebeskind, D.S.; Sanossian, N.; Yong, W.H.; Starkman, S.; Tsang, M.P.; Moya, A.L.; Zheng, D.D.; Abolian, A.M.; Kim, D.; Ali, L.K.; et al. CT and MRI Early Vessel Signs Reflect Clot Composition in Acute Stroke. Stroke 2011, 42, 1237–1243. [Google Scholar] [CrossRef] [PubMed]
- Fitzgerald, S.; Mereuta, O.M.; Doyle, K.M.; Dai, D.; Kadirvel, R.; Kallmes, D.F.; Brinjikji, W. Correlation of imaging and histopathology of thrombi in acute ischemic stroke with etiology and outcome. J. Neurosurg. Sci. 2019, 63, 292–300. [Google Scholar] [CrossRef] [PubMed]
- Tan, I.; Demchuk, A.; Hopyan, J.; Zhang, L.; Gladstone, D.; Wong, K.; Martin, M.; Symons, S.; Fox, A.; Aviv, R. CT Angiography Clot Burden Score and Collateral Score: Correlation with Clinical and Radiologic Outcomes in Acute Middle Cerebral Artery Infarct. Am. J. Neuroradiol. 2009, 30, 525–531. [Google Scholar] [CrossRef]
- Brinjikji, W.; Duffy, S.; Burrows, A.; Hacke, W.; Liebeskind, D.; Majoie, C.B.L.M.; Dippel, D.W.J.; Siddiqui, A.H.; Khatri, P.; Baxter, B.; et al. Correlation of imaging and histopathology of thrombi in acute ischemic stroke with etiology and outcome: A systematic review. J. NeuroInterv. Surg. 2017, 9, 529–534. [Google Scholar] [CrossRef] [PubMed]
- Shu, L.; Riedel, C.; Meyne, J.; Jansen, O.; Jensen-Kondering, U. Successful recanalization in acute basilar artery occlusion treated with endovascular therapy is independent of thrombus length. J. NeuroInterv. Surg. 2017, 9, 1047–1052. [Google Scholar] [CrossRef] [PubMed]
- Sporns, P.B.; Hanning, U.; Schwindt, W.; Velasco, A.; Buerke, B.; Cnyrim, C.; Minnerup, J.; Heindel, W.; Jeibmann, A.; Niederstadt, T. Ischemic Stroke: Histological Thrombus Composition and Pre-Interventional CT Attenuation Are Associated with Intervention Time and Rate of Secondary Embolism. Cerebrovasc. Dis. 2017, 44, 344–350. [Google Scholar] [CrossRef]
- Joundi, R.A.; Menon, B.K. Thrombus Composition, Imaging, and Outcome Prediction in Acute Ischemic Stroke. Neurology 2021, 97, S68–S78. [Google Scholar] [CrossRef] [PubMed]
- Santos, E.M.; Terreros, N.A.; Kappelhof, M.; Borst, J.; Boers, A.M.M.; Lingsma, H.F.; Berkhemer, O.A.; Dippel, D.W.; Majoie, C.B.; Marquering, H.A.; et al. Associations of thrombus perviousness derived from entire thrombus segmentation with functional outcome in patients with acute ischemic stroke. J. Biomech. 2021, 128, 110700. [Google Scholar] [CrossRef]
- Mishra, S.; Dykeman, J.; Sajobi, T.; Trivedi, A.; Almekhlafi, M.; Sohn, S.; Bal, S.; Qazi, E.; Calleja, A.; Eesa, M.; et al. Early Reperfusion Rates with IV tPA Are Determined by CTA Clot Characteristics. Am. J. Neuroradiol. 2014, 35, 2265–2272. [Google Scholar] [CrossRef]
- Przybylowski, C.J.; Ding, D.; Starke, R.M.; Durst, C.R.; Crowley, R.W.; Liu, K.C. Evolution of endovascular mechanical thrombectomy for acute ischemic stroke. World J. Clin. Cases 2014, 2, 614–622. [Google Scholar] [CrossRef]
- Berndt, M.; Mück, F.; Maegerlein, C.; Wunderlich, S.; Zimmer, C.; Wirth, S.; Mönch, S.; Kaesmacher, J.; Friedrich, B.; Boeckh-Behrens, T. Introduction of CTA-index as Simplified Measuring Method for Thrombus Perviousness. Clin. Neuroradiol. 2021, 31, 773–781. [Google Scholar] [CrossRef]
- Hund, H.; Boodt, N.; Terreros, N.A.; Taha, A.; Marquering, H.A.; van Es, A.C.G.M.; Bokkers, R.P.H.; Nijeholt, G.J.L.; Majoie, C.B.; Dippel, D.W.; et al. Quantitative thrombus characteristics on thin-slice computed tomography improve prediction of thrombus histopathology: Results of the MR CLEAN Registry. Eur. Radiol. 2022, 32, 7811–7823. [Google Scholar] [CrossRef]
- Borggrefe, J.; Kottlors, J.; Mirza, M.; Neuhaus, V.-F.; Abdullayev, N.; Maus, V.; Kabbasch, C.; Maintz, D.; Mpotsaris, A. Differentiation of Clot Composition Using Conventional and Dual-Energy Computed Tomography. Clin. Neuroradiol. 2018, 28, 515–522. [Google Scholar] [CrossRef]
- Hertig, G.; Zehnder, M.; Woloszyk, A.; Mitsiadis, T.A.; Ivica, A.; Weber, F.E. Iodixanol as a Contrast Agent in a Fibrin Hydrogel for Endodontic Applications. Front. Physiol. 2017, 8, 152. [Google Scholar] [CrossRef]
- Kappelhof, M.; Tolhuisen, M.L.; Treurniet, K.M.; Dutra, B.G.; Alves, H.; Zhang, G.; Brown, S.; Muir, K.W.; Dávalos, A.; Roos, Y.B.; et al. Endovascular Treatment Effect Diminishes with Increasing Thrombus Perviousness: Pooled Data From 7 Trials on Acute Ischemic Stroke. Stroke 2021, 52, 3633–3641. [Google Scholar] [CrossRef] [PubMed]
- Frölich, A.; Schrader, D.; Klotz, E.; Schramm, R.; Wasser, K.; Knauth, M. 4D CT Angiography More Closely Defines Intracranial Thrombus Burden Than Single-Phase CT Angiography. Am. J. Neuroradiol. 2013, 34, 1908–1913. [Google Scholar] [CrossRef] [PubMed]
- Garyfallidis, E.; Brett, M.; Amirbekian, B.; Rokem, A.; Van Der Walt, S.; Descoteaux, M.; Nimmo-Smith, I.; Dipy Contributors. Dipy, a library for the analysis of diffusion MRI data. Front. Neuroinform. 2014, 8, 8. [Google Scholar] [CrossRef]
- Fedorov, A.; Beichel, R.; Kalpathy-Cramer, J.; Finet, J.; Fillion-Robin, J.-C.; Pujol, S.; Bauer, C.; Jennings, D.; Fennessy, F.; Sonka, M.; et al. 3D Slicer as an image computing platform for the Quantitative Imaging Network. Magn. Reson. Imaging 2012, 30, 1323–1341. [Google Scholar] [CrossRef] [PubMed]
- Hashimoto, T.; Hayakawa, M.; Funatsu, N.; Yamagami, H.; Satow, T.; Takahashi, J.C.; Nagatsuka, K.; Ishibashi-Ueda, H.; Kira, J.-I.; Toyoda, K.; et al. Histopathologic Analysis of Retrieved Thrombi Associated with Successful Reperfusion after Acute Stroke Thrombectomy. Stroke 2016, 47, 3035–3037. [Google Scholar] [CrossRef] [PubMed]
- Maekawa, K.; Shibata, M.; Nakajima, H.; Mizutani, A.; Kitano, Y.; Seguchi, M.; Yamasaki, M.; Kobayashi, K.; Sano, T.; Mori, G.; et al. Erythrocyte-Rich Thrombus Is Associated with Reduced Number of Maneuvers and Procedure Time in Patients with Acute Ischemic Stroke Undergoing Mechanical Thrombectomy. Cerebrovasc. Dis. Extra 2018, 8, 39–49. [Google Scholar] [CrossRef] [PubMed]
- Boeckh-Behrens, T.; Schubert, M.; Förschler, A.; Prothmann, S.; Kreiser, K.; Zimmer, C.; Riegger, J.; Bauer, J.; Neff, F.; Kehl, V.; et al. The Impact of Histological Clot Composition in Embolic Stroke. Clin. Neuroradiol. 2016, 26, 189–197. [Google Scholar] [CrossRef] [PubMed]
- Douglas, A.; Fitzgerald, S.; Mereuta, O.M.; Rossi, R.; O’Leary, S.; Pandit, A.; McCarthy, R.; Gilvarry, M.; Holmegaard, L.; Abrahamsson, M.; et al. Platelet-rich emboli are associated with von Willebrand factor levels and have poorer revascularization outcomes. J. NeuroInterv. Surg. 2020, 12, 557–562. [Google Scholar] [CrossRef]
- Gunning, G.M.; McArdle, K.; Mirza, M.; Duffy, S.; Gilvarry, M.A.; Brouwer, P. Clot friction variation with fibrin content; implications for resistance to thrombectomy. J. NeuroInterv. Surg. 2018, 10, 34–38. [Google Scholar] [CrossRef]
- Novotny, J.; Oberdieck, P.; Titova, A.; Pelisek, J.; Chandraratne, S.; Nicol, P.; Hapfelmeier, A.; Joner, M.; Maegdefessel, L.; Poppert, H.; et al. Thrombus NET content is associated with clinical outcome in stroke and myocardial infarction. Neurology 2020, 94, E2346–E2360. [Google Scholar] [CrossRef] [PubMed]
- Fitzgerald, S.; Liu, Y.; Dai, D.; Mereuta, O.; Abbasi, M.; Larco, J.; Douglas, A.; Kallmes, D.; Savastano, L.; Doyle, K.; et al. Novel Human Acute Ischemic Stroke Blood Clot Analogs for In Vitro Thrombectomy Testing. Am. J. Neuroradiol. 2021, 42, 1250–1257. [Google Scholar] [CrossRef] [PubMed]
- Santos, E.M.M.; PRove-IT investigators; D’esterre, C.D.; Treurniet, K.M.; Niessen, W.J.; Najm, M.; Goyal, M.; Demchuk, A.M.; Majoie, C.B.; Menon, B.K.; et al. Added value of multiphase CTA imaging for thrombus perviousness assessment. Neuroradiology 2018, 60, 71–79. [Google Scholar] [CrossRef] [PubMed]
- Patel, T.; Fricano, S.; Waqas, M.; Tso, M.; Dmytriw, A.; Mokin, M.; Kolega, J.; Tomaszewski, J.; Levy, E.; Davies, J.; et al. Increased Perviousness on CT for Acute Ischemic Stroke is Associated with Fibrin/Platelet-Rich Clots. Am. J. Neuroradiol. 2021, 42, 57–64. [Google Scholar] [CrossRef] [PubMed]
- Mokin, M.; Waqas, M.; Fifi, J.; De Leacy, R.; Fiorella, D.; Levy, E.I.; Snyder, K.; Hanel, R.; Woodward, K.; Chaudry, I.; et al. Clot perviousness is associated with first pass success of aspiration thrombectomy in the COMPASS trial. J. NeuroInterv. Surg. 2021, 13, 509–514. [Google Scholar] [CrossRef] [PubMed]
- Byun, J.-S.; Nicholson, P.; Hilditch, C.A.; Tsang, A.C.O.; Pereira, V.M.; Krings, T.; Fang, Y.; Brinjikji, W. Thrombus perviousness is not associated with first-pass revascularization using stent retrievers. Interv. Neuroradiol. 2019, 25, 285–290. [Google Scholar] [CrossRef] [PubMed]
- Chen, Z.; Shi, F.; Gong, X.; Zhang, R.; Zhong, W.; Zhou, Y.; Lou, M. Thrombus Permeability on Dynamic CTA Predicts Good Outcome after Reperfusion Therapy. Am. J. Neuroradiol. 2018, 39, 1854–1859. [Google Scholar] [CrossRef] [PubMed]
- Ciasca, G.; Papi, M.; Di Claudio, S.; Chiarpotto, M.; Palmieri, V.; Maulucci, G.; Nocca, G.; Rossi, C.; De Spirito, M. Mapping viscoelastic properties of healthy and pathological red blood cells at the nanoscale level. Nanoscale 2015, 7, 17030–17037. [Google Scholar] [CrossRef]
- Huisjes, R.; Bogdanova, A.; van Solinge, W.W.; Schiffelers, R.M.; Kaestner, L.; van Wijk, R. Squeezing for Life—Properties of Red Blood Cell Deformability. Front. Physiol. 2018, 9, 656. [Google Scholar] [CrossRef]
- Sorrentino, S.; Studt, J.-D.; Horev, M.B.; Medalia, O.; Sapra, K.T. Toward correlating structure and mechanics of platelets. Cell Adhes. Migr. 2016, 10, 568–575. [Google Scholar] [CrossRef]
- Weisel, J.W.; Litvinov, R.I. Red blood cells: The forgotten player in hemostasis and thrombosis. J. Thromb. Haemost. 2019, 17, 271–282. [Google Scholar] [CrossRef] [PubMed]
- Cines, D.B.; Lebedeva, T.; Nagaswami, C.; Hayes, V.; Massefski, W.; Litvinov, R.I.; Rauova, L.; Lowery, T.J.; Weisel, J.W. Clot contraction: Compression of erythrocytes into tightly packed polyhedra and redistribution of platelets and fibrin. Blood 2014, 123, 1596–1603. [Google Scholar] [CrossRef] [PubMed]
- Tutwiler, V.; Mukhitov, A.R.; Peshkova, A.D.; Le Minh, G.; Khismatullin, R.R.; Vicksman, J.; Nagaswami, C.; Litvinov, R.I.; Weisel, J.W. Shape changes of erythrocytes during blood clot contraction and the structure of polyhedrocytes. Sci. Rep. 2018, 8, 17907. [Google Scholar] [CrossRef] [PubMed]




Disclaimer/Publisher’s Note: The statements, opinions and data contained in all publications are solely those of the individual author(s) and contributor(s) and not of MDPI and/or the editor(s). MDPI and/or the editor(s) disclaim responsibility for any injury to people or property resulting from any ideas, methods, instructions or products referred to in the content. |
© 2024 by the authors. Licensee MDPI, Basel, Switzerland. This article is an open access article distributed under the terms and conditions of the Creative Commons Attribution (CC BY) license (https://creativecommons.org/licenses/by/4.0/).
Share and Cite
Bertalan, G.; Duparc, R.; Krepuska, M.; Toth, D.; Madjidyar, J.; Thurner, P.; Schubert, T.; Kulcsar, Z. Dynamic Perviousness Predicts Revascularization Success in Acute Ischemic Stroke. Diagnostics 2024, 14, 535. https://doi.org/10.3390/diagnostics14050535
Bertalan G, Duparc R, Krepuska M, Toth D, Madjidyar J, Thurner P, Schubert T, Kulcsar Z. Dynamic Perviousness Predicts Revascularization Success in Acute Ischemic Stroke. Diagnostics. 2024; 14(5):535. https://doi.org/10.3390/diagnostics14050535
Chicago/Turabian StyleBertalan, Gergely, Roxane Duparc, Miklos Krepuska, Daniel Toth, Jawid Madjidyar, Patrick Thurner, Tilman Schubert, and Zsolt Kulcsar. 2024. "Dynamic Perviousness Predicts Revascularization Success in Acute Ischemic Stroke" Diagnostics 14, no. 5: 535. https://doi.org/10.3390/diagnostics14050535
APA StyleBertalan, G., Duparc, R., Krepuska, M., Toth, D., Madjidyar, J., Thurner, P., Schubert, T., & Kulcsar, Z. (2024). Dynamic Perviousness Predicts Revascularization Success in Acute Ischemic Stroke. Diagnostics, 14(5), 535. https://doi.org/10.3390/diagnostics14050535

