EpidermaQuant: Unsupervised Detection and Quantification of Epidermal Differentiation Markers on H-DAB-Stained Images of Reconstructed Human Epidermis
Abstract
1. Introduction
2. Materials and Methods
2.1. Data
2.2. Color Normalization and Deconvolution
2.3. Background Detection and Mask Creation
2.4. Image Rotation and Crop
- The tissue mask (negation of background mask) is used as the input;
- The mask is rotated from 1 to 180 degrees with a step of 0.1 degrees;
- For each rotation position, the sum of pixels in each row of the mask is calculated to create boundary intensity distribution;
- For each rotation position, the maximum value of the boundary intensity distribution is found;
- The final rotation position is the one that maximizes the maximum value of the boundary intensity.
2.5. Elimination of Images without DAB Stain
2.6. DAB Region Segmentation
2.7. EpidermaQuant Framework
3. Results
3.1. Color Normalization and Deconvolution Results
3.2. Background Removal and Image Rotation
3.3. Elimination of Images without DAB Stain Results
3.4. DAB Area Detection
3.5. Comparison of DAB-Staining Levels between Markers
3.6. Validation of Developed Pipeline on Human Protein Atlas Data
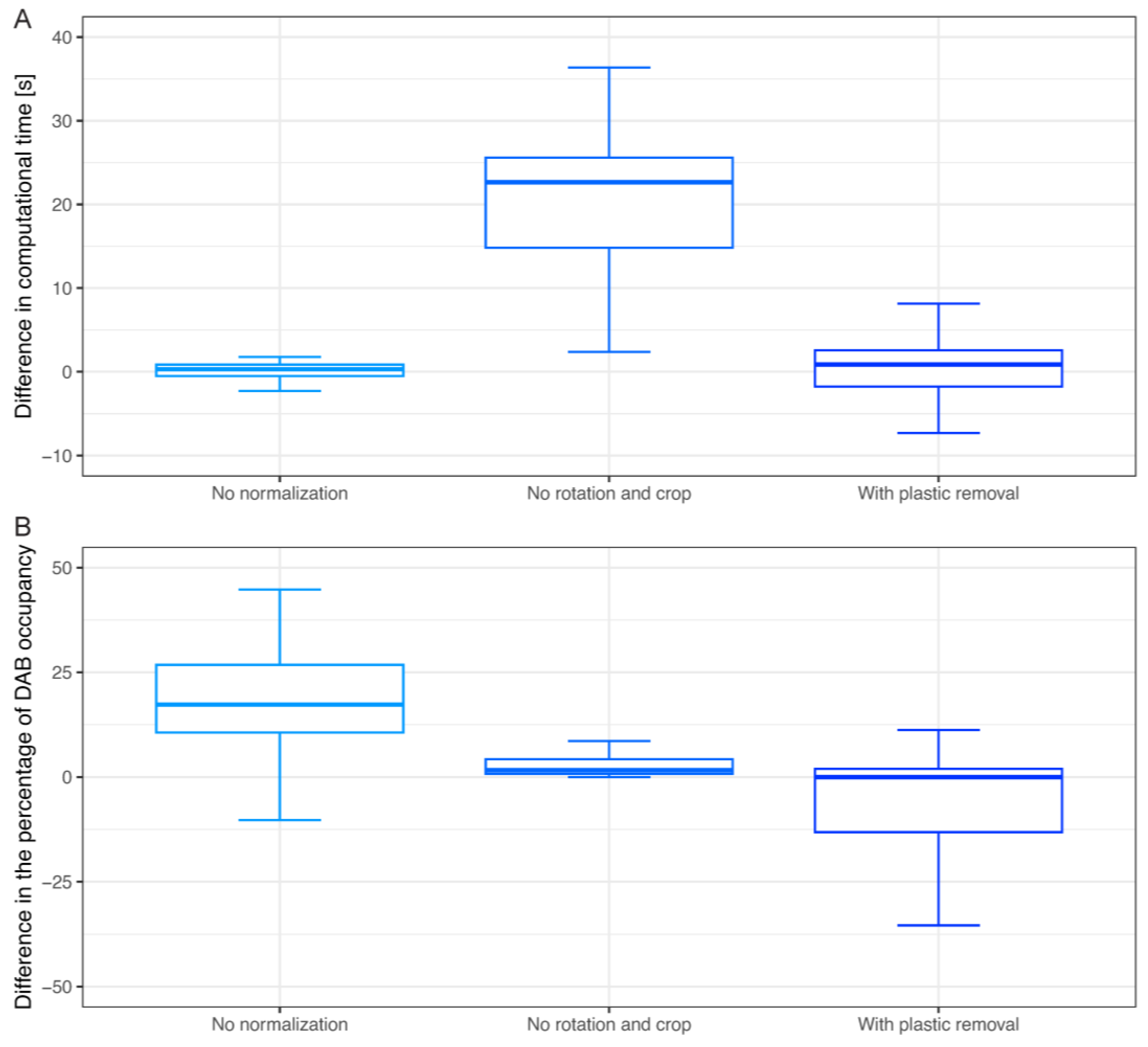
3.7. Ablation Study
4. Discussion
5. Conclusions
Supplementary Materials
Author Contributions
Funding
Institutional Review Board Statement
Informed Consent Statement
Data Availability Statement
Conflicts of Interest
References
- Magaki, S.; Hojat, S.A.; Wei, B.; So, A.; Yong, W.H. An Introduction to the Performance of Immunohistochemistry. Methods Mol. Biol. 2019, 1897, 289–298. [Google Scholar] [CrossRef] [PubMed]
- Jahn, S.W.; Plass, M.; Moinfar, F. Digital Pathology: Advantages, Limitations and Emerging Perspectives. J. Clin. Med. 2020, 9, 3697. [Google Scholar] [CrossRef] [PubMed]
- Gurcan, M.N.; Boucheron, L.E.; Can, A.; Madabhushi, A.; Rajpoot, N.M.; Yener, B. Histopathological Image Analysis: A Review. IEEE Rev. Biomed. Eng. 2009, 2, 147–171. [Google Scholar] [CrossRef] [PubMed]
- Poalelungi, D.G.; Neagu, A.I.; Fulga, A.; Neagu, M.; Tutunaru, D.; Nechita, A.; Fulga, I. Revolutionizing Pathology with Artificial Intelligence: Innovations in Immunohistochemistry. J. Pers. Med. 2024, 14, 693. [Google Scholar] [CrossRef]
- Sorlie, T.; Perou, C.M.; Tibshirani, R.; Aas, T.; Geisler, S.; Johnsen, H.; Hastie, T.; Eisen, M.B.; van de Rijn, M.; Jeffrey, S.S.; et al. Gene expression patterns of breast carcinomas distinguish tumor subclasses with clinical implications. Proc. Natl. Acad. Sci. USA 2001, 98, 10869–10874. [Google Scholar] [CrossRef]
- Holten-Rossing, H.; Talman, M.-L.M.; Kristensson, M.; Vainer, B. Optimizing HER2 assessment in breast cancer: Application of automated image analysis. Breast Cancer Res. Treat. 2015, 152, 367–375. [Google Scholar] [CrossRef]
- Saha, M.; Arun, I.; Ahmed, R.; Chatterjee, S.; Chakraborty, C. HscoreNet: A Deep network for estrogen and progesterone scoring using breast IHC images. Pattern Recognit. 2020, 102, 107200. [Google Scholar] [CrossRef]
- Hartage, R.; Li, A.C.; Hammond, S.; Parwani, A.V. A Validation Study of Human Epidermal Growth Factor Receptor 2 Immunohistochemistry Digital Imaging Analysis and its Correlation with Human Epidermal Growth Factor Receptor 2 Fluorescence In situ Hybridization Results in Breast Carcinoma. J. Pathol. Inform. 2020, 11, 2. [Google Scholar] [CrossRef]
- Shafi, S.; Kellough, D.A.; Lujan, G.; Satturwar, S.; Parwani, A.V.; Li, Z. Integrating and validating automated digital imaging analysis of estrogen receptor immunohistochemistry in a fully digital workflow for clinical use. J. Pathol. Inform. 2022, 13, 100122. [Google Scholar] [CrossRef]
- Abele, N.; Tiemann, K.; Krech, T.; Wellmann, A.; Schaaf, C.; Länger, F.; Peters, A.; Donner, A.; Keil, F.; Daifalla, K.; et al. Noninferiority of Artificial Intelligence-Assisted Analysis of Ki-67 and Estrogen/Progesterone Receptor in Breast Cancer Routine Diagnostics. Mod. Pathol. 2023, 36, 100033. [Google Scholar] [CrossRef]
- Erber, R.; Frey, P.; Keil, F.; Gronewold, M.; Abele, N.; Rezner, W.; Beister, T.; Daifalla, K.; Päpper, M.; Springenberg, S.; et al. 48P An AI System for accurate Ki-67 IHC assessment in breast cancer following the IKWG whole section global scoring protocol. ESMO Open 2023, 8, 101272. [Google Scholar] [CrossRef]
- Kaufmann, O.; Fietze, E.; Mengs, J.; Dietel, M. Value of p63 and cytokeratin 5/6 as immunohistochemical markers for the differential diagnosis of poorly differentiated and undifferentiated carcinomas. Am. J. Clin. Pathol. 2001, 116, 823–830. [Google Scholar] [CrossRef]
- Gandomkar, Z.; Brennan, P.C.; Mello-Thoms, C. MuDeRN: Multi-category classification of breast histopathological image using deep residual networks. Artif. Intell. Med. 2018, 88, 14–24. [Google Scholar] [CrossRef]
- Sandbank, J.; Bataillon, G.; Nudelman, A.; Krasnitsky, I.; Mikulinsky, R.; Bien, L.; Thibault, L.; Shach, A.A.; Sebag, G.; Clark, D.P.; et al. Validation and real-world clinical application of an artificial intelligence algorithm for breast cancer detection in biopsies. NPJ Breast Cancer 2022, 8, 129. [Google Scholar] [CrossRef]
- Roszkowiak, L.; Korzynska, A.; Siemion, K.; Zak, J.; Pijanowska, D.; Bosch, R.; Lejeune, M.; Lopez, C. System for quantitative evaluation of DAB&H-stained breast cancer biopsy digital images (CHISEL). Sci. Rep. 2021, 11, 9291. [Google Scholar] [CrossRef]
- Belsare, A.D. Histopathological Image Analysis Using Image Processing Techniques: An Overview. Signal Image Process. Int. J. 2012, 3, 23–36. [Google Scholar] [CrossRef]
- Patel, S.; Fridovich-Keil, S.; Rasmussen, S.A.; Fridovich-Keil, J.L. DAB-quant: An open-source digital system for quantifying immunohistochemical staining with 3,3′-diaminobenzidine (DAB). PLoS ONE 2022, 17, e0271593. [Google Scholar] [CrossRef]
- Bencze, J.; Szarka, M.; Kóti, B.; Seo, W.; Hortobágyi, T.G.; Bencs, V.; Módis, L.V.; Hortobágyi, T. Comparison of Semi-Quantitative Scoring and Artificial Intelligence Aided Digital Image Analysis of Chromogenic Immunohistochemistry. Biomolecules 2022, 12, 19. [Google Scholar] [CrossRef]
- Sziva, R.E.; Ács, J.; Tőkés, A.-M.; Korsós-Novák, Á.; Nádasy, G.L.; Ács, N.; Horváth, P.G.; Szabó, A.; Ke, H.; Horváth, E.M.; et al. Accurate Quantitative Histomorphometric-Mathematical Image Analysis Methodology of Rodent Testicular Tissue and Its Possible Future Research Perspectives in Andrology and Reproductive Medicine. Life 2022, 12, 189. [Google Scholar] [CrossRef]
- Raza, S.E.A.; AbdulJabbar, K.; Jamal-Hanjani, M.; Veeriah, S.; Le Quesne, J.; Swanton, C.; Yuan, Y. Deconvolving Convolutional Neural Network for Cell Detection. In Proceedings of the 2019 IEEE 16th International Symposium on Biomedical Imaging (ISBI 2019), Venice, Italy, 8–11 April 2019; pp. 891–894. [Google Scholar] [CrossRef]
- Swiderska-Chadaj, Z.; Pinckaers, H.; van Rijthoven, M.; Balkenhol, M.; Melnikova, M.; Geessink, O.; Manson, Q.; Sherman, M.; Polonia, A.; Parry, J.; et al. Learning to detect lymphocytes in immunohistochemistry with deep learning. Med. Image Anal. 2019, 58, 101547. [Google Scholar] [CrossRef]
- Bankhead, P.; Loughrey, M.B.; Fernández, J.A.; Dombrowski, Y.; McArt, D.G.; Dunne, P.D.; McQuaid, S.; Gray, R.T.; Murray, L.J.; Coleman, H.G.; et al. QuPath: Open source software for digital pathology image analysis. Sci. Rep. 2017, 7, 16878. [Google Scholar] [CrossRef] [PubMed]
- Schneider, C.A.; Rasband, W.S.; Eliceiri, K.W. NIH Image to ImageJ: 25 years of image analysis. Nat. Methods 2012, 9, 671–675. [Google Scholar] [CrossRef] [PubMed]
- Gogler-Pigłowska, A.; Klarzyńska, K.; Sojka, D.R.; Habryka, A.; Głowala-Kosińska, M.; Herok, M.; Kryj, M.; Halczok, M.; Krawczyk, Z.; Scieglinska, D. Novel role for the testis-enriched HSPA2 protein in regulating epidermal keratinocyte differentiation. J. Cell. Physiol. 2018, 233, 2629–2644. [Google Scholar] [CrossRef] [PubMed]
- Hewitt, S.M.; Baskin, D.G.; Frevert, C.W.; Stahl, W.L.; Rosa-Molinar, E. Controls for Immunohistochemistry. J. Histochem. Cytochem. 2014, 62, 693–697. [Google Scholar] [CrossRef] [PubMed]
- Khan, A.M.; Rajpoot, N.; Treanor, D.; Magee, D. A Nonlinear Mapping Approach to Stain Normalization in Digital Histopathology Images Using Image-Specific Color Deconvolution. IEEE Trans. Biomed. Eng. 2014, 61, 1729–1738. [Google Scholar] [CrossRef]
- Haub, P.; Meckel, T. A Model based Survey of Colour Deconvolution in Diagnostic Brightfield Microscopy: Error Estimation and Spectral Consideration. Sci. Rep. 2015, 5, 12096. [Google Scholar] [CrossRef]
- Ruifrok, A.C.; Johnston, D.A. Quantification of histochemical staining by color deconvolution. Anal. Quant. Cytol. Histol. 2001, 23, 291–299. [Google Scholar]
- Hassanein, A.S.; Mohammad, S.; Sameer, M.; Ragab, M.E. A Survey on Hough Transform, Theory, Techniques and Applications. arXiv 2015, arXiv:1502.02160. [Google Scholar] [CrossRef]
- Ashabi, A.; Sahibuddin, S.B.; Haghighi, M.S. The Systematic Review of K-Means Clustering Algorithm. In Proceedings of the 2020 The 9th International Conference on Networks, Communication and Computing, Tokyo Japan, 18–20 December 2020; ACM: New York, NY, USA; pp. 13–18. [Google Scholar] [CrossRef]
- Vidhya, S.; Shijitha, M.R. Deep Learning based Approach for Efficient Segmentation and Classification using VGGNet 16 for Tissue Analysis to Predict Colorectal Cancer. Ann. Romanian Soc. Cell Biol. 2021, 25, 4002–4013. [Google Scholar]
- van der Loos, C.M. Multiple Immunoenzyme Staining: Methods and Visualizations for the Observation With Spectral Imaging. J. Histochem. Cytochem. 2008, 56, 313–328. [Google Scholar] [CrossRef]
- Raman, R.; Radha, R.H.; Inbamalar, T.M.; Subhahan, D.A.; Kumar, A.; Bathrinath, S.; Sarkar, S. Penetration of Deep Learning in Human Health Care and Pharmaceutical Industries; the Opportunities and Challenges. In Proceedings of the 2023 3rd International Conference on Innovative Practices in Technology and Management (ICIPTM), Nagar, India, 22–24 February 2023; pp. 1–6. [Google Scholar] [CrossRef]








Disclaimer/Publisher’s Note: The statements, opinions and data contained in all publications are solely those of the individual author(s) and contributor(s) and not of MDPI and/or the editor(s). MDPI and/or the editor(s) disclaim responsibility for any injury to people or property resulting from any ideas, methods, instructions or products referred to in the content. |
© 2024 by the authors. Licensee MDPI, Basel, Switzerland. This article is an open access article distributed under the terms and conditions of the Creative Commons Attribution (CC BY) license (https://creativecommons.org/licenses/by/4.0/).
Share and Cite
Zamojski, D.; Gogler, A.; Scieglinska, D.; Marczyk, M. EpidermaQuant: Unsupervised Detection and Quantification of Epidermal Differentiation Markers on H-DAB-Stained Images of Reconstructed Human Epidermis. Diagnostics 2024, 14, 1904. https://doi.org/10.3390/diagnostics14171904
Zamojski D, Gogler A, Scieglinska D, Marczyk M. EpidermaQuant: Unsupervised Detection and Quantification of Epidermal Differentiation Markers on H-DAB-Stained Images of Reconstructed Human Epidermis. Diagnostics. 2024; 14(17):1904. https://doi.org/10.3390/diagnostics14171904
Chicago/Turabian StyleZamojski, Dawid, Agnieszka Gogler, Dorota Scieglinska, and Michal Marczyk. 2024. "EpidermaQuant: Unsupervised Detection and Quantification of Epidermal Differentiation Markers on H-DAB-Stained Images of Reconstructed Human Epidermis" Diagnostics 14, no. 17: 1904. https://doi.org/10.3390/diagnostics14171904
APA StyleZamojski, D., Gogler, A., Scieglinska, D., & Marczyk, M. (2024). EpidermaQuant: Unsupervised Detection and Quantification of Epidermal Differentiation Markers on H-DAB-Stained Images of Reconstructed Human Epidermis. Diagnostics, 14(17), 1904. https://doi.org/10.3390/diagnostics14171904

