Diagnostic Ability of Quantitative Parameters of Whole-Body Bone SPECT/CT Using a Full-Ring 360° Cadmium-Zinc-Telluride Camera for Detecting Bone Metastasis in Patients with Prostate Cancer
Abstract
1. Introduction
2. Materials and Methods
2.1. Patients
2.2. Bone SPECT/CT Acquisition Protocol
2.3. SPECT/CT Image Analysis
2.4. Statistical Analysis
3. Results
3.1. Patient Characteristics
3.2. Normal Bone Uptake of SPECT/CT Images
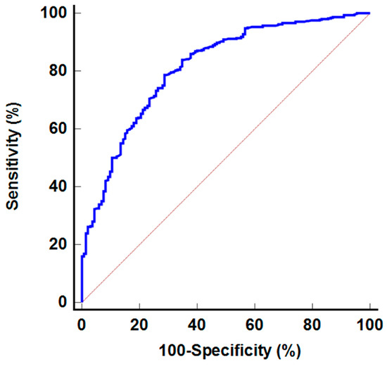
3.3. Diagnostic Ability of SPECT/CT Imaging Parameters
4. Discussion
5. Conclusions
Author Contributions
Funding
Institutional Review Board Statement
Informed Consent Statement
Data Availability Statement
Conflicts of Interest
References
- Bray, F.; Laversanne, M.; Sung, H.; Ferlay, J.; Siegel, R.L.; Soerjomataram, I.; Jemal, A. Global cancer statistics 2022: GLOBOCAN estimates of incidence and mortality worldwide for 36 cancers in 185 countries. CA Cancer J. Clin. 2024, 74, 229–263. [Google Scholar] [CrossRef]
- Zhuo, L.; Cheng, Y.; Pan, Y.; Zong, J.; Sun, W.; Xu, L.; Soriano-Gabarró, M.; Song, Y.; Lu, J.; Zhan, S. Prostate cancer with bone metastasis in Beijing: An observational study of prevalence, hospital visits and treatment costs using data from an administrative claims database. BMJ Open 2019, 9, e028214. [Google Scholar] [CrossRef] [PubMed]
- Zhang, J.; Cai, D.; Hong, S. Prevalence and prognosis of bone metastases in common solid cancers at initial diagnosis: A population-based study. BMJ Open 2023, 13, e069908. [Google Scholar] [CrossRef] [PubMed]
- Mohseninia, N.; Zamani-Siahkali, N.; Harsini, S.; Divband, G.; Pirich, C.; Beheshti, M. Bone metastasis in prostate cancer: Bone scan versus PET imaging. Semin. Nucl. Med. 2024, 54, 97–118. [Google Scholar] [CrossRef]
- Tabotta, F.; Jreige, M.; Schaefer, N.; Becce, F.; Prior, J.O.; Nicod Lalonde, M. Quantitative bone SPECT/CT: High specificity for identification of prostate cancer bone metastases. BMC Musculoskelet. Disord. 2019, 20, 619. [Google Scholar] [CrossRef]
- Zhang, X.; Jiang, P.; Wang, C. The role of prostate-specific antigen in the osteoblastic bone metastasis of prostate cancer: A literature review. Front. Oncol. 2023, 13, 1127637. [Google Scholar] [CrossRef]
- Saminathan, S.T.; Ahmed, W.A.W.; Nawi, N.M.; Tagiling, N.; Aziz, I.; Udin, Y.; Rohani, M.F.M.; Zainon, W.; Razab, M. Correlation between the maximum standard uptake value and mean Hounsfield unit on single-photon emission computed tomography-computed tomography to discriminate benign and metastatic lesions among patients with breast cancer. Asian Spine J. 2024, 18, 398–406. [Google Scholar] [CrossRef]
- Alqahtani, M.M.; Fulton, R.; Constable, C.; Willowson, K.P.; Kench, P.L. Diagnostic performance of whole-body SPECT/CT in bone metastasis detection using 99mTc-labelled diphosphate: A systematic review and meta-analysis. Clin. Radiol. 2020, 75, 961.e1–961.e24. [Google Scholar] [CrossRef] [PubMed]
- Lee, J.W.; Jung, K.J.; Lee, S.M.; Chang, S.H. Clinical use of quantitative analysis of bone scintigraphy to assess the involvement of arthritis diseases in patients with joint symptoms. Diagnostics 2020, 10, 1000. [Google Scholar] [CrossRef]
- Zamani-Siahkali, N.; Mirshahvalad, S.A.; Farbod, A.; Divband, G.; Pirich, C.; Veit-Haibach, P.; Cook, G.; Beheshti, M. SPECT/CT, PET/CT, and PET/MRI for response assessment of bone metastases. Semin. Nucl. Med. 2024, 54, 356–370. [Google Scholar] [CrossRef]
- Graham, R.; Morland, D.; Cade, S.; Imbert, L.; Panagiotidis, E.; Kurth, J.; Paycha, F.; Van den Wyngaert, T. EANM position paper on challenges and opportunities of full-ring 360° CZT bone imaging: It’s time to let go of planar whole-body bone imaging. Eur. J. Nucl. Med. Mol. Imaging, 2024; online ahead of print. [Google Scholar] [CrossRef]
- Bahloul, A.; Verger, A.; Blum, A.; Chawki, M.B.; Perrin, M.; Melki, S.; Karcher, G.; Marie, P.-Y.; Imbert, L. Bone scintigraphy of vertebral fractures with a whole-body CZT camera in a PET-like utilization. Front. Nucl. Med. 2021, 1, 740275. [Google Scholar] [CrossRef] [PubMed]
- Komber, H.; Redman, S.; Graham, R.; Anane-Adusei, S.; Little, D. Whole-body single photon emission computed tomography/computed tomography for assessment of oncological bone disease—Is an extended field of view (from vertex to toes) of clinical value? Nucl. Med. Commun. 2023, 44, 131–136. [Google Scholar] [CrossRef] [PubMed]
- Arvola, S.; Seppänen, M.; Timonen, K.L.; Rautio, P.; Ettala, O.; Anttinen, M.; Boström, P.J.; Noponen, T. Detection of prostate cancer bone metastases with fast whole-body 99mTc-HMDP SPECT/CT using a general-purpose CZT system. EJNMMI Phys. 2022, 9, 85. [Google Scholar] [CrossRef] [PubMed]
- Oya, T.; Ichikawa, Y.; Nakamura, S.; Tomita, Y.; Sasaki, T.; Inoue, T.; Sakuma, H. Quantitative assessment of 99mTc-methylene diphosphonate bone SPECT/CT for assessing bone metastatic burden and its prognostic value in patients with castration-resistant prostate cancers: Initial results in a single-center retrospective study. Ann. Nucl. Med. 2023, 37, 360–370. [Google Scholar] [CrossRef] [PubMed]
- Hou, X.; He, Y.; Liu, G.; Chen, S.; Shi, H. SPECT/CT imaging: Quantifying 99mTc-MDP concentration in the spine and pelvis. Ann. Nucl. Med. 2024, 38, 933–942. [Google Scholar] [CrossRef]
- Qi, N.; Meng, Q.; You, Z.; Chen, H.; Shou, Y.; Zhao, J. Standardized uptake values of 99mTc-MDP in normal vertebrae assessed using quantitative SPECT/CT for differentiation diagnosis of benign and malignant bone lesions. BMC Med. Imaging 2021, 21, 39. [Google Scholar] [CrossRef]
- Umeda, T.; Koizumi, M.; Fukai, S.; Miyaji, N.; Motegi, K.; Nakazawa, S.; Takiguchi, T. Evaluation of bone metastatic burden by bone SPECT/CT in metastatic prostate cancer patients: Defining threshold value for total bone uptake and assessment in radium-223 treated patients. Ann. Nucl. Med. 2018, 32, 105–113. [Google Scholar] [CrossRef]
- Zhang, Y.; Li, B.; Yu, H.; Song, J.; Zhou, Y.; Shi, H. The value of skeletal standardized uptake values obtained by quantitative single-photon emission computed tomography-computed tomography in differential diagnosis of bone metastases. Nucl. Med. Commun. 2021, 42, 63–67. [Google Scholar] [CrossRef]
- Gherghe, M.; Mutuleanu, M.D.; Stanciu, A.E.; Irimescu, I.; Lazar, A.M.; Toma, R.V.; Trifanescu, O.G.; Anghel, R.M. Quantitative assessment of treatment response in metastatic breast cancer patients by SPECT-CT bone imaging-getting closer to PET-CT. Cancers 2023, 15, 696. [Google Scholar] [CrossRef]
- Rosenthal, M.S.; Cullom, J.; Hawkins, W.; Moore, S.C.; Tsui, B.M.; Yester, M. Quantitative SPECT imaging: A review and recommendations by the Focus Committee of the Society of Nuclear Medicine Computer and Instrumentation Council. J. Nucl. Med. 1995, 36, 1489–1513. [Google Scholar]
- Lee, K.; Kim, H.; Kim, Y.I.; Park, B.; Shim, W.H.; Oh, J.S.; Hong, S.; Kim, Y.G.; Ryu, J.S. Preliminary study for quantitative assessment of sacroiliitis activity using bone SPECT/CT: Comparison of diagnostic performance of quantitative parameters. Nucl. Med. Mol. Imaging 2022, 56, 282–290. [Google Scholar] [CrossRef] [PubMed]
- Wang, J.; Chen, Y.; Chu, H.; Pang, Z.; Hsu, B.; Li, J. Feasibility of myocardial blood flow quantification to detect flow-limited coronary artery disease with a one-day rest/stress continuous rapid imaging protocol on cardiac-dedicated cadmium zinc telluride single photon emission computed tomography. J. Nucl. Cardiol. 2024, 34, 101825. [Google Scholar] [CrossRef]
- Bordonne, M.; Chawki, M.B.; Marie, P.Y.; Zaragori, T.; Roch, V.; Grignon, R.; Imbert, L.; Verger, A. High-quality brain perfusion SPECT images may be achieved with a high-speed recording using 360° CZT camera. EJNMMI Phys. 2020, 7, 65. [Google Scholar] [CrossRef]
- Filippi, L.; Schillaci, O. SPECT/CT with a hybrid camera: A new imaging modality for the functional anatomical mapping of infections. Expert Rev. Med. Devices 2006, 3, 699–703. [Google Scholar] [CrossRef] [PubMed]
- Park, S.B.; Lim, C.H.; Chun, D.I.; Kim, Y.J.; Kim, T.H.; Park, J.M. The usefulness of quantitative 99mTc-HMPAO WBC SPECT/CT for predicting lower extremity amputation in diabetic foot infection. Sci. Rep. 2024, 14, 9260. [Google Scholar] [CrossRef]
- Ochoa-Figueroa, M.; Borbely, K.; Hasselqvist, D.; Askling, F.; Lööw, T.; Aljabery, F.; Sanchez-Rodriguez, V. 3D dynamic diuretic renal scintigraphy using a hybrid whole body CZT SPECT/CT camera protocol in the evaluation of acute ureteric obstruction caused by ureteric stone. EJNMMI Rep. 2024, 8, 27. [Google Scholar] [CrossRef]
- Mena, E.; Lindenberg, L.; Choyke, P.L. Update on PSMA-based prostate cancer imaging. Semin. Nucl. Med. 2024, 54, 941–950. [Google Scholar] [CrossRef] [PubMed]
- Özman, O.; Veerman, H.; Contieri, R.; Droghetti, M.; Donswijk, M.L.; Hagens, M.J.; Van Leeuwen, P.J.; Vis, A.N.; van der Poel, H.G. Staging accuracy and prognostic value of prostate-specific membrane antigen PET/CT strongly depends on lymph node tumor burden. J. Clin. Med. 2024, 13, 6534. [Google Scholar] [CrossRef]
- Ortolan, N.; Urso, L.; Zamberlan, I.; Filippi, L.; Buffi, N.M.; Cittanti, C.; Uccelli, L.; Bartolomei, M.; Evangelista, L. Is there a role for FAPI PET in urological cancers? Mol. Diagn. Ther. 2024, 28, 721–725. [Google Scholar] [CrossRef]
- Willowson, K.P.; Bailey, D.L. Evolving SPECT-CT technology. Br. J. Radiol. 2024; online ahead of print. [Google Scholar] [CrossRef]
- Carvalho, G.; Marin, J.F.; Garcez, A.T.; Duarte, P.S.; Sapienza, M.T.; Buchpiguel, C.A. SUV normalized by skeletal volume on 18F-fluoride PET/CT studies. Clin. Nucl. Med. 2016, 41, 529–533. [Google Scholar] [CrossRef]
- Lee, J.W.; Park, Y.J.; Jeon, Y.S.; Kim, K.H.; Lee, J.E.; Hong, S.H.; Lee, S.M.; Jang, S.J. Clinical value of dual-phase F-18 sodium fluoride PET/CT for diagnosing bone metastasis in cancer patients with solitary bone lesion. Quant. Imaging Med. Surg. 2020, 10, 2098–2111. [Google Scholar] [CrossRef] [PubMed]




| Characteristics | Total Patients (n = 82) | Patients with Bone Metastasis (n = 31) | Patients with No Bone Metastasis (n = 51) | p-Value |
|---|---|---|---|---|
| Age (years) * | 75 (49–87) | 75 (49–86) | 73 (57–87) | 0.198 |
| Serum PSA (ng/mL) * | 36.7 (2.3–5000.0) | 148.0 (2.8–5000.0) | 18.8 (2.3–246.0) | <0.001 |
| Gleason grade group | 0.005 | |||
| Group 1 | 3 (3.7%) | 0 (0.0%) | 3 (5.9%) | |
| Group 2 | 10 (12.2%) | 1 (3.2%) | 9 (17.6%) | |
| Group 3 | 8 (9.8%) | 0 (0.0%) | 8 (15.7%) | |
| Group 4 | 27 (32.9%) | 11 (35.5%) | 16 (31.4%) | |
| Group 5 | 34 (41.5%) | 19 (61.3%) | 15 (29.4%) | |
| T stage | <0.001 | |||
| T2 | 28 (34.1%) | 2 (6.5%) | 26 (51.0%) | |
| T3 | 34 (41.5%) | 16 (51.6%) | 18 (35.3%) | |
| T4 | 20 (24.4%) | 13 (41.9%) | 7 (13.7%) | |
| N stage | <0.001 | |||
| N0 | 58 (70.7%) | 14 (45.2%) | 44 (86.3%) | |
| N1 | 24 (29.3%) | 17 (54.8%) | 7 (13.7%) | |
| M stage | <0.001 | |||
| M0 | 47 (57.3%) | 0 (0.0%) | 47 (92.2%) | |
| M1 | 35 (42.7%) | 31 (100.0%) | 4 (7.8%) | |
| TNM stage | <0.001 | |||
| Stage II | 16 (19.5%) | 0 (0.0%) | 16 (31.4%) | |
| Stage III | 26 (31.7%) | 0 (0.0%) | 26 (51.0%) | |
| Stage IV | 40 (48.8%) | 31 (100.0%) | 9 (17.6%) |
| Normal Bone Sites | Total Patients (n = 82) | Patients with Bone Metastasis (n = 31) | Patients with No Bone Metastasis (n = 51) | p-Value |
|---|---|---|---|---|
| SUVmax | ||||
| Skull | 1.29 (0.56–2.60) | 1.09 (0.65–2.60) | 1.32 (0.56–2.39) | 0.464 |
| Humerus | 1.99 (0.85–4.00) | 2.11 (0.85–4.00) | 1.90 (0.99–3.25) | 0.403 |
| Thoracic spine | 3.26 (1.35–5.99) 1 | 3.58 (1.95–5.70) 4 | 3.10 (1.35–5.99) | 0.038 |
| Lumbar spine | 3.06 (1.32–6.12) 2 | 3.41 (1.32–6.12) 5 | 2.76 (1.78–5.57) | 0.006 |
| Iliac bone | 2.78 (1.16–5.60) 3 | 3.38 (1.43–5.60) 6 | 2.65 (1.16–5.07) | 0.022 |
| Femur | 1.88 (1.02–3.59) | 1.85 (1.02–3.16) | 1.91 (1.03–3.59) | 0.928 |
| SUVmean | ||||
| Skull | 1.16 (0.52–2.43) | 1.08 (0.54–2.43) | 1.21 (0.52–2.09) | 0.488 |
| Humerus | 1.30 (0.58–2.92) | 1.40 (0.61–2.92) | 1.29 (0.58–2.37) | 0.556 |
| Thoracic spine | 2.68 (1.03–5.37) 1 | 3.00 (1.57–4.61) 4 | 2.56 (1.03–5.37) | 0.058 |
| Lumbar spine | 2.44 (1.20–4.98) 2 | 2.68 (1.20–4.98) 5 | 2.26 (1.33–4.39) | 0.018 |
| Iliac bone | 2.18 (0.86–4.50) 3 | 2.43 (0.92–4.23) 6 | 2.08 (0.86–4.50) | 0.063 |
| Femur | 1.29 (0.65–2.29) | 1.11 (0.65–2.29) | 1.38 (0.68–2.14) | 0.657 |
| Parameters | Metastatic Bone Lesions | Degenerative Changes | Post-Traumatic Lesions | Normal Bone Sites | p-Value |
|---|---|---|---|---|---|
| SUVmax | 13.05 (9.48–17.67) | 7.40 (6.55–8.90) | 7.48 (5.48–15.22) | 2.33 (1.66–3.10) | <0.001 |
| Lesion-to-skull maximum uptake ratio | 11.67 (8.13–18.89) | 6.20 (4.51–8.54) | 6.47 (4.19–10.73) | 1.71 (1.18–2.42) | <0.001 |
| Lesion-to-skull mean uptake ratio | 13.23 (9.35–20.90) | 7.32 (5.04–9.99) | 7.46 (4.89–11.89) | 1.93 (1.32–2.74) | <0.001 |
| Lesion-to-humerus maximum uptake ratio | 6.62 (4.76–11.03) | 3.86 (2.90–5.43) | 3.84 (2.16–6.21) | 1.02 (0.91–1.48) | <0.001 |
| Lesion-to-humerus mean uptake ratio | 10.15 (6.23–15.12) | 5.56 (4.52–8.40) | 5.68 (3.15–9.69) | 1.67 (1.32–2.21) | <0.001 |
| Lesion-to-femur maximum uptake ratio | 7.95 (5.21–11.59) | 4.06 (3.19–5.35) | 4.19 (2.57–6.94) | 1.04 (0.94–1.53) | <0.001 |
| Lesion-to-femur mean uptake ratio | 12.29 (8.57–18.12) | 6.10 (4.68–8.13) | 6.31 (3.76–10.97) | 1.65 (1.34–2.38) | <0.001 |
| Parameters | AUC (95% CI) | Cut-Off Value | Sensitivity (95% CI) (%) | Specificity (95% CI) (%) |
|---|---|---|---|---|
| SUVmax | 0.949 (0.935–0.962) | 5.11 | 98.3 (96.8–99.3) | 79.5 (76.0–82.6) |
| Lesion-to-skull maximum uptake ratio | 0.943 (0.928–0.956) | 4.96 | 92.1 (89.3–94.4) | 83.9 (80.7–86.7) |
| Lesion-to-skull mean uptake ratio | 0.945 (0.930–0.958) | 5.92 | 91.9 (89.1–94.2) | 85.4 (82.3–88.1) |
| Lesion-to-humerus maximum uptake ratio | 0.943 (0.927–0.956) | 3.46 | 91.7 (88.9–94.0) | 85.9 (82.9–88.5) |
| Lesion-to-humerus mean uptake ratio | 0.873 (0.852–0.892) | 5.09 | 82.8 (79.1–86.0) | 85.7 (82.7–88.4) |
| Lesion-to-femur maximum uptake ratio | 0.950 (0.935–0.962) | 3.51 | 92.7 (90.0–94.9) | 85.1 (82.0–87.8) |
| Lesion-to-femur mean uptake ratio | 0.955 (0.942–0.967) | 5.38 | 94.8 (92.4–96.6) | 86.5 (83.6–89.1) |
| Parameters | AUC (95% CI) | Cut-Off Value | Sensitivity (%) | Specificity (%) |
|---|---|---|---|---|
| SUVmax | 0.775 (0.740–0.807) | 8.96 | 79.5 (75.6–83.0) | 71.2 (62.7–78.8) |
| Lesion-to-skull maximum uptake ratio | 0.774 (0.739–0.806) | 9.46 | 64.5 (60.1–68.8) | 79.5 (71.7–86.6) |
| Lesion-to-skull mean uptake ratio | 0.781 (0.746–0.813) | 10.58 | 67.0 (62.6–71.2) | 78.0 (70.0–84.8) |
| Lesion-to-humerus maximum uptake ratio | 0.767 (0.731–0.800) | 4.77 | 74.9 (70.8–78.7) | 65.2 (56.4–73.2) |
| Lesion-to-humerus mean uptake ratio | 0.699 (0.661–0.736) | 9.69 | 53.1 (48.5–57.6) | 81.8 (74.2–88.0) |
| Lesion-to-femur maximum uptake ratio | 0.790 (0.755–0.821) | 4.46 | 83.2 (79.6–86.4) | 61.4 (52.5–69.7) |
| Lesion-to-femur mean uptake ratio | 0.813 (0.780–0.843) | 7.89 | 80.1 (76.2–83.6) | 67.4 (58.7–75.3) |
Disclaimer/Publisher’s Note: The statements, opinions and data contained in all publications are solely those of the individual author(s) and contributor(s) and not of MDPI and/or the editor(s). MDPI and/or the editor(s) disclaim responsibility for any injury to people or property resulting from any ideas, methods, instructions or products referred to in the content. |
© 2024 by the authors. Licensee MDPI, Basel, Switzerland. This article is an open access article distributed under the terms and conditions of the Creative Commons Attribution (CC BY) license (https://creativecommons.org/licenses/by/4.0/).
Share and Cite
Yoo, I.D.; Hong, S.-p.; Lee, S.M.; Yang, H.J.; Kim, K.H.; Kim, S.H.; Lee, J.W. Diagnostic Ability of Quantitative Parameters of Whole-Body Bone SPECT/CT Using a Full-Ring 360° Cadmium-Zinc-Telluride Camera for Detecting Bone Metastasis in Patients with Prostate Cancer. Diagnostics 2024, 14, 2714. https://doi.org/10.3390/diagnostics14232714
Yoo ID, Hong S-p, Lee SM, Yang HJ, Kim KH, Kim SH, Lee JW. Diagnostic Ability of Quantitative Parameters of Whole-Body Bone SPECT/CT Using a Full-Ring 360° Cadmium-Zinc-Telluride Camera for Detecting Bone Metastasis in Patients with Prostate Cancer. Diagnostics. 2024; 14(23):2714. https://doi.org/10.3390/diagnostics14232714
Chicago/Turabian StyleYoo, Ik Dong, Sun-pyo Hong, Sang Mi Lee, Hee Jo Yang, Ki Hong Kim, Si Hyun Kim, and Jeong Won Lee. 2024. "Diagnostic Ability of Quantitative Parameters of Whole-Body Bone SPECT/CT Using a Full-Ring 360° Cadmium-Zinc-Telluride Camera for Detecting Bone Metastasis in Patients with Prostate Cancer" Diagnostics 14, no. 23: 2714. https://doi.org/10.3390/diagnostics14232714
APA StyleYoo, I. D., Hong, S.-p., Lee, S. M., Yang, H. J., Kim, K. H., Kim, S. H., & Lee, J. W. (2024). Diagnostic Ability of Quantitative Parameters of Whole-Body Bone SPECT/CT Using a Full-Ring 360° Cadmium-Zinc-Telluride Camera for Detecting Bone Metastasis in Patients with Prostate Cancer. Diagnostics, 14(23), 2714. https://doi.org/10.3390/diagnostics14232714

