The Effect of Therapeutic Hypothermia on Ischemic Brain Injury in a Rat Model of Cardiac Arrest: An Assessment Using 18F-FDG PET
Abstract
1. Introduction
2. Methods
2.1. Animal Care
2.2. Experimental Design
2.3. Induction of the Cardiac Arrest Rat Model
2.4. Therapeutic Hypothermia
2.5. 18F-FDG Brain PET Imaging
2.6. Region-Based and Voxel-Based Image Analysis
2.7. Morris Water Maze Test
2.8. Statistical Analyses
3. Results
3.1. Course of the CA Rat Model
3.2. Distribution of Regional 18F-FDG Uptake in Survived and Non-Survived Rats
3.3. Distribution of Regional 18F-FDG Uptake According to the Application of TH
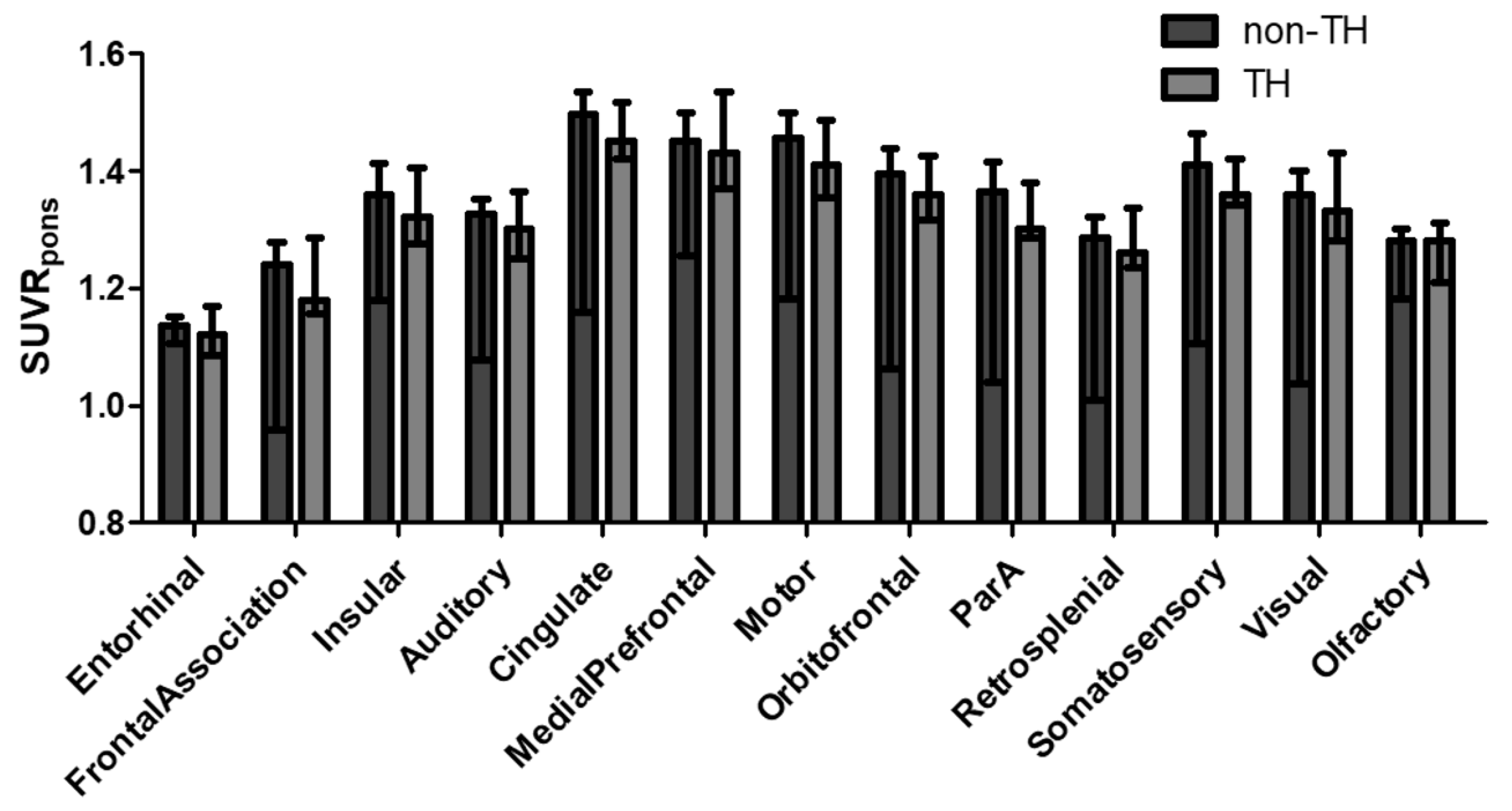
3.3.1. Total Group Analysis
3.3.2. Subgroup Analysis: Survived Group
3.3.3. Subgroup Analysis: Non-Survived Group
4. Discussion
5. Conclusions
Supplementary Materials
Author Contributions
Funding
Institutional Review Board Statement
Informed Consent Statement
Data Availability Statement
Conflicts of Interest
Abbreviations
References
- Bernard, S.A.; Gray, T.W.; Buist, M.D.; Jones, B.M.; Silvester, W.; Gutteridge, G.; Smith, K. Treatment of comatose survivors of out-of-hospital cardiac arrest with induced hypothermia. N. Engl. J. Med. 2002, 346, 557–563. [Google Scholar] [CrossRef] [PubMed]
- Hypothermia after Cardiac Arrest Study Group. Mild therapeutic hypothermia to improve the neurologic outcome after cardiac arrest. N. Engl. J. Med. 2002, 346, 549–556. [Google Scholar] [CrossRef] [PubMed]
- Field, J.M.; Hazinski, M.F.; Sayre, M.R.; Chameides, L.; Schexnayder, S.M.; Hemphill, R.; Samson, R.A.; Kattwinkel, J.; Berg, R.A.; Bhanji, F.; et al. Part 1: Executive Summary: 2010 American Heart Association guidelines for cardiopulmonary resuscitation and emergency cardiovascular care. Circulation 2010, 122, S640–S656. [Google Scholar] [CrossRef]
- Kim, Y.-M.; Jeung, K.W.; Kim, W.Y.; Park, Y.S.; Oh, J.S.; You, Y.H.; Lee, D.H.; Chae, M.K.; Jeong, Y.J.; Kim, M.C.; et al. 2020 Korean Guidelines for Cardiopulmonary Resuscitation. Part 5. Post-cardiac arrest care. Clin. Exp. Emerg. Med. 2021, 8, S41–S64. [Google Scholar] [CrossRef] [PubMed]
- Sekhon, M.S.; Ainslie, P.N.; Griesdale, D.E. Clinical pathophysiology of hypoxic ischemic brain injury after cardiac arrest: A “two-hit” model. Crit. Care 2017, 21, 90. [Google Scholar] [CrossRef] [PubMed]
- McCullough, J.N.; Zhang, N.; Reich, D.L.; Juvonen, T.S.; Klein, J.J.; Spielvogel, D.; Ergin, M.; Griepp, R.B. Cerebral metabolic suppression during hypothermic circulatory arrest in humans. Ann. Thorac. Surg. 1999, 67, 1895–1899. [Google Scholar] [CrossRef] [PubMed]
- Webster, C.M.; Kelly, S.; Koike, M.A.; Chock, V.Y.; Giffard, R.G.; Yenari, M.A. Inflammation and NFκB activation is decreased by hypothermia following global cerebral ischemia. Neurobiol. Dis. 2009, 33, 301–312. [Google Scholar] [CrossRef] [PubMed]
- Panchal, A.R.; Bartos, J.A.; Cabañas, J.G.; Donnino, M.W.; Drennan, I.R.; Hirsch, K.G.; Kudenchuk, P.J.; Kurz, M.C.; Lavonas, E.J.; Morley, P.T.; et al. Part 3: Adult basic and advanced life support: 2020 American Heart Association Guidelines for cardiopulmonary resuscitation and emergency cardiovascular care. Circulation 2020, 142, S366–S468. [Google Scholar] [CrossRef] [PubMed]
- Nielsen, N.; Friberg, H.; Gluud, C.; Herlitz, J.; Wetterslev, J. Hypothermia after cardiac arrest should be further evaluated—A systematic review of randomised trials with meta-analysis and trial sequential analysis. Int. J. Cardiol. 2011, 151, 333–341. [Google Scholar] [CrossRef]
- Garrido, C.C.; Gallego, B.R.; García, J.C.S.; Martín, J.C.; Troya, M.M.; Blanque, R.R. The effect of therapeutic hypothermia after cardiac arrest on the neurological outcome and survival—A systematic review of RCTs published between 2016 and 2020. Int. J. Environ. Res. Public Health 2021, 18, 11817. [Google Scholar] [CrossRef]
- Dankiewicz, J.; Cronberg, T.; Lilja, G.; Jakobsen, J.C.; Levin, H.; Ullén, S.; Rylander, C.; Wise, M.P.; Oddo, M.; Cariou, A.; et al. Hypothermia versus normothermia after out-of-hospital cardiac arrest. N. Engl. J. Med. 2021, 384, 2283–2294. [Google Scholar] [CrossRef] [PubMed]
- Fink, E.L.; Clark, R.S.; Berger, R.P.; Fabio, A.; Angus, D.C.; Watson, R.S.; Gianakas, J.J.; Panigrahy, A.; Callaway, C.W.; Bell, M.J.; et al. 24 vs. 72 hours of hypothermia for pediatric cardiac arrest: A pilot, randomized controlled trial. Resuscitation 2018, 126, 14–20. [Google Scholar] [CrossRef] [PubMed]
- Chevin, M. Therapeutic Hypothermia and Interleukin-1 Blockade as Neuroprotective Strategies in Neonatal Encephalopathy and Arterial Ischemic Stroke. Ph.D. Thesis, McGill University, Montreal, Canada, QC, 2021. [Google Scholar]
- Nakamura, T.; Kuroda, Y.; Torigoe, N.; Abe, Y.; Yamashita, S.; Kawakita, K.; Kawai, N.; Tamiya, T.; Itano, T.; Nagao, S. Cerebral metabolism monitoring during hypothermia following resuscitation from cardiopulmonary arrest. Acta Neurochir. Suppl. 2009, 102, 203–206. [Google Scholar]
- Kim, D.; Yoon, H.-J.; Lee, W.J.; Woo, S.H.; Kim, B.S. Prognostic value of 18F-FDG brain PET as an early indicator of neurological outcomes in a rat model of post-cardiac arrest syndrome. Sci. Rep. 2019, 9, 14798. [Google Scholar] [CrossRef] [PubMed]
- Kim, D.; Lee, W.J.; Lee, H.W.; Kim, B.S.; Woo, S.H.; Yoon, H.-J. Application of 18F-FDG brain PET for survival prediction in a rat model of hanging-induced hypoxic brain injury. Ann. Nucl. Med. 2022, 36, 570–578. [Google Scholar] [CrossRef] [PubMed]
- Kilkenny, C.; Browne, W.; Cuthill, I.C.; Emerson, M.; Altman, D.G.; NC3Rs Reporting Guidelines Working Group. Animal research: Reporting in vivo experiments: The ARRIVE guidelines. Br. J. Pharmacol. 2010, 160, 1577–1579. [Google Scholar] [CrossRef] [PubMed]
- Yu, S.; Wu, C.; Zhu, Y.; Diao, M.; Hu, W. Rat model of asphyxia-induced cardiac arrest and resuscitation. Front. Neurosci. 2023, 16, 1087725. [Google Scholar] [CrossRef] [PubMed]
- Wang, X.; Li, M.; Yang, Z.; Li, H.; Wang, Y.; Tang, W.; Wu, Y.; Xiao, P.; Jiang, S.; Shi, Q.; et al. Comparison of the Protective Effect of Different Mild Therapeutic Hypothermia Temperatures on Intestinal Injury After Cardiopulmonary Resuscitation in Rats. Shock 2021, 56, 450–460. [Google Scholar] [CrossRef] [PubMed]
- Simpson, D.P. Prolonged (12 hours) intravenous anesthesia in the rat. Lab. Anim. Sci. 1997, 47, 519–523. [Google Scholar]
- Vorhees, C.V.; Williams, M.T. Morris water maze: Procedures for assessing spatial and related forms of learning and memory. Nat. Protoc. 2006, 1, 848–858. [Google Scholar] [CrossRef]
- Putzu, A.; Valtorta, S.; Di Grigoli, G.; Haenggi, M.; Belloli, S.; Malgaroli, A.; Gemma, M.; Landoni, G.; Beretta, L.; Moresco, R.M. Regional differences in cerebral glucose metabolism after cardiac arrest and resuscitation in rats using [18F] FDG positron emission tomography and autoradiography. Neurocrit. Care 2018, 28, 370–378. [Google Scholar] [CrossRef] [PubMed]
- Schaafsma, A.; de Jong, B.; Bams, J.; Haaxma-Reiche, H.; Pruim, J.; Zijlstra, J. Cerebral perfusion and metabolism in resuscitated patients with severe post-hypoxic encephalopathy. J. Neurol. Sci. 2003, 210, 23–30. [Google Scholar] [CrossRef] [PubMed]
- Rudolf, J.; Ghaemi, M.; Ghaemi, M.; Haupt, W.F.; Szelies, B.; Heiss, W.-D. Cerebral glucose metabolism in acute and persistent vegetative state. J. Neurosurg. Anesthesiol. 1999, 11, 17–24. [Google Scholar] [CrossRef] [PubMed]
- Li, Y.-Q.; Liao, X.-X.; Lu, J.-H.; Liu, R.; Hu, C.-L.; Dai, G.; Zhang, X.-S.; Shi, X.-C.; Li, X. Assessing the early changes of cerebral glucose metabolism via dynamic 18FDG-PET/CT during cardiac arrest. Metab. Brain Dis. 2015, 30, 969–977. [Google Scholar] [CrossRef] [PubMed]
- Zhang, H.J.; Mitchell, S.; Fang, Y.-H.; Tsai, H.-M.; Piao, L.; Ousta, A.; Leoni, L.; Chen, C.-T.; Sharp, W.W. Assessment of Brain Glucose Metabolism Following Cardiac Arrest by [18F]FDG Positron Emission Tomography. Neurocrit. Care 2021, 34, 64–72. [Google Scholar] [CrossRef] [PubMed]
- Tintinalli, J.E. Emergency Medicine: A Comprehensive Study Guide; McGraw-Hill: New York, NY, USA, 1992. [Google Scholar]
- Toyama, H.; Ichise, M.; Liow, J.-S.; Modell, K.J.; Vines, D.C.; Esaki, T.; Cook, M.; Seidel, J.; Sokoloff, L.; Green, M.V.; et al. Absolute quantification of regional cerebral glucose utilization in mice by 18F-FDG small animal PET scanning and 2-14C-DG autoradiography. J. Nucl. Med. 2004, 45, 1398–1405. [Google Scholar] [PubMed]
- Thorngren-Jerneck, K.; Ohlsson, T.; Sandell, A.; Erlandsson, K.; Strand, S.-E.; Ryding, E.; Svenningsen, N.W. Cerebral glucose metabolism measured by positron emission tomography in term newborn infants with hypoxic ischemic encephalopathy. Pediatr. Res. 2001, 49, 495–501. [Google Scholar] [CrossRef] [PubMed]
- Edison, P.; Raza, S.; Femminella, G.D.; Blunt, E.G.; Carver, S.; Livingston, N.R.; Nowell, J.; Holmes, C.; Ritchie, C.W.; Lawrence, R.M.; et al. Relationship between spectral analysis, SUV and SUV Pons ratio as a measure of cerebral glucose metabolic rate in Alzheimer’s disease: Neuroimaging/multi-modal Comparisons. Alzheimer’s Dement. 2020, 16, e046068. [Google Scholar] [CrossRef]
- Park, T.Y.; Nishida, K.S.; Wilson, C.M.; Jaiswal, S.; Scott, J.; Hoy, A.R.; Selwyn, R.G.; Dardzinski, B.J.; Choi, K.H. Effects of isoflurane anesthesia and intravenous morphine self-administration on regional glucose metabolism ([18F]FDG-PET) of male Sprague-Dawley rats. Eur. J. Neurosci. 2017, 45, 922–931. [Google Scholar] [CrossRef]
- Samaniego, E.A.; Mlynash, M.; Caulfield, A.F.; Eyngorn, I.; Wijman, C.A.C. Sedation confounds outcome prediction in cardiac arrest survivors treated with hypothermia. Neurocrit. Care 2011, 15, 113–119. [Google Scholar] [CrossRef]
- Dell’Anna, A.M.; Taccone, F.S.; Halenarova, K.; Citerio, G. Sedation after cardiac arrest and during therapeutic hypothermia. Minerva Anestesiol. 2014, 80, 954–962. [Google Scholar] [PubMed]




| SUV | p Value | ||
|---|---|---|---|
| Survived (n = 14) | Non-Survived (n = 7) | ||
| Entorhinal Cortex | 1.99 (1.45–2.70) | 1.42 (1.11–1.56) | 0.030 * |
| Frontal Association Cortex | 2.23 (1.62–2.96) | 1.31 (0.99–1.56) | 0.002 * |
| Insular Cortex | 2.37 (1.73–3.28) | 1.59 (1.21–1.87) | 0.007 * |
| Auditory Cortex | 2.31 (1.76–3.20) | 1.41 (1.14–1.87) | 0.005 * |
| Cingulate Cortex | 2.62 (1.92–3.54) | 1.69 (1.20–1.97) | 0.004 * |
| Medial Prefrontal Cortex | 2.54 (1.91–3.42) | 1.77 (1.30–1.94) | 0.007 * |
| Motor Cortex | 2.40 (1.74–3.29) | 1.46 (1.08–1.81) | 0.003 * |
| Orbitofrontal Cortex | 2.56 (1.86–3.47) | 1.65 (1.23–1.90) | 0.004 * |
| Parietal Association Cortex | 2.45 (1.85–3.34) | 1.43 (1.11–1.87) | 0.002 * |
| Retro-Splenial Cortex | 2.26 (1.68–3.14) | 1.43 (1.02–1.68) | 0.003 * |
| Somatosensory Cortex | 2.50 (1.79–3.43) | 1.52 (1.15–1.91) | 0.003 * |
| Visual Cortex | 2.37 (1.81–3.30) | 1.37 (1.07–1.82) | 0.002 * |
| Olfactory Cortex | 2.24 (1.61–3.05) | 1.54 (1.17–1.72) | 0.030 * |
| SUVRpons | p Value | ||
|---|---|---|---|
| Survived (n = 14) | Non-Survived (n = 7) | ||
| Entorhinal Cortex | 1.14 (1.12–1.17) | 1.09 (1.07–1.13) | 0.086 |
| Frontal Association Cortex | 1.25 (1.22–1.32) | 1.01 (0.87–1.12) | 0.001 * |
| Insular Cortex | 1.38 (1.32–1.41) | 1.23 (1.11–1.32) | 0.001 * |
| Auditory Cortex | 1.33 (1.31–1.37) | 1.16 (1.05–1.25) | 0.001 * |
| Cingulate Cortex | 1.50 (1.46–1.55) | 1.21 (1.13–1.45) | 0.001 * |
| Medial Prefrontal Cortex | 1.47 (1.42–1.52) | 1.32 (1.18–1.44) | 0.021 * |
| Motor Cortex | 1.37 (1.33–1.42) | 1.10 (0.99–1.28) | <0.001 * |
| Orbitofrontal Cortex | 1.47 (1.42–1.50) | 1.24 (1.13–1.38) | 0.001 * |
| Parietal Association Cortex | 1.40 (1.38–1.45) | 1.12 (1.03–1.32) | 0.001 * |
| Retro-Splenial Cortex | 1.31 (1.25–1.37) | 1.03 (0.96–1.23) | 0.001 * |
| Somatosensory Cortex | 1.41 (1.37–1.46) | 1.17 (1.07–1.33) | <0.001 * |
| Visual Cortex | 1.38 (1.34–1.40) | 1.08 (1.00–1.27) | <0.001 * |
| Olfactory Cortex | 1.28 (1.27–1.30) | 1.18 (1.15–1.21) | 0.014 * |
Disclaimer/Publisher’s Note: The statements, opinions and data contained in all publications are solely those of the individual author(s) and contributor(s) and not of MDPI and/or the editor(s). MDPI and/or the editor(s) disclaim responsibility for any injury to people or property resulting from any ideas, methods, instructions or products referred to in the content. |
© 2024 by the authors. Licensee MDPI, Basel, Switzerland. This article is an open access article distributed under the terms and conditions of the Creative Commons Attribution (CC BY) license (https://creativecommons.org/licenses/by/4.0/).
Share and Cite
Kim, D.; Lee, W.J.; Woo, S.H.; Lee, H.W.; Kim, B.S.; Yoon, H.-J. The Effect of Therapeutic Hypothermia on Ischemic Brain Injury in a Rat Model of Cardiac Arrest: An Assessment Using 18F-FDG PET. Diagnostics 2024, 14, 1674. https://doi.org/10.3390/diagnostics14151674
Kim D, Lee WJ, Woo SH, Lee HW, Kim BS, Yoon H-J. The Effect of Therapeutic Hypothermia on Ischemic Brain Injury in a Rat Model of Cardiac Arrest: An Assessment Using 18F-FDG PET. Diagnostics. 2024; 14(15):1674. https://doi.org/10.3390/diagnostics14151674
Chicago/Turabian StyleKim, Daehee, Woon Jeong Lee, Seon Hee Woo, Hye Won Lee, Bom Sahn Kim, and Hai-Jeon Yoon. 2024. "The Effect of Therapeutic Hypothermia on Ischemic Brain Injury in a Rat Model of Cardiac Arrest: An Assessment Using 18F-FDG PET" Diagnostics 14, no. 15: 1674. https://doi.org/10.3390/diagnostics14151674
APA StyleKim, D., Lee, W. J., Woo, S. H., Lee, H. W., Kim, B. S., & Yoon, H.-J. (2024). The Effect of Therapeutic Hypothermia on Ischemic Brain Injury in a Rat Model of Cardiac Arrest: An Assessment Using 18F-FDG PET. Diagnostics, 14(15), 1674. https://doi.org/10.3390/diagnostics14151674

