In Vivo Regulation of Active Matrix Metalloproteinase-8 (aMMP-8) in Periodontitis: From Transcriptomics to Real-Time Online Diagnostics and Treatment Monitoring
Abstract
1. Introduction
2. Materials and Methods
2.1. Patients and Tissue Samples
2.2. Immunohistochemical Analysis
2.3. RNA Sequencing and Transcriptomics of Gingival Tissue Biopsies
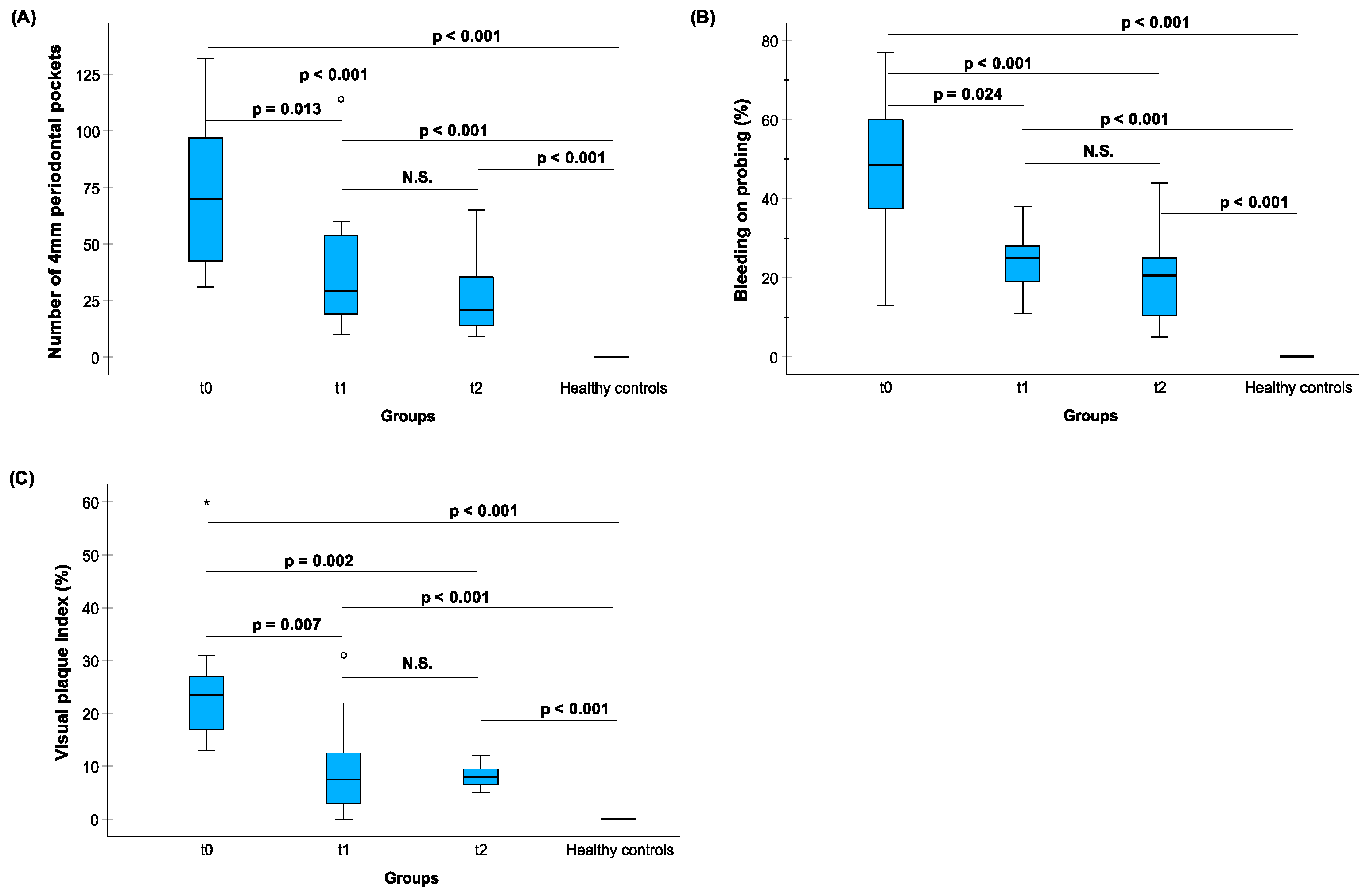
2.4. Periodontal Anti-Infective Scaling and Root Planing Treatment
- Chairside PoC and quantitative aMMP-8 analyses;
- aMMP-8 levels were measured online and in real time quantitatively by a rapid PoC chairside aMMP-8 kits (Periosafe®, Dentognostics GmbH, Solingen, Germany) and a quantitative reader (Oralyzer®, Dentognostics GmbH, Solingen, Germany) from the collected mouth rinse samples from both the periodontitis patient group (n = 12) and the healthy control group of 25 systemically and periodontally healthy dental students. Any remaining oral mouth rinse fluid was transferred to Eppendorf tubes and stored at −70 °C for further laboratory analysis [9,10];
- Measurement of the aMMP-8 Levels by Immunofluorometric Assay (IFMA)
2.5. MMP-8 Activity Assay Using Relative Fluorescence Units/Min (RFU)
2.6. Statistical Analysis
3. Results
Ex Vivo Immunoexpression of Td-Dentilisin and MMP-8 in Human Periodontitis-Affected vs. Healthy Gingival Tissues
4. Discussion
5. Conclusions
Author Contributions
Funding
Institutional Review Board Statement
Informed Consent Statement
Data Availability Statement
Acknowledgments
Conflicts of Interest
References
- Papapanou, P.N.; Sanz, M.; Buduneli, N.; Dietrich, T.; Feres, M.; Fine, D.H.; Flemmig, T.F.; Garcia, R.; Giannobile, W.V.; Graziani, F.; et al. Periodontitis: Consensus report of workgroup 2 of the 2017 World Workshop on the Classification of Periodontal and Peri-Implant Diseases and Conditions. J. Periodontol. 2018, 89 (Suppl. 1), S173–S182. [Google Scholar] [CrossRef] [PubMed]
- Cogoni, V.; Morgan-Smith, A.; Fenno, J.C.; Jenkinson, H.F.; Dymock, D. Treponema denticola chymotrypsin-like proteinase (CTLP) integrates spirochaetes within oral microbial communities. Microbiology 2012, 158 Pt 3, 759–770. [Google Scholar] [CrossRef] [PubMed] [PubMed Central]
- Silva, N.; Abusleme, L.; Bravo, D.; Dutzan, N.; Garcia-Sesnich, J.; Vernal, R.; Hernández, M.; Gamonal, J. Host response mechanisms in periodontal diseases. J. Appl. Oral Sci. 2015, 23, 329–355. [Google Scholar] [CrossRef] [PubMed] [PubMed Central]
- Khuda, F.; Anuar, N.N.; Baharin, B.; Nasruddin, N.S. A Mini Review on the Associations of Matrix Metalloproteinases (MMPs) -1, -8, -13 with Periodontal Disease. AIMS Mol. Sci. 2021, 8, 13–31, Gale Academic OneFile. Available online: https://go.gale.com/ps/i.do?p=AONE&u=anon~ebca9381&id=GALE|A684120359&v=2.1&it=r&sid=googleScholar&asid=f2e29a65 (accessed on 28 February 2024). [CrossRef]
- Hajishengallis, G.; Chavakis, T.; Lambris, J.D. Current understanding of periodontal disease pathogenesis and targets for host-modulation therapy. Periodontology 2000 2020, 84, 14–34. [Google Scholar] [CrossRef] [PubMed]
- Kinane, D.F.; Stathopoulou, P.G.; Papapanou, P.N. Periodontal diseases. Nat. Rev. Dis. Primers. 2017, 3, 17038. [Google Scholar] [CrossRef] [PubMed]
- Cui, N.; Hu, M.; Khalil, R.A. Biochemical and Biological Attributes of Matrix Metalloproteinases. Prog. Mol. Biol. Transl. Sci. 2017, 147, 1–73. [Google Scholar] [CrossRef] [PubMed] [PubMed Central]
- Chakraborti, S.; Mandal, M.; Das, S.; Mandal, A.; Chakraborti, T. Regulation of matrix metalloproteinases: An overview. Mol. Cell. Biochem. 2003, 253, 269–285. [Google Scholar] [CrossRef] [PubMed]
- Sorsa, T.; Alassiri, S.; Grigoriadis, A.; Räisänen, I.T.; Pärnänen, P.; Nwhator, S.O.; Gieselmann, D.-R.; Sakellari, D. Active MMP-8 (aMMP-8) as a Grading and Staging Biomarker in the Periodontitis Classification. Diagnostics 2020, 10, 61. [Google Scholar] [CrossRef]
- Keskin, M.; Rintamarttunen, J.; Gülçiçek, E.; Räisänen, I.T.; Gupta, S.; Tervahartiala, T.; Pätilä, T.; Sorsa, T. A Comparative Analysis of Treatment-Related Changes in the Diagnostic Biomarker Active Metalloproteinase-8 Levels in Patients with Periodontitis. Diagnostics 2023, 13, 903. [Google Scholar] [CrossRef]
- Arias-Bujanda, N.; Regueira-Iglesias, A.; Balsa-Castro, C.; Nibali, L.; Donos, N.; Tomás, I. Accuracy of single molecular bi-omarkers in gingival crevicular fluid for the diagnosis of periodontitis: A systematic review and metaanalysis. J. Clin. Periodontol. 2019, 46, 1166–1182. [Google Scholar] [CrossRef] [PubMed]
- Atanasova, T.; Stankova, T.; Bivolarska, A.; Vlaykova, T. Matrix Metalloproteinases in Oral Health—Special Attention on MMP-8. Biomedicines 2023, 11, 1514. [Google Scholar] [CrossRef] [PubMed]
- Arias-Bujanda, N.; Regueira-Iglesias, A.; Balsa-Castro, C.; Nibali, L.; Donos, N.; Tomás, I. Accuracy of single molecular bi-omarkers in saliva for the diagnosis of periodontitis: A systematic review and meta-analysis. J. Clin. Periodontol. 2020, 47, 2–18. [Google Scholar] [CrossRef] [PubMed]
- Alassy, H.; Parachuru, P.; Wolff, L. Peri-Implantitis Diagnosis and Prognosis Using Biomarkers in Peri-Implant Crevicular Fluid: A Narrative Review. Diagnostics 2019, 9, 214. [Google Scholar] [CrossRef] [PubMed]
- Deng, K.; Pelekos, G.; Jin, L.; Tonetti, M.S. Diagnostic accuracy of a point-of-care aMMP-8 test in the discrimination of periodontal health and disease. J. Clin. Periodontol. 2021, 48, 1051–1065. [Google Scholar] [CrossRef] [PubMed]
- Deng, K.; Wei, S.; Xu, M.; Shi, J.; Lai, H.; Tonetti, M.S. Diagnostic accuracy of active matrix metalloproteinase-8 point-of-care test for the discrimination of periodontal health status: Comparison of saliva and oral rinse samples. J. Periodontal Res. 2022, 57, 768–779. [Google Scholar] [CrossRef] [PubMed]
- A Hasty, K.; Pourmotabbed, T.F.; I Goldberg, G.; Thompson, J.P.; Spinella, D.G.; Stevens, R.M.; Mainardi, C.L. Human neutrophil collagenase. A distinct gene product with homology to other matrix metalloproteinases. J. Biol. Chem. 1990, 265, 11421–11424. [Google Scholar] [CrossRef] [PubMed]
- Devarajan, P.; Mookhtiar, K.; Van Wart, H.; Berliner, N. Structure and expression of the cDNA encoding human neutrophil colla-genase. Blood 1991, 77, 2731–2738. [Google Scholar] [CrossRef] [PubMed]
- Tschesche, H.; Wenzel, H. Chapter 153—Neutrophil Collagenase. In Handbook of Proteolytic Enzymes, 3rd ed.; Rawlings, N.D., Salvesen, G., Eds.; Academic Press: Cambridge, MA, USA, 2013; pp. 725–734. ISBN 9780123822192. Available online: https://www.sciencedirect.com/science/article/pii/B9780123822192001538 (accessed on 28 February 2024). [CrossRef]
- Ding, Y.; Uitto, V.-J.; Haapasalo, M.; Lounatmaa, K.; Konttinen, Y.; Salo, T.; Grenier, D.; Sorsa, T. Membrane Components of Treponema denticola Trigger Proteinase Release from Human Polymorphonuclear Leukocytes. J. Dent. Res. 1996, 75, 1986–1993. [Google Scholar] [CrossRef]
- Weiss, S.J. Tissue destruction by neutrophils. N. Engl. J. Med. 1989, 320, 365–376. [Google Scholar] [CrossRef]
- Cole, A.A.; Chubinskaya, S.; Schumacher, B.; Huch, K.; Cs-Szabo, G.; Yao, J.; Mikecz, K.; Hasty, K.A.; Kuettner, K.E. Chondrocyte Matrix Metalloproteinase-8: HUMAN ARTICULAR CHONDROCYTES EXPRESS NEUTROPHIL COLLAGENASE. J. Biol. Chem. 1996, 271, 11023–11026. [Google Scholar] [CrossRef] [PubMed]
- Deng, K.; Zonta, F.; Yang, H.; Pelekos, G.; Tonetti, M.S. Development of a machine learning multiclass screening tool for per-iodontal health status based on non-clinical parameters and salivary biomarkers. J. Clin. Periodontol. 2023. [Google Scholar] [CrossRef] [PubMed]
- Al-Samadi, A.; Kouri, V.; Salem, A.; Ainola, M.; Kaivosoja, E.; Barreto, G.; Konttinen, Y.T.; Hietanen, J.; Häyrinen-Immonen, R. IL-17C and its receptor IL-17RA/IL-17RE identify human oral epithelial cell as an inflammatory cell in recurrent aphthous ulcer. J. Oral Pathol. Med. 2014, 43, 117–124. [Google Scholar] [CrossRef] [PubMed]
- Verhulst, M.J.L.; Teeuw, W.J.; Bizzarro, S.; Muris, J.; Su, N.; Nicu, E.A.; Nazmi, K.; Bikker, F.J.; Loos, B.G. A rapid, non-invasive tool for periodontitis screening in a medical care setting. BMC Oral Health 2019, 19, 87. [Google Scholar] [CrossRef] [PubMed]
- Lundmark, A.; Davanian, H.; Båge, T.; Johannsen, G.; Koro, C.; Lundeberg, J.; Yucel-Lindberg, T. Transcriptome analysis reveals mucin 4 to be highly associated with periodontitis and identifies pleckstrin as a link to systemic diseases. Sci. Rep. 2015, 5, 18475. [Google Scholar] [CrossRef] [PubMed]
- Mc Crudden, M.T.C.; Irwin, C.R.; El Karim, I.; Linden, G.J.; Lundy, F.T. Matrix metalloproteinase-8 activity in gingival crevicular fluid: Development of a novel assay. J. Periodontal Res. 2016, 52, 556–561. [Google Scholar] [CrossRef] [PubMed]
- Listyarifah, D.; Nieminen, M.T.; Mäkinen, L.K.; Haglund, C.; Grenier, D.; Häyry, V.; Nordström, D.; Hernandez, M.; Yucel-Lindberg, T.; Tervahartiala, T.; et al. Treponema denticola chymotrypsin-like proteinase is present in early-stage mobile tongue squamous cell carcinoma and related to the clinicopathological features. J. Oral Pathol. Med. 2018, 47, 764–772. [Google Scholar] [CrossRef] [PubMed]
- Balbín, M.; Fueyo, A.; Knäuper, V.; Pendás, A.M.; López, J.M.; Jiménez, M.G.; Murphy, G.; López-Otín, C. Collagenase 2 (MMP-8) expression in murine tissue-remodeling processes. Analysis of its potential role in postpartum involution of the uterus. J. Biol. Chem. 1998, 273, 23959–23968. [Google Scholar] [CrossRef] [PubMed]
- Tervahartiala, T.; Pirilä, E.; Ceponis, A.; Maisi, P.; Salo, T.; Tuter, G.; Kallio, P.; Törnwall, J.; Srinivas, R.; Konttinen, Y.; et al. The in vivo expression of the collagenolytic matrix metalloproteinases (MMP-2, -8, -13, and -14) and matrilysin (MMP-7) in adult and localized juvenile periodontitis. J. Dent. Res. 2000, 79, 1969–1977. [Google Scholar] [CrossRef] [PubMed]
- Nomura, T.; Takahashi, T.; Hara, K. Expression of TIMP-1, TIMP-2 and collagenase mRNA in periodontitis-affected human gingival tissue. J. Periodontal Res. 1993, 28, 354–362. [Google Scholar] [CrossRef]
- Tonetti, M.S.; Freiburghaus, K.; Lang, N.P.; Bickel, M. Detection of interleukin-8 and matrix metalloproteinases transcripts in healthy and diseased gingival biopsies by RNA/PCR. J. Periodontal Res. 1993, 28, 511–513. [Google Scholar] [CrossRef] [PubMed]
- Aiba, T.; Akeno, N.; Kawane, T.; Okamoto, H.; Horiuchi, N. Matrix metalloproteinases-1 and -8 and TIMP-1 mRNA levels in normal and diseased human gingivae. Eur. J. Oral Sci. 1996, 104, 562–569. [Google Scholar] [CrossRef] [PubMed]
- Fernández, A.; Cárdenas, A.M.; Astorga, J.; Veloso, P.; Alvarado, A.; Merino, P.; Pino, D.; Reyes-Court, D.; Hernández, M. Expression of Toll-like receptors 2 and 4 and its association with matrix metalloproteinases in symptomatic and asymptomatic apical periodontitis. Clin. Oral Investig. 2019, 23, 4205–4212. [Google Scholar] [CrossRef] [PubMed]
- Sahni, V. Point of care technology for screening and referrals. Br. Dent. J. 2024, 236, 230. [Google Scholar] [CrossRef] [PubMed]
- Gangbar, S.; Overall, C.M.; McCulloch, C.A.G.; Sodek, J. Identification of polymorphonuclear leukocyte collagenase and gelatinase activities in mouthrinse samples: Correlation with periodontal disease activity in adult and juvenile periodontitis. J. Periodontal Res. 1990, 25, 257–267. [Google Scholar] [CrossRef]
- Overall, C.M.; Sodek, J.; A McCulloch, C.; Birek, P. Evidence for polymorphonuclear leukocyte collagenase and 92-kilodalton gelatinase in gingival crevicular fluid. Infect. Immun. 1991, 59, 4687–4692. [Google Scholar] [CrossRef] [PubMed]
- Lee, W.; Aitken, S.; Sodek, J.; McCulloch, C.A.G. Evidence of a direct relationship between neutrophil collagenase activity and periodontal tissue destruction in vivo: Role of active enzyme in human periodontitis. J. Periodontal Res. 1995, 30, 23–33. [Google Scholar] [CrossRef] [PubMed]
- Mancini, S.; Romanelli, R.; Laschinger, C.A.; Overall, C.M.; Sodek, J.; McCulloch, C.A. Assessment of a novel screening test for neutrophil collagenase activity in the diagnosis of periodontal diseases. J. Periodontol. 1999, 70, 1292–1302. [Google Scholar] [CrossRef] [PubMed]
- Romanelli, R.; Mancini, S.; Laschinger, C.; Overall, C.M.; Sodek, J.; McCulloch, C.A. Activation of neutrophil collagenase in periodontitis. Infect. Immun. 1999, 67, 2319–2326. [Google Scholar] [CrossRef]
- Golub, L.M.; Lee, H.-M. Periodontal therapeutics: Current host-modulation agents and future directions. Periodontology 2000 2020, 82, 186–204. [Google Scholar] [CrossRef]
- Gellibolian, R.; Miller, C.S.; Markaryan, A.N.; Weltman, R.L.; Van Dyke, T.E.; Ebersole, J.L. Precision periodontics: Quantitative measures of disease progression. J. Am. Dent. Assoc. 2022, 153, 826–828. Available online: https://www.sciencedirect.com/science/article/pii/S0002817722001532 (accessed on 28 February 2024). [CrossRef] [PubMed]
- Wohlfahrt, J.C.; Aass, A.M.; Granfeldt, F.; Lyngstadaas, S.P.; Reseland, J.E. Sulcus fluid bone marker levels and the outcome of surgical treatment of peri-implantitis. J. Clin. Periodontol. 2014, 41, 424–431. [Google Scholar] [CrossRef] [PubMed]
- Wang, H.; Garaicoa-Pazmino, C.; Collins, A.; Ong, H.; Chudri, R.; Giannobile, W.V. Protein biomarkers and microbial profiles in peri-implantitis. Clin. Oral Implant. Res. 2016, 27, 1129–1136. [Google Scholar] [CrossRef] [PubMed]
- Romero-Castro, N.S.; Vázquez-Villamar, M.; Muñoz-Valle, J.F.; Reyes-Fernández, S.; Serna-Radilla, V.O.; García-Arellano, S.; Castro-Alarcón, N. Relationship between TNF-α, MMP-8, and MMP-9 levels in gingival crevicular fluid and the subgingival microbiota in periodontal disease. Odontology 2020, 108, 25–33. [Google Scholar] [CrossRef] [PubMed]





| Parameters | Healthy (HC) | Periodontitis (CP) | Significance (p-Value) |
|---|---|---|---|
| Immunohistochemical staining of gingival tissue | |||
| Td-dentilisin | 1.00 ± 0.21 | 2.44 ± 0.06 | *, p = 0.0038 |
| MMP-8 | 1.00 ± 0.20 | 4.33 ± 0.41 | *, p = 0.0001 |
| RNA sequencing/transcriptomics | |||
| MMP-8 | 0.35 ± 0.62 | 0.46 ± 0.84 | - |
| MMP-7 | 1.78 ± 4.17 | 49.92 ± 106.16 | *, p = 0.0280 |
| MMP-2 | 191.27 ± 138.23 | 147.05 ± 138.66 | - |
| TIMP-1 | 47.28 ± 16.62 | 66.01 ± 49.47 | - |
| IL-1β | 14.73 ± 16.78 | 71.47 ± 61.32 | *, p = 0.0001 |
| GAPDH | 2491.42 ± 630.29 | 2596.36 ± 840.13 | |
Disclaimer/Publisher’s Note: The statements, opinions and data contained in all publications are solely those of the individual author(s) and contributor(s) and not of MDPI and/or the editor(s). MDPI and/or the editor(s) disclaim responsibility for any injury to people or property resulting from any ideas, methods, instructions or products referred to in the content. |
© 2024 by the authors. Licensee MDPI, Basel, Switzerland. This article is an open access article distributed under the terms and conditions of the Creative Commons Attribution (CC BY) license (https://creativecommons.org/licenses/by/4.0/).
Share and Cite
Aji, N.R.A.S.; Yucel-Lindberg, T.; Räisänen, I.T.; Kuula, H.; Nieminen, M.T.; Mc Crudden, M.T.C.; Listyarifah, D.; Lundmark, A.; Lundy, F.T.; Gupta, S.; et al. In Vivo Regulation of Active Matrix Metalloproteinase-8 (aMMP-8) in Periodontitis: From Transcriptomics to Real-Time Online Diagnostics and Treatment Monitoring. Diagnostics 2024, 14, 1011. https://doi.org/10.3390/diagnostics14101011
Aji NRAS, Yucel-Lindberg T, Räisänen IT, Kuula H, Nieminen MT, Mc Crudden MTC, Listyarifah D, Lundmark A, Lundy FT, Gupta S, et al. In Vivo Regulation of Active Matrix Metalloproteinase-8 (aMMP-8) in Periodontitis: From Transcriptomics to Real-Time Online Diagnostics and Treatment Monitoring. Diagnostics. 2024; 14(10):1011. https://doi.org/10.3390/diagnostics14101011
Chicago/Turabian StyleAji, Nur Rahman Ahmad Seno, Tülay Yucel-Lindberg, Ismo T. Räisänen, Heidi Kuula, Mikko T. Nieminen, Maelíosa T. C. Mc Crudden, Dyah Listyarifah, Anna Lundmark, Fionnuala T. Lundy, Shipra Gupta, and et al. 2024. "In Vivo Regulation of Active Matrix Metalloproteinase-8 (aMMP-8) in Periodontitis: From Transcriptomics to Real-Time Online Diagnostics and Treatment Monitoring" Diagnostics 14, no. 10: 1011. https://doi.org/10.3390/diagnostics14101011
APA StyleAji, N. R. A. S., Yucel-Lindberg, T., Räisänen, I. T., Kuula, H., Nieminen, M. T., Mc Crudden, M. T. C., Listyarifah, D., Lundmark, A., Lundy, F. T., Gupta, S., & Sorsa, T. (2024). In Vivo Regulation of Active Matrix Metalloproteinase-8 (aMMP-8) in Periodontitis: From Transcriptomics to Real-Time Online Diagnostics and Treatment Monitoring. Diagnostics, 14(10), 1011. https://doi.org/10.3390/diagnostics14101011

