Addition of Kidney Dysfunction Type to MELD-Na for the Prediction of Survival in Cirrhotic Patients Awaiting Liver Transplantation in Comparison with MELD 3.0 with Albumin
Abstract
:1. Introduction
2. Materials and Methods
2.1. Patients
2.2. Kidney Dysfunction Type Definitions
- AKD: an increase in sCr by either 0.3 mg/dL, ≥50%, or <72 days of hemodialysis;
- CKD: an eGFR < 60 mL/min/1.73 m2 for 90 days or ≥72 days of hemodialysis;
- AKD on CKD: meeting both AKD and CKD definitions;
- Normal kidney function: meeting neither definition.
2.3. Evaluation of Liver Function
- MELD original = 9.57 × loge(creatinine) + 3.78 × loge(bilirubin) + 11.20 × loge(INR) + 6.43.
- MELD-Na = MELD original + [1.32 × (137-Na)] − [0.033 × MELD original × (137-Na)].
- MELD-Na-KT (10):
- -
- AKD: (MELD-Na × 0.035480 − 0.318060)/(0.134426 + 0.035480);
- -
- CKD: (MELD-Na × 0.038190 − 1.087994)/(0.134426 + 0.038190);
- -
- AKD on CKD: (MELD-Na × 0.036395 − 0.488997)/(0.134426 + 0.036395).
- MELD 3.0 with albumin = 1.33 (if female) + [4.56 × loge(bilirubin)] + [0.82 × (137-Na)] − [0.24 × (137-Na) × loge(bilirubin)] + [9.09 × loge(INR)] + [11.14 × loge(creatinine)] + [1.85 × (3.5-albumin)] − [1.83 × (3.5-albumin) × loge(creatinine)] + 6.
2.4. Outcomes
2.5. Statistical Analysis
3. Results
3.1. Baseline Characteristics
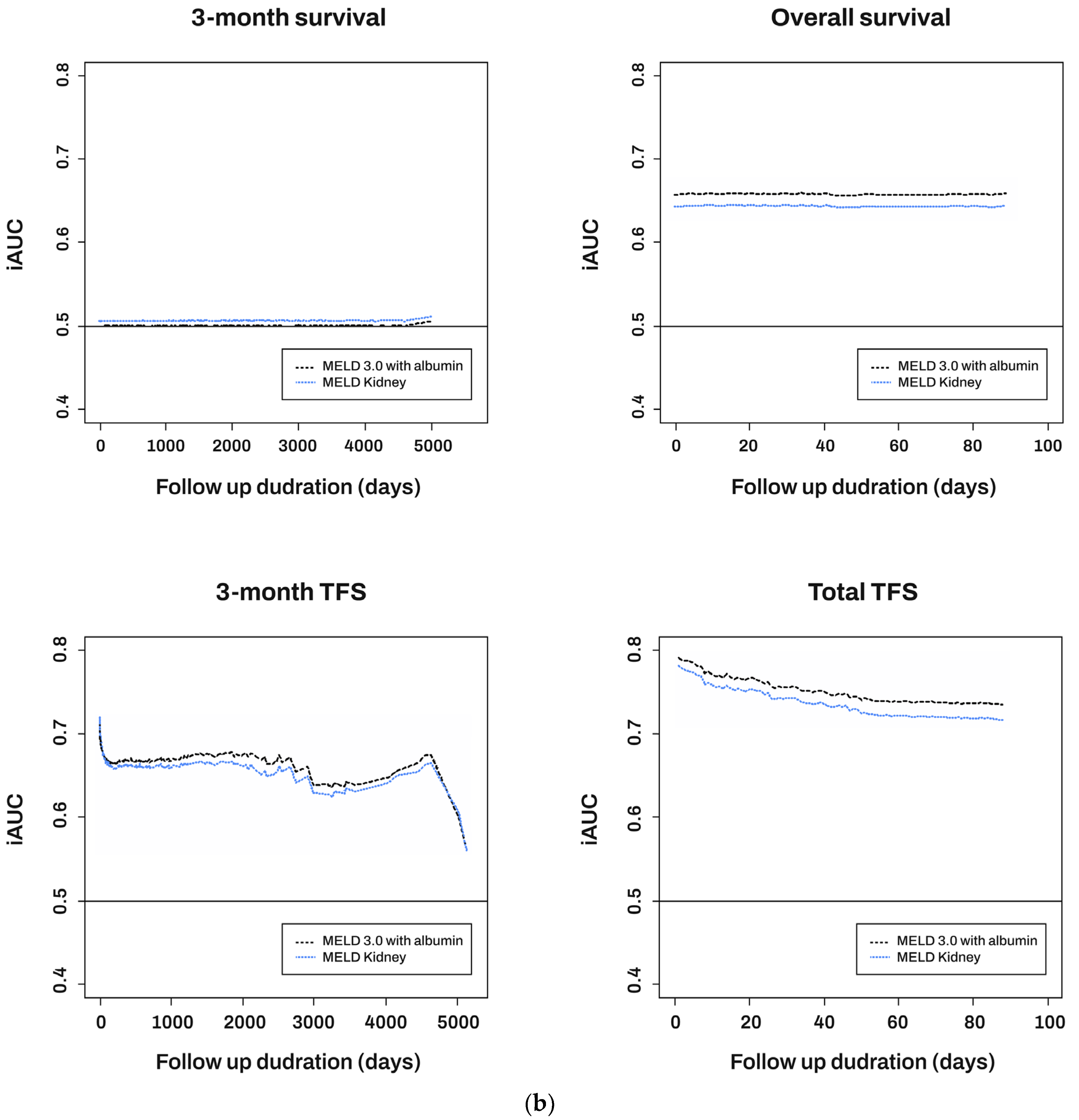
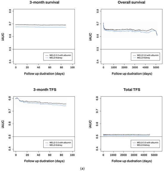
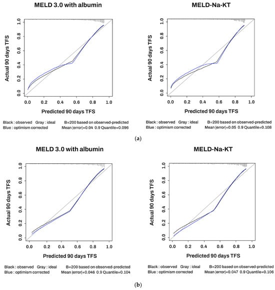
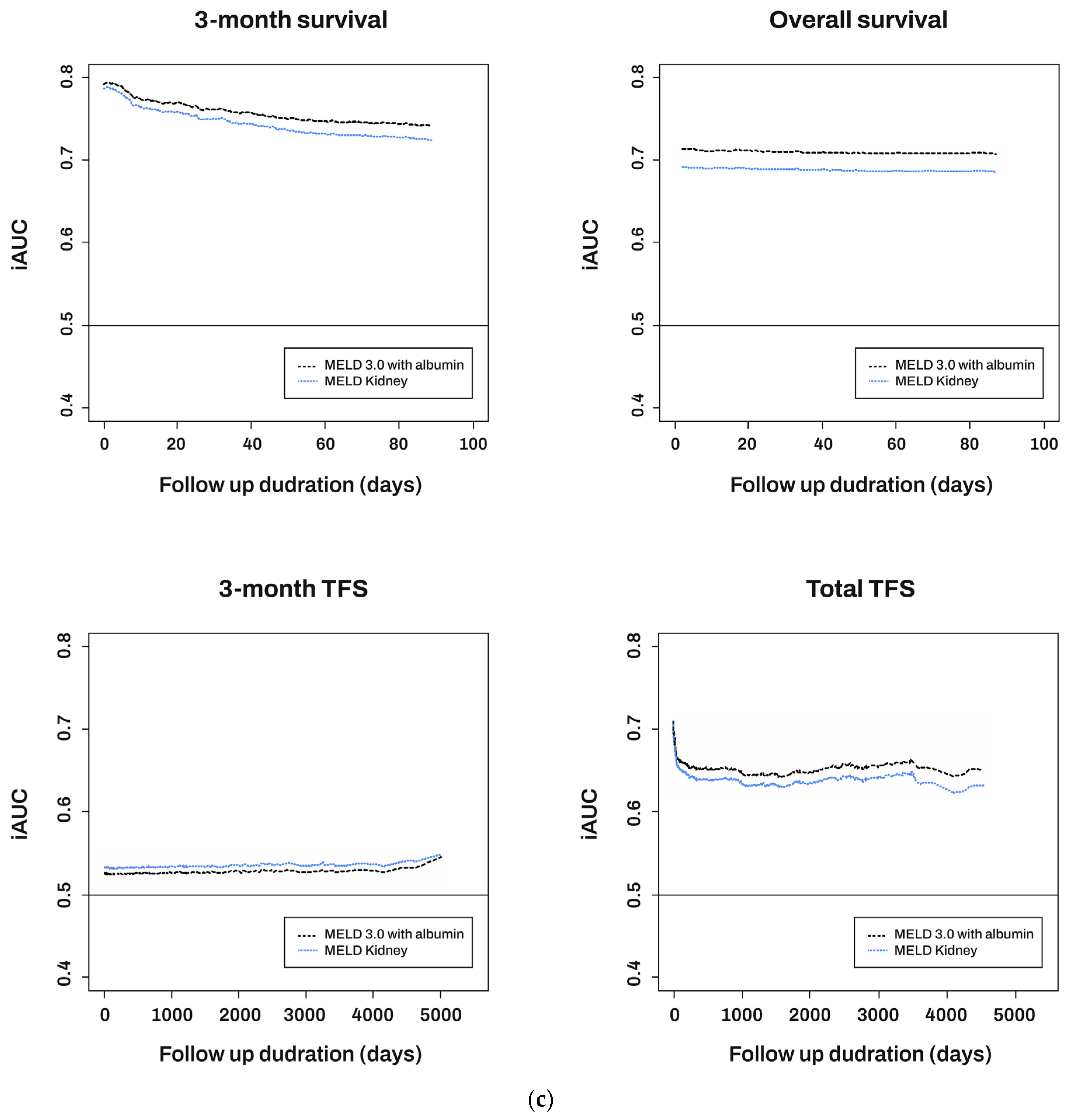
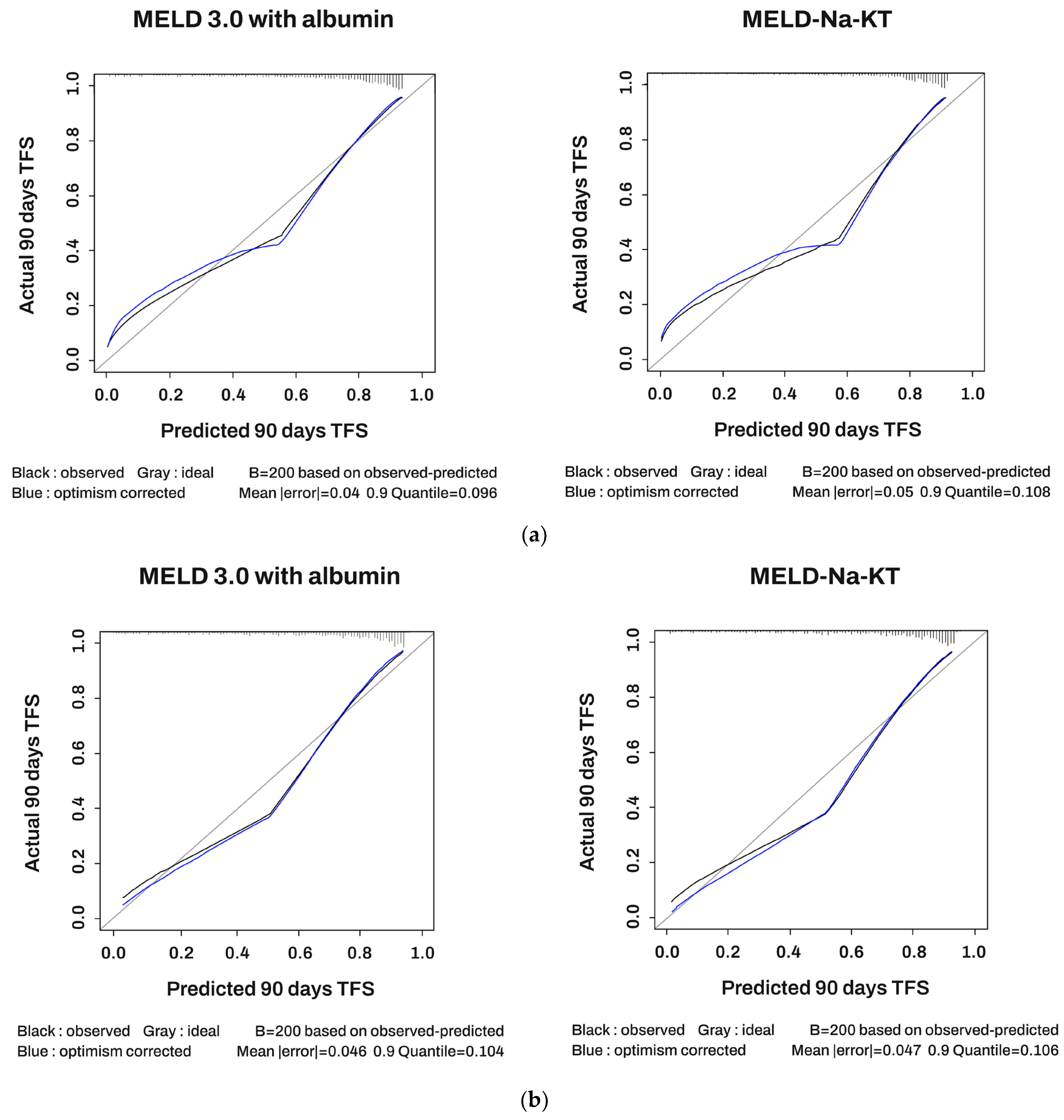
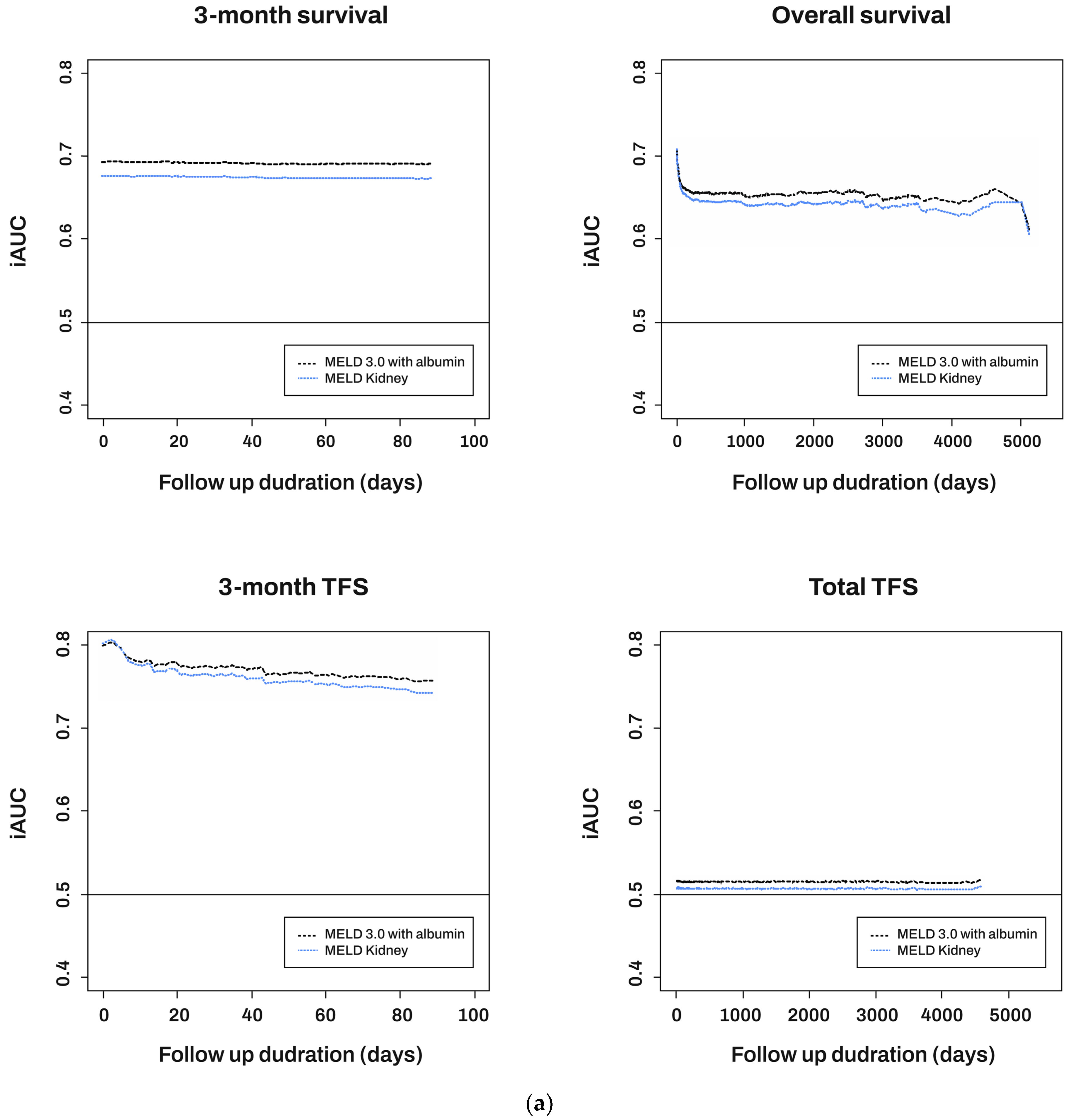
3.2. Performance Comparison between MELD-Na-KT and MELD 3.0
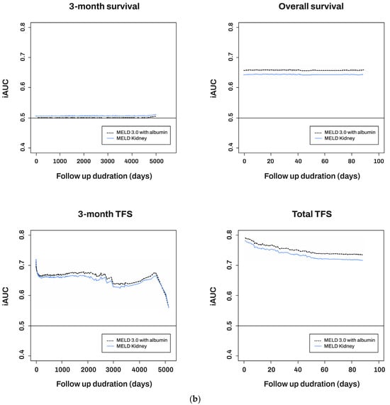
3.3. Stratified Analysis According to Sex
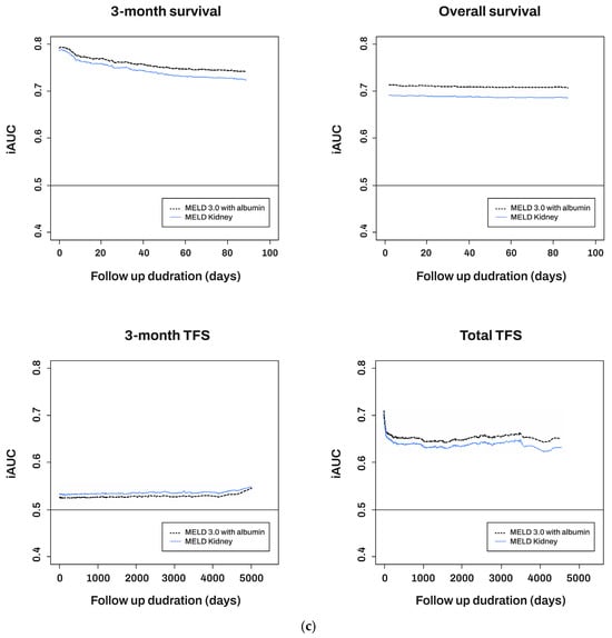
3.4. Stratified Analysis According to Kidney Dysfunction Type
4. Discussion
Author Contributions
Funding
Institutional Review Board Statement
Informed Consent Statement
Data Availability Statement
Conflicts of Interest
References
- Lonardo, A.; Nascimbeni, F.; Mantovani, A.; Targher, G. Hypertension, diabetes, atherosclerosis and NASH: Cause or consequence? J. Hepatol. 2018, 68, 335–352. [Google Scholar] [CrossRef] [PubMed]
- Polyak, A.; Kuo, A.; Sundaram, V. Evolution of liver transplant organ allocation policy: Current limitations and future directions. World J. Hepatol. 2021, 13, 830–839. [Google Scholar] [CrossRef] [PubMed]
- Leise, M.D.; Kim, W.R.; Kremers, W.K.; Larson, J.J.; Benson, J.T.; Therneau, T.M. A revised model for end-stage liver disease optimizes prediction of mortality among patients awaiting liver transplantation. Gastroenterology 2011, 140, 1952–1960. [Google Scholar] [CrossRef] [PubMed]
- Huang, D.Q.; Terrault, N.A.; Tacke, F.; Gluud, L.L.; Arrese, M.; Bugianesi, E.; Loomba, R. Global epidemiology of cirrhosis—aetiology, trends and predictions. Nat. Rev. Gastroenterol. Hepatol. 2023, 20, 388–398. [Google Scholar] [CrossRef] [PubMed]
- Jang, W.; Lee, H.W.; Lee, J.S.; Kim, B.K.; Kim, S.U.; Park, J.Y.; Ahn, S.H.; Kim, D.Y. Clinical characteristics and prognosis of Korean patients with hepatocellular carcinoma with respect to etiology. J. Liver Cancer 2022, 22, 158–166. [Google Scholar] [CrossRef] [PubMed]
- Ahn, Y.H.; Lee, H.; Han, J.E.; Cho, H.J.; Cheong, J.Y.; Park, B.; Kim, S.S. Effect of direct-acting antivirals for hepatitis C virus-related hepatocellular carcinoma recurrence and death after curative treatment. J. Liver Cancer 2022, 22, 125–135. [Google Scholar] [CrossRef] [PubMed]
- Schilsky, M.L.; Moini, M. Advances in liver transplantation allocation systems. World J. Gastroenterol. 2016, 22, 2922–2930. [Google Scholar] [CrossRef]
- Kim, W.R.; Mannalithara, A.; Heimbach, J.K.; Kamath, P.S.; Asrani, S.K.; Biggins, S.W.; Wood, N.L.; Gentry, S.E.; Kwong, A.J. MELD 3.0: The Model for End-Stage Liver Disease Updated for the Modern Era. Gastroenterology 2021, 161, 1887–1895.e1884. [Google Scholar] [CrossRef]
- Myers, R.P.; Shaheen, A.A.; Faris, P.; Aspinall, A.I.; Burak, K.W. Revision of MELD to include serum albumin improves prediction of mortality on the liver transplant waiting list. PLoS ONE 2013, 8, e51926. [Google Scholar] [CrossRef]
- Yoo, J.J.; Chang, J.I.; Moon, J.E.; Sinn, D.H.; Kim, S.G.; Kim, Y.S. Validation of MELD 3.0 scoring system in East Asian patients with cirrhosis awaiting liver transplantation. Liver Transpl. 2023, 29, 1029–1040. [Google Scholar] [CrossRef]
- Yoo, J.J.; Kim, S.G. Reply: Validation of MELD 3.0 scoring system in East Asian patients with cirrhosis awaiting liver transplantation. Liver Transpl. 2023, 29, E38–E39. [Google Scholar] [CrossRef] [PubMed]
- Wong, F. Acute kidney injury in liver cirrhosis: New definition and application. Clin. Mol. Hepatol. 2016, 22, 415–422. [Google Scholar] [CrossRef] [PubMed]
- Choi, Y.J.; Kim, J.H.; Koo, J.K.; Lee, C.I.; Lee, J.Y.; Yang, J.H.; Ko, S.Y.; Choe, W.H.; Kwon, S.Y.; Lee, C.H. Prevalence of renal dysfunction in patients with cirrhosis according to ADQI-IAC working party proposal. Clin. Mol. Hepatol. 2014, 20, 185–191. [Google Scholar] [CrossRef] [PubMed]
- Yoo, J.J.; Kim, S.G.; Kim, Y.S.; Lee, B.; Lee, M.H.; Jeong, S.W.; Jang, J.Y.; Lee, S.H.; Kim, H.S.; Kim, Y.D.; et al. Estimation of renal function in patients with liver cirrhosis: Impact of muscle mass and sex. J. Hepatol. 2019, 70, 847–854. [Google Scholar] [CrossRef] [PubMed]
- Yoo, J.J.; Park, M.Y.; Kim, S.G. Acute kidney injury in patients with acute-on-chronic liver failure: Clinical significance and management. Kidney Res. Clin. Pract. 2023, 42, 286–297. [Google Scholar] [CrossRef] [PubMed]
- Yoo, J.J.; Kwon, J.H.; Kim, Y.S.; Nam, S.W.; Park, J.W.; Kim, H.Y.; Kim, C.W.; Shin, S.K.; Chon, Y.E.; Jang, E.S.; et al. The Role of Urinary N-Acetyl-β-d-glucosaminidase in Cirrhotic Patients with Acute Kidney Injury: Multicenter, Prospective Cohort Study. J. Clin. Med. 2021, 10, 4328. [Google Scholar] [CrossRef] [PubMed]
- Fede, G.; D’Amico, G.; Arvaniti, V.; Tsochatzis, E.; Germani, G.; Georgiadis, D.; Morabito, A.; Burroughs, A.K. Renal failure and cirrhosis: A systematic review of mortality and prognosis. J. Hepatol. 2012, 56, 810–818. [Google Scholar] [CrossRef]
- Sharma, P.; Schaubel, D.E.; Guidinger, M.K.; Merion, R.M. Effect of pretransplant serum creatinine on the survival benefit of liver transplantation. Liver Transpl. 2009, 15, 1808–1813. [Google Scholar] [CrossRef]
- Cullaro, G.; Rubin, J.B.; Fortune, B.E.; Crawford, C.V.; Verna, E.C.; Hsu, C.Y.; Liu, K.D.; Brown, R.S.; Lai, J.C.; Rosenblatt, R. Association between Kidney Dysfunction Types and Mortality Among Hospitalized Patients with Cirrhosis. Dig. Dis. Sci. 2022, 67, 3426–3435. [Google Scholar] [CrossRef]
- Cullaro, G.; Verna, E.C.; Lai, J.C. Association between Renal Function Pattern and Mortality in Patients With Cirrhosis. Clin. Gastroenterol. Hepatol. 2019, 17, 2364–2370. [Google Scholar] [CrossRef]
- Mindikoglu, A.L.; Hernaez, R.; Liu, Y.; Kramer, J.R.; Taylor, T.; Rana, A.; Kanwal, F. Renal Trajectory Patterns Are Associated With Postdischarge Mortality in Patients With Cirrhosis and Acute Kidney Injury. Clin. Gastroenterol. Hepatol. 2020, 18, 1858–1866.e1856. [Google Scholar] [CrossRef] [PubMed]
- Cullaro, G.; Verna, E.C.; McCulloch, C.E.; Lai, J.C. Improving the Model for End-Stage Liver Disease with sodium by incorporating kidney dysfunction types. Hepatology 2022, 76, 689–699. [Google Scholar] [CrossRef] [PubMed]
- Gleisner, A.L.; Jung, H.; Lentine, K.L.; Tuttle-Newhall, J. Renal Dysfunction in Liver Transplant Candidates: Evaluation, Classification and Management in Contemporary Practice. J. Nephrol. Ther. 2012, S4, 6. [Google Scholar] [CrossRef] [PubMed]
- Bernardi, M.; Gitto, S.; Biselli, M. The MELD score in patients awaiting liver transplant: Strengths and weaknesses. J. Hepatol. 2011, 54, 1297–1306. [Google Scholar] [CrossRef] [PubMed]
- Martín-Llahí, M.; Guevara, M.; Torre, A.; Fagundes, C.; Restuccia, T.; Gilabert, R.; Solá, E.; Pereira, G.; Marinelli, M.; Pavesi, M.; et al. Prognostic importance of the cause of renal failure in patients with cirrhosis. Gastroenterology 2011, 140, 488–496.e484. [Google Scholar] [CrossRef] [PubMed]
- Kellum, J.A.; Ronco, C.; Bellomo, R. Conceptual advances and evolving terminology in acute kidney disease. Nat. Rev. Nephrol. 2021, 17, 493–502. [Google Scholar] [CrossRef] [PubMed]
- Levey, A.S. Defining AKD: The Spectrum of AKI, AKD, and CKD. Nephron 2022, 146, 302–305. [Google Scholar] [CrossRef] [PubMed]
- Carvalho, J.R.; Machado, M.V. New Insights About Albumin and Liver Disease. Ann. Hepatol. 2018, 17, 547–560. [Google Scholar] [CrossRef]
- Ripoll, C.; Bari, K.; Garcia-Tsao, G. Serum Albumin Can Identify Patients With Compensated Cirrhosis With a Good Prognosis. J. Clin. Gastroenterol. 2015, 49, 613–619. [Google Scholar] [CrossRef]
- Barry, R.; James, M.T. Guidelines for Classification of Acute Kidney Diseases and Disorders. Nephron 2015, 131, 221–226. [Google Scholar] [CrossRef]
- Cholongitas, E.; Marelli, L.; Kerry, A.; Goodier, D.W.; Nair, D.; Thomas, M.; Patch, D.; Burroughs, A.K. Female liver transplant recipients with the same GFR as male recipients have lower MELD scores--a systematic bias. Am. J. Transplant. 2007, 7, 685–692. [Google Scholar] [CrossRef] [PubMed]
- Allen, A.M.; Heimbach, J.K.; Larson, J.J.; Mara, K.C.; Kim, W.R.; Kamath, P.S.; Therneau, T.M. Reduced Access to Liver Transplantation in Women: Role of Height, MELD Exception Scores, and Renal Function Underestimation. Transplantation 2018, 102, 1710–1716. [Google Scholar] [CrossRef] [PubMed]
- Yoon, J.H.; Jun, C.H.; Kim, J.H.; Yoon, E.L.; Kim, B.S.; Song, J.E.; Suk, K.T.; Kim, M.Y.; Kang, S.H. Changing Trends in Liver Cirrhosis Etiology and Severity in Korea: The Increasing Impact of Alcohol. J. Korean Med. Sci. 2021, 36, e145. [Google Scholar] [CrossRef] [PubMed]





| Variable | Total (N = 2080) |
|---|---|
| Age (years) | 52.53 ± 10.95 |
| Sex | |
| Male | 1411 (67.84%) |
| Female | 669 (32.16%) |
| Etiology | |
| Hepatitis B virus | 820 (39.42%) |
| Hepatitis C virus | 107 (5.14%) |
| Alcohol | 803 (38.61%) |
| Fatty liver | 6 (0.29%) |
| Autoimmune | 92 (4.42%) |
| Others | 252 (12.1%) |
| Ascites | |
| No | 504 (24.23%) |
| Mild to moderate | 1078 (51.83%) |
| Severe | 498 (23.94%) |
| Encephalopathy | |
| No | 1270 (61.06%) |
| Grade I–II | 705 (33.89%) |
| Grade III–IV | 105 (5.05%) |
| AKD or CKD | |
| Normal | 1614 (77.6%) |
| AKD | 112 (5.38%) |
| CKD | 320 (15.35%) |
| AKD on CKD | 34 (1.63%) |
| Total bilirubin (mg/dL) | 7.45 ± 9.84 |
| Serum albumin (mg/dL) | 3.06 ± 0.61 |
| Prothrombin time (INR) | 1.76 ± 1.09 |
| Serum creatinine (mg/dL) | 1.23 ± 1.35 |
| Serum Na (mEq/dL) | 134.94 ± 11.69 |
| Corrected_mGFR | 79.41 ± 27.34 |
| Original MELD | 18.70 ± 9.65 |
| MELD 3.0 with albumin | 20.15 ± 9.66 |
| MELD-Na-KT | 19.69 ± 10.09 |
| 3-Month Survival | Overall Survival | 3-Month Transplant-Free Survival | Overall Transplant-Free Survival | |||||||||
|---|---|---|---|---|---|---|---|---|---|---|---|---|
| All | c-index (se) | iAUC | p-Value * | c-index (se) | iAUC | p-Value * | c-index (se) | iAUC | p-Value * | c-index (se) | iAUC | p-Value * |
| MELD 3.0 with albumin | 0.7139 (0.0183) | 0.6917 | 0.026 | 0.5449 (0.011) | 0.5003 | 0.012 | 0.7873 (0.0086) | 0.7683 | 0.05 | 0.7219 (0.0072) | 0.6713 | 0.037 |
| MELD-Na-KT | 0.7077 (0.0183) | 0.6747 | 0.5405 (0.011) | 0.5062 | 0.7845 (0.0086) | 0.7573 | 0.719 (0.0072) | 0.6656 | ||||
| Male | ||||||||||||
| MELD 3.0 with albumin | 0.6748 (0.0334) | 0.6572 | 0.2210 | 0.5243 (0.0206) | 0.5271 | 0.01 | 0.8058 (0.0137) | 0.7808 | 0.0493 | 0.7404 (0.0123) | 0.6771 | 0.0023 |
| MELD-Na-KT | 0.6705 (0.0334) | 0.6430 | 0.5162 (0.0207) | 0.5344 | 0.8019 (0.0138) | 0.7753 | 0.7345 (0.0123) | 0.6757 | ||||
| Female | ||||||||||||
| MELD 3.0 with albumin | 0.7333 (0.0216) | 0.7091 | 0.0012 | 0.5578 (0.0130) | 0.5154 | 0.002 | 0.7795 (0.0107) | 0.7626 | 0.0147 | 0.7154 (0.0087) | 0.6702 | 0.060 |
| MELD-Na-KT | 0.7232 (0.0220) | 0.6876 | 0.5522 (0.0130) | 0.5071 | 0.7759 (0.0108) | 0.7487 | 0.7133 (0.0088) | 0.6610 | ||||
| 3-Month Survival | Overall Survival | 3-Month Transplant-Free Survival | Overall Transplant-Free Survival | |||||||||
|---|---|---|---|---|---|---|---|---|---|---|---|---|
| c-index (se) | iAUC | p-Value * | c-index (se) | iAUC | p-Value * | c-index (se) | iAUC | p-Value * | c-index (se) | iAUC | p-Value * | |
| Normal (N = 1614) | ||||||||||||
| MELD 3.0 with albumin | 0.720 (0.024) | 0.713 | 0.001 | 0.552 (0.0126) | 0.515 | 0.060 | 0.785 (0.0106) | 0.779 | 0.831 | 0.713 (0.0084) | 0.675 | 0.971 |
| MELD-Na-KT | 0.7089 (0.024) | 0.693 | 0.549 (0.0125) | 0.508 | 0.787 (0.0106) | 0.780 | 0.715 (0.0084) | 0.679 | ||||
| AKD (N = 112) | ||||||||||||
| MELD 3.0 with albumin | 0.679 (0.0496) | 0.658 | 0.023 | 0.570 (0.0402) | 0.533 | 0.151 | 0.765 (0.03) | 0.762 | 0.901 | 0.740 (0.0289) | 0.662 | 0.994 |
| MELD-Na-KT | 0.663 (0.0473) | 0.644 | 0.563 (0.0393) | 0.524 | 0.801 (0.0286) | 0.784 | 0.753 (0.0277) | 0.689 | ||||
| CKD (N = 320) | ||||||||||||
| MELD 3.0 with albumin | 0.624 (0.0434) | 0.615 | 0.020 | 0.459 (0.0331) | 0.608 | 0.110 | 0.747 (0.018) | 0.733 | 0.007 | 0.713 (0.0166) | 0.650 | 0.004 |
| MELD-Na-KT | 0.612 (0.0427) | 0.604 | 0.453 (0.0325) | 0.610 | 0.740 (0.0188) | 0.726 | 0.707 (0.0173) | 0.643 | ||||
| AKD on CKD (N = 34) | ||||||||||||
| MELD 3.0 with albumin | 0.497 (0.101) | 0.517 | 0.09 | 0.408 (0.061) | 0.625 | 0.006 | 0.720 (0.074) | 0.710 | 0.601 | 0.627 (0.059) | 0.597 | 0.180 |
| MELD-Na-KT | 0.473 (0.095) | 0.515 | 0.381 (0.059) | 0.646 | 0.723 (0.078) | 0.707 | 0.617 (0.063) | 0.566 | ||||
Disclaimer/Publisher’s Note: The statements, opinions and data contained in all publications are solely those of the individual author(s) and contributor(s) and not of MDPI and/or the editor(s). MDPI and/or the editor(s) disclaim responsibility for any injury to people or property resulting from any ideas, methods, instructions or products referred to in the content. |
© 2023 by the authors. Licensee MDPI, Basel, Switzerland. This article is an open access article distributed under the terms and conditions of the Creative Commons Attribution (CC BY) license (https://creativecommons.org/licenses/by/4.0/).
Share and Cite
Yeom, K.-M.; Chang, J.-I.; Yoo, J.-J.; Moon, J.E.; Sinn, D.H.; Kim, Y.S.; Kim, S.G. Addition of Kidney Dysfunction Type to MELD-Na for the Prediction of Survival in Cirrhotic Patients Awaiting Liver Transplantation in Comparison with MELD 3.0 with Albumin. Diagnostics 2024, 14, 39. https://doi.org/10.3390/diagnostics14010039
Yeom K-M, Chang J-I, Yoo J-J, Moon JE, Sinn DH, Kim YS, Kim SG. Addition of Kidney Dysfunction Type to MELD-Na for the Prediction of Survival in Cirrhotic Patients Awaiting Liver Transplantation in Comparison with MELD 3.0 with Albumin. Diagnostics. 2024; 14(1):39. https://doi.org/10.3390/diagnostics14010039
Chicago/Turabian StyleYeom, Kyeong-Min, Jong-In Chang, Jeong-Ju Yoo, Ji Eun Moon, Dong Hyun Sinn, Young Seok Kim, and Sang Gyune Kim. 2024. "Addition of Kidney Dysfunction Type to MELD-Na for the Prediction of Survival in Cirrhotic Patients Awaiting Liver Transplantation in Comparison with MELD 3.0 with Albumin" Diagnostics 14, no. 1: 39. https://doi.org/10.3390/diagnostics14010039
APA StyleYeom, K.-M., Chang, J.-I., Yoo, J.-J., Moon, J. E., Sinn, D. H., Kim, Y. S., & Kim, S. G. (2024). Addition of Kidney Dysfunction Type to MELD-Na for the Prediction of Survival in Cirrhotic Patients Awaiting Liver Transplantation in Comparison with MELD 3.0 with Albumin. Diagnostics, 14(1), 39. https://doi.org/10.3390/diagnostics14010039

