SMOTE-Based Automated PCOS Prediction Using Lightweight Deep Learning Models
Abstract
1. Introduction
2. Related Works
2.1. Motivation
2.2. Our Contributions
- Multiple approaches are used to preprocess a highly unbalanced dataset in order to make it suitable for high-performance deep learning models.
- Instead of manually built methodologies, automatic feature extraction models based on LSTM and a customized 1D CNN are proposed.
- To enhance PCOS prediction accuracy, three separate and simple yet effective deep learning models are built, applied, and analyzed.
- To highlight the superiority of the proposed DL model, several existing PCOS detection methods are contrasted with this rendition.
3. Materials and Methods
3.1. Convolutional Neural Networks
3.2. LSTM
3.3. SMOTE
3.4. DeLong Test
4. Proposed Methodology
4.1. Dataset Description
4.2. Preprocessing
4.3. Proposed Models
- Null removal.
- Feature selection (Pearson correlation).
- Cleaning (box plot).
- Normalization (standard normalization).
- Train the LSTM model.
- Train the CNN model.
- Train the stacked LSTM, CNN model.
5. Performance Analysis
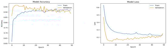
5.1. Simulation Results
5.2. Comparison Analysis
5.3. Discussion
6. Conclusions
Author Contributions
Funding
Institutional Review Board Statement
Informed Consent Statement
Data Availability Statement
Conflicts of Interest
References
- Hosseini, A.; Eshraghi, M.A.; Taami, T.; Sadeghsalehi, H.; Hoseinzadeh, Z.; Ghaderzadeh, M.; Rafiee, M. A Mobile Application Based on Efficient Lightweight CNN Model for Classification of B-ALL Cancer from Non-Cancerous Cells: A Design and Implementation Study. Inform. Med. Unlocked 2023, 39, 101244. [Google Scholar] [CrossRef]
- Escobar-Morreale, H.F. Polycystic ovary syndrome: Definition, aetiology, diagnosis and treatment. Nat. Rev. Endocrinol. 2018, 14, 270–284. [Google Scholar] [CrossRef] [PubMed]
- Meier, R.K. Polycystic Ovary Syndrome. Nurs. Clin. N. Am. 2018, 53, 407–420. [Google Scholar] [CrossRef] [PubMed]
- Teede, H.J.; Misso, M.L.; Costello, M.F.; Dokras, A.; Laven, J.; Moran, L.; Piltonen, T.; Norman, R.J. Recommendations from the international evidence-based guideline for the assessment and management of polycystic ovary syndrome. Hum. Reprod. 2018, 33, 1602–1618. [Google Scholar] [CrossRef]
- Louwers, Y.V.; Laven, J.S.E. Characteristics of polycystic ovary syndrome throughout life. Ther. Adv. Reprod. Health 2020, 14, 2633494120911038. [Google Scholar] [CrossRef]
- Azziz, R.; Carmina, E.; Chen, Z.; Dunaif, A.; Laven, J.S.; Legro, R.S.; Lizneva, D.; Natterson-Horowtiz, B.; Teede, H.J.; Yildiz, B.O. Polycystic ovary syndrome. Nat. Rev. Dis. Primers 2016, 2, 1–18. [Google Scholar] [CrossRef]
- Barber, T.M.; Franks, S. Obesity and polycystic ovary syndrome. Clin. Endocrinol. 2021, 95, 531–541. [Google Scholar] [CrossRef]
- Woźniak, M.; Krajewski, R.; Makuch, S.; Agrawal, S. Phytochemicals in gynecological cancer prevention. Int. J. Mol. Sci. 2021, 22, 1219. [Google Scholar] [CrossRef]
- Prapty, A.S.; Shitu, T.T. An Efficient Decision Tree Establishment and Performance Analysis with Different Machine Learning Approaches on Polycystic Ovary Syndrome. In Proceedings of the ICCIT 2020—23rd International Conference on Computer and Information Technology, DHAKA, Bangladesh, 19–21 December 2020. [Google Scholar] [CrossRef]
- Karimzadeh, M.A.; Javedani, M. An assessment of lifestyle modification versus medical treatment with clomiphene citrate, metformin, and clomiphene citrate-metformin in patients with polycystic ovary syndrome. Fertil. Steril. 2010, 94, 216–220. [Google Scholar] [CrossRef]
- Almenning, I.; Rieber-Mohn, A.; Lundgren, K.M.; Løvvik, T.S.; Garnæs, K.K.; Moholdt, T. Effects of high intensity interval training and strength training on metabolic, cardiovascular and hormonal outcomes in women with polycystic ovary syndrome: A pilot study. PLoS ONE 2015, 10, e0138793. [Google Scholar] [CrossRef]
- Chizen, D.R.; Serrao, S.; Rooke, J.; McBreairty, L.; Pierson, R.; Chilibeck, P.; Zello, G. The ‘pulse’ diet & PCOS. Fertil. Steril. 2014, 102, e267. [Google Scholar] [CrossRef]
- Mehrabani, H.H.; Salehpour, S.; Meyer, B.J.; Tahbaz, F. Beneficial effects of a high-protein, low-glycemic-load hypocaloric diet in overweight and obese women with polycystic ovary syndrome: A randomized controlled intervention study. J. Am. Coll. Nutr. 2012, 31, 117–125. [Google Scholar] [CrossRef]
- Giallauria, F.; Palomba, S.; Maresca, L.; Vuolo, L.; Tafuri, D.; Lombardi, G.; Colao, A.; Vigorito, C.; Orio, F. Exercise training improves autonomic function and inflammatory pattern in women with polycystic ovary syndrome (PCOS). Clin. Endocrinol. 2008, 69, 792–798. [Google Scholar] [CrossRef]
- Saleem, F.; Rizvi, S.W. New Therapeutic Approaches in Obesity and Metabolic Syndrome Associated with Polycystic Ovary Syndrome. Cureus 2017, 9, e1844. [Google Scholar] [CrossRef]
- Ladson, G.; Dodson, W.C.; Sweet, S.D.; Archibong, A.E.; Kunselman, A.R.; Demers, L.M.; Williams, N.I.; Coney, P.; Legro, R.S. The effects of metformin with lifestyle therapy in polycystic ovary syndrome: A randomized double-blind study. Fertil. Steril. 2011, 95, 1059–1066.e7. [Google Scholar] [CrossRef]
- Gambineri, A.; Patton, L.; Vaccina, A.; Cacciari, M.; Morselli-Labate, A.M.; Cavazza, C.; Pagotto, U.; Pasquali, R. Treatment with flutamide, metformin, and their combination added to a hypocaloric diet in overweight-obese women with polycystic ovary syndrome: A randomized, 12-month, placebo-controlled study. J. Clin. Endocrinol. Metab. 2006, 91, 3970–3980. [Google Scholar] [CrossRef] [PubMed]
- Gheisari, M.; Ghaderzadeh, M.; Li, H.; Taami, T.; Fernández-Campusano, C.; Sadeghsalehi, H.; Afzaal Abbasi, A. Mobile Apps for COVID-19 Detection and Diagnosis for Future Pandemic Control: Multidimensional Systematic Review. JMIR mHealth uHealth 2024, 12, e44406. [Google Scholar] [CrossRef]
- Bhosale, S.; Joshi, L.; Shivsharanan, A. PCOS (Polycystic Ovarian Syndrome) Detection Using Deep Learning. Int. Res. J. Mod. Eng. Technol. Sci. 2022, 4, 2582–5208. [Google Scholar]
- Maadi, M.; Khorshidi, H.A.; Aickelin, U. A review on human–ai interaction in machine learning and insights for medical applications. Int. J. Environ. Res. Public Health 2021, 18, 2121. [Google Scholar] [CrossRef]
- Hu, D.; Dong, W.; Lu, X.; Duan, H.; He, K.; Huang, Z. Evidential MACE prediction of acute coronary syndrome using electronic health records. BMC Med. Inform. Decis. Mak. 2019, 19, 9–17. [Google Scholar] [CrossRef]
- Bhardwaj, P.; Tiwari, P. Manoeuvre of Machine Learning Algorithms in Healthcare Sector with Application to Polycystic Ovarian Syndrome Diagnosis. In Proceedings of Academia-Industry Consortium for Data Science; Springer: Singapore, 2022; pp. 71–84. [Google Scholar] [CrossRef]
- Tiwari, S.; Kane, L.; Koundal, D.; Jain, A.; Alhudhaif, A.; Polat, K.; Zaguia, A.; Alenezi, F.; Althubiti, S.A. SPOSDS: A smart Polycystic Ovary Syndrome diagnostic system using machine learning. Expert Syst. Appl. 2022, 203, 117592. [Google Scholar] [CrossRef]
- Mubasher Hassan, M.; Mirza, T. Comparative Analysis of Machine Learning Algorithms in Diagnosis of Polycystic Ovarian Syndrome. Int. J. Comput. Appl. 2020, 175, 42–53. [Google Scholar] [CrossRef]
- Nasim, S.; Almutairi, M.S.; Munir, K.; Raza, A.; Younas, F. A Novel Approach for Polycystic Ovary Syndrome Prediction Using Machine Learning in Bioinformatics. IEEE Access 2022, 10, 97610–97624. [Google Scholar] [CrossRef]
- Tanwar, A.; Jain, A.; Chauhan, A. Accessible Polycystic Ovarian Syndrome Diagnosis Using Machine Learning. In Proceedings of the 2022 3rd International Conference for Emerging Technology (INCET), Belgaum, India, 27–29 May 2022. [Google Scholar] [CrossRef]
- Hdaib, D.; Almajali, N.; Alquran, H.; Mustafa, W.A.; Al-Azzawi, W.; Alkhayyat, A. Detection of Polycystic Ovary Syndrome (PCOS) Using Machine Learning Algorithms. In Proceedings of the 2022 5th International Conference on Engineering Technology and its Applications (IICETA), Al-Najaf, Iraq, 31 May 2022–1 June 2022; pp. 532–536. [Google Scholar] [CrossRef]
- Danaei Mehr, H.; Polat, H. Diagnosis of polycystic ovary syndrome through different machine learning and feature selection techniques. Health Technol. 2022, 12, 137–150. [Google Scholar] [CrossRef]
- Maheswari, K.; Baranidharan, T.; Karthik, S.; Sumathi, T. Modelling of F3I based feature selection approach for PCOS classification and prediction. J. Ambient. Intell. Humaniz. Comput. 2021, 12, 1349–1362. [Google Scholar] [CrossRef]
- Nandipati, S.C.R.; Chew, X.; Wah, K.K. Polycystic Ovarian Syndrome (PCOS) Classification and Feature Selection by Machine Learning Techniques. Appl. Math. Comput. Intell. (AMCI) 2020, 9, 65–74. Available online: https://ejournal.unimap.edu.my/index.php/amci/article/view/151 (accessed on 2 April 2023).
- Xie, N.N.; Wang, F.F.; Zhou, J.; Liu, C.; Qu, F. Establishment and Analysis of a Combined Diagnostic Model of Polycystic Ovary Syndrome with Random Forest and Artificial Neural Network. Biomed. Res. Int. 2020, 2020, 2613091. [Google Scholar] [CrossRef]
- Aggarwal, N.; Shukla, U.; Saxena, G.J.; Kumar, M.; Bafila, A.S.; Singh, S.; Pundir, A. An Improved Technique for Risk Prediction of Polycystic Ovary Syndrome (PCOS) Using Feature Selection and Machine Learning. In Computational Intelligence. Lecture Notes in Electrical Engineering; Springer: Singapore, 2023; pp. 597–606. [Google Scholar] [CrossRef]
- Guleken, Z.; Bulut, H.; Bulut, B.; Paja, W.; Orzechowska, B.; Parlinska-Wojtan, M.; Depciuch, J. Identification of polycystic ovary syndrome from blood serum using hormone levels via Raman spectroscopy and multivariate analysis. Spectrochim. Acta A Mol. Biomol. Spectrosc. 2022, 273, 121029. [Google Scholar] [CrossRef]
- Cahyono, B.; Mubarok, M.S.; Wisesty, U. An Implementation of Convolutional Neural Network on PCO Classification based on Ultrasound Image. In Proceedings of the 2017 5th International Conference on Information and Communication Technology (ICoIC7), Melaka, Malaysia, 17–19 May 2017. [Google Scholar]
- Jeevitha, S.; Priya, N. Identifying and Classifying an Ovarian Cyst using SCBOD (Size and Count-Based Ovarian Detection) Algorithm in Ultrasound Image 799 Original Scientific Paper. Int. J. Electr. Comput. Eng. Syst. 2022, 13, 799–806. [Google Scholar] [CrossRef]
- Gopalakrishnan, C.; Iyapparaja, M. Multilevel thresholding based follicle detection and classification of polycystic ovary syndrome from the ultrasound images using machine learning. Int. J. Syst. Assur. Eng. Manag. 2021, 6, 1–8. [Google Scholar] [CrossRef]
- Khanna, V.V.; Chadaga, K.; Sampathila, N.; Prabhu, S.; Bhandage, V.; Hegde, G.K. A Distinctive Explainable Machine Learning Framework for Detection of Polycystic Ovary Syndrome. Appl. Syst. Innov. 2023, 6, 32. [Google Scholar] [CrossRef]
- Alam Suha, S.; Islam, M.N. Exploring the Dominant Features and Data-driven Detection of Polycystic Ovary Syndrome through Modified Stacking Ensemble Machine Learning Technique. Heliyon 2023, 9, e14518. [Google Scholar] [CrossRef] [PubMed]
- Wang, W.; Zeng, W.; He, S.; Shi, Y.; Chen, X.; Tu, L.; Yang, B.; Xu, J.; Yin, X. A new model for predicting the occurrence of polycystic ovary syndrome: Based on data of tongue and pulse. Digit. Health 2023, 9, 205520762311603. [Google Scholar] [CrossRef] [PubMed]
- Aggarwal, S.; Pandey, K. Early identification of PCOS with commonly known diseases: Obesity, diabetes, high blood pressure and heart disease using machine learning techniques. Expert Syst. Appl. 2023, 217, 119532. [Google Scholar] [CrossRef]
- Joo, J.; Li, W.; Steen, F.F.; Zhu, S.C. Visual persuasion: Inferring communicative intents of images. In Proceedings of the IEEE Computer Society Conference on Computer Vision and Pattern Recognition (CVPR), Columbus, OH, USA, 28 June 2014. [Google Scholar] [CrossRef]
- Pandey, A.; Vishwakarma, D.K. Attention-based Model for Multi-modal sentiment recognition using Text-Image Pairs. In Proceedings of the 2023 4th International Conference on Innovative Trends in Information Technology (ICITIIT), Kottayam, India, 11–12 February 2023; pp. 1–5. [Google Scholar] [CrossRef]
- Pandey, A.; Vishwakarma, D.K. VABDC-Net: A framework for Visual-Caption Sentiment Recognition via spatio-depth visual attention and bi-directional caption processing. Knowl. Based Syst. 2023, 269, 110515. [Google Scholar] [CrossRef]
- Sheikdavood, K.; Ponni Bala, M. Polycystic Ovary Cyst Segmentation Using Adaptive K-means with Reptile Search Algorith. Inf. Technol. Control 2023, 52, 85–99. [Google Scholar] [CrossRef]
- Chitra, P.; Srilatha, K.; Sumathi, M.; Jayasudha, F.V.; Bernatin, T.; Jagadeesh, M. Classification of Ultrasound PCOS Image using Deep Learning based Hybrid Models. In Proceedings of the 2023 Second International Conference on Electronics and Renewable Systems (ICEARS), Tuticorin, India, 2–4 March 2023; pp. 1389–1394. [Google Scholar] [CrossRef]
- Elreedy, D.; Atiya, A.F. A comprehensive analysis of synthetic minority oversampling technique (SMOTE) for handling class imbalance. Inf. Sci. 2019, 505, 32–64. [Google Scholar] [CrossRef]
- Zigarelli, A.; Jia, Z.; Lee, H. Machine-Aided Self-diagnostic Prediction Models for Polycystic Ovary Syndrome: Observational Study. JMIR Form. Res. 2022, 6, e29967. [Google Scholar] [CrossRef]
- Bharati, S.; Podder, P.; Mondal, M.; Surya Prasath, V.B.; Gandhi, N. Ensemble Learning for Data-Driven Diagnosis of Polycystic Ovary Syndrome. In Proceedings of the International Conference on Intelligent Systems Design and Applications, Online, 12–14 December 2021; Springer: Cham, Switzerland, 2022; pp. 71–84. [Google Scholar]
- Denny, A.; Raj, A.; Ashok, A.; Ram, C.M.; George, R. i-HOPE: Detection And Prediction System For Polycystic Ovary Syndrome (PCOS) Using Machine Learning Techniques. In Proceedings of the TENCON 2019—2019 IEEE Region 10 Conference (TENCON), Kochi, India, 17–20 October 2019; pp. 673–678. [Google Scholar]
- Kottarathil, P. Polycystic Ovary Syndrome (PCOS). Available online: https://www.kaggle.com/datasets/prasoonkottarathil/polycystic-ovary-syndrome-pcos (accessed on 4 October 2023).
- Neto, C.; Silva, M.; Fernandes, M.; Ferreira, D.; Machado, J. Prediction models for Polycystic Ovary Syndrome using data mining. In Proceedings of the International Conference on Advances in Digital Science, Salvador, Brazil, 19–21 February 2021; Springer: Cham, Switzerland, 2021; pp. 210–221. [Google Scholar]
- Faris, N.N.; Miften, F.S. Detection of PCOS Based on Genetic Algorithm Coupled with SVM. J. Educ. Pure Sci. Univ. Thi-Qar 2022, 12, 73–84. [Google Scholar] [CrossRef]
- Bharati, S.; Podder, P.; Mondal, M.R.H. Diagnosis of polycystic ovary syndrome using machine learning algorithms. In Proceedings of the 2020 IEEE Region 10 Symposium (TENSYMP), Dhaka, Bangladesh, 5–7 June 2020; pp. 1486–1489. [Google Scholar]
- Alshakrani, S.; Hilal, S.; Zeki, A.M. Hybrid machine learning algorithms for polycystic ovary syndrome detection. In Proceedings of the 2022 International Conference on Data Analytics for Business and Industry (ICDABI), Sakhir, Bahrain, 25–26 October 2022; pp. 160–164. [Google Scholar]









| Different Abbreviations | |
|---|---|
| PCOS | Polycystic Ovarian Syndrome |
| SMOTE | Synthetic Minority Over-Sampling |
| CNN | Convolutional Neural Network |
| LSTM | Long Short-Term Memory |
| SCBOD | Size and Count-Based Ovarian Detection |
| KNN | k-Nearest Neighbors |
| SVM | Support Vector Machine |
| ReLu | Rectified Linear Unit |
| RNN | Recurrent Neural Network |
| AUC | Area Under the ROC Curve |
| ROC | Receiver Operating Characteristic Curve |
| Author(s) | Methodology | ML Approach | Key Findings/Contributions |
|---|---|---|---|
| Ref. [1] Azamossadat Hosseini, 2023 | Comparative analysis | Segmentation with K-means clustering deep CNN | The model achieved 100% accuracy, sensitivity, and specificity in classifying B-ALL cases, leading to the development of a mobile application for real-time screening. |
| Ref. [18] Mehdi Gheisari, 2024 | Systematic review of studies using PRISMA protocol | AI-based diagnosis using deep learning techniques | The CNN outperformed other AI techniques in processing healthcare data, making mobile apps a crucial tool for early COVID-19 detection and future pandemic management with AI and advanced technologies. |
| Ref. [19] Shubham Bhosale, 2022 | Noise reduction and segmentation techniques | Deep convolutional neural networks (DCNNs) | A DCNN was applied to improve cyst diagnosis accuracy by reducing noise, extracting the region of interest, and enabling the early detection of PCOS-related anomalies to prevent infertility. |
| Ref. [24] MM Hassan, 2020 | Comparative analysis | Random forest algorithm | This involved the use of a random forest algorithm used in the diagnosis of PCOS, with an accuracy of 96%. |
| Ref. [25] Dana Hdaib, 2022 | Comprehensive comparative analysis | K-nearest neighbors | The study presented a milestone for building a completed CAD system for the problem. |
| Ref. [31] Ning-Ning Xie, 2020 | An integrated Machine learning methodology | Random forest and artificial neural network | The model demonstrated improved predictive accuracy in microarray data compared to the use of conventional marker genes. |
| Ref. [33] Zozan Guleken, 2022 | Raman spectroscopy and multivariate analysis | Principal component analysis (PCA) | The findings indicated that the lipid and protein equilibrium could serve as a valuable indicator for PCOS in Raman spectra. |
| Ref. [34] Beny Cahyono, 2017 | Automated analysis of ultrasound | Deep convolutional neural network | This gave a solution that incorporated automated feature extraction using a convolutional neural network. |
| Ref. [45] P. Chitra, 2023 | Transfer learning with hybrid models | ResNet-50 and VGG-16 | The study introduced a combined model approach to improve training and precision, resulting in a 93% accuracy on the test dataset for predicting PCOS. |
| Ref. [46] Elreedy, D. 2019 | Theoretical Analysis | SMOTE augmentaion, K-nearest neighbors | SMOTE generates synthetic samples along K-nearest neighbors to effectively balance datasets. The study that factors like data dimension and the number of neighbors influence accuracy and classification boundaries. |
| Ref. [47] Angela Zigarelli, 2022 | Principal component analysis | CatBoost classification | The prospective study suggested that the self-diagnostic prediction models for PCOS status could function as a convenient and easily accessible digital platform utilizing existing health metrics, benefiting both prospective patients and healthcare providers. |
| Ref. [48] S Bharati, 2022 | A data-driven approach | Ensemble learning | This study considered the use of data-driven methods in diagnosing PCOS illness in women. |
| Ref. [49] Amsy Denny, 2019 | Comprehensive comparative analysis | Random forest classifier | The model achieved 89.02% accuracy in PCOS diagnosis using a RFC. |
| Hyperparameters for Proposed Model | |
|---|---|
| Filters | 8 |
| Kernel Size | 4 |
| Activation Function | Tanh, Sigmoid |
| Loss Function | Binary cross-entropy |
| Learning Rate | 0.01 |
| Optimizer | Adam |
| Epochs | 50 |
| Batch Size | 32 |
| Number of Neurons in Dense Layer | 1 |
| Proposed Models | Accuracy | Precision | Recall | F1-Score | AUC | |
|---|---|---|---|---|---|---|
| Model-1 | SMOTE + LSTM | 92.04% | 93.13% | 92.04% | 91.99% | 92.0% |
| Model-2 | SMOTE + CNN | 96.59% | 96.60% | 96.59% | 96.59% | 96.60% |
| Model-3 | SMOTE + CNN+ LSTM | 94.31% | 94.89% | 94.31% | 94.30% | 94.3% |
| Model | Parameters | RAM (GB) | GPU (GB) | Time (Seconds) |
|---|---|---|---|---|
| SMOTE + LSTM | 6689 | 12.7 | 15 | 67.27 |
| SMOTE + CNN | 297 | 12.7 | 15 | 10.02 |
| SMOTE+ CNN+ LSTM | 13285 | 12.7 | 15 | 18.51 |
| Combinations | Model | Model | p-Value |
|---|---|---|---|
| 1 | SMOTE + LSTM | SMOTE+ CNN+ LSTM | 0.05 |
| 2 | SMOTE + CNN | SMOTE + LSTM | 0.038 |
| 3 | SMOTE+ CNN+ LSTM | SMOTE + CNN | 0.043 |
| Model | Accuracy | Precision | Recall | F1-Score | AUC |
|---|---|---|---|---|---|
| Proposed | 96.59 | 96.60 | 96.59 | 96.59 | 96.60 |
| Ref. [23] | 93.25 | 94.0 | 93.25 | 93.42 | - |
| Ref. [27] | 92.6 | 97.6 | 92.2 | - | - |
| Ref. [30] | 93.12 | 93.12 | 93.12 | - | - |
| Ref. [47] | 90.1 | 95.0 | 90.9 | 92.8 | - |
| Ref. [48] | 91.12 | - | - | - | 92.0 |
| Ref. [51] | 95 | 96 | 94 | - | - |
| Ref. [52] | 90 | 92 | 75.7 | 83 | - |
| Ref. [49] | 89.02 | 95.83 | 74.19 | 41.82 | - |
| Ref. [53] | 91.01 | 97.6 | 92.2 | - | 92.9 |
| Ref. [54] | 92.0 | 84.0 | 95.0 | 89.0 | - |
Disclaimer/Publisher’s Note: The statements, opinions and data contained in all publications are solely those of the individual author(s) and contributor(s) and not of MDPI and/or the editor(s). MDPI and/or the editor(s) disclaim responsibility for any injury to people or property resulting from any ideas, methods, instructions or products referred to in the content. |
© 2024 by the authors. Licensee MDPI, Basel, Switzerland. This article is an open access article distributed under the terms and conditions of the Creative Commons Attribution (CC BY) license (https://creativecommons.org/licenses/by/4.0/).
Share and Cite
Ahmad, R.; Maghrabi, L.A.; Khaja, I.A.; Maghrabi, L.A.; Ahmad, M. SMOTE-Based Automated PCOS Prediction Using Lightweight Deep Learning Models. Diagnostics 2024, 14, 2225. https://doi.org/10.3390/diagnostics14192225
Ahmad R, Maghrabi LA, Khaja IA, Maghrabi LA, Ahmad M. SMOTE-Based Automated PCOS Prediction Using Lightweight Deep Learning Models. Diagnostics. 2024; 14(19):2225. https://doi.org/10.3390/diagnostics14192225
Chicago/Turabian StyleAhmad, Rumman, Lamees A. Maghrabi, Ishfaq Ahmad Khaja, Louai A. Maghrabi, and Musheer Ahmad. 2024. "SMOTE-Based Automated PCOS Prediction Using Lightweight Deep Learning Models" Diagnostics 14, no. 19: 2225. https://doi.org/10.3390/diagnostics14192225
APA StyleAhmad, R., Maghrabi, L. A., Khaja, I. A., Maghrabi, L. A., & Ahmad, M. (2024). SMOTE-Based Automated PCOS Prediction Using Lightweight Deep Learning Models. Diagnostics, 14(19), 2225. https://doi.org/10.3390/diagnostics14192225

