Diagnostic Value of Composite and Simplified FDG-PET/CT Scores in Polymyalgia Rheumatica and the Influence of Recent Glucocorticoid Treatment—A Retrospective Diagnostic Cohort Study
Abstract
1. Introduction
- -
- To evaluate the performance of the aforementioned FDG-PET scoring systems on data from our center.
- -
- To devise an alternative, simple scoring system that is easily applicable in a daily clinical setting without sacrificing diagnostic accuracy, and to determine if simple, visual evaluations of the FDG-PET could substitute the more arduous volume-of-interest (VOI)-based analyses without loss of diagnostic accuracy.
- -
- To assess the possible detrimental effect of recent glucocorticoid treatment on the diagnostic accuracy of FDG-PET for the diagnosis of PMR.
2. Materials and Methods
3. Results
3.1. Patients
3.2. InterObserver Agreement
3.3. Semiquantitative and Visual Analyses
3.4. Simplified Visual Score
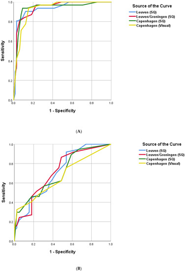
3.5. Evaluation of Previously Published Scoring Systems and Comparison with the Copenhagen Score
3.6. Effect of Treatment with Glucocorticoids
4. Discussion
5. Conclusions
Supplementary Materials
Author Contributions
Funding
Institutional Review Board Statement
Informed Consent Statement
Data Availability Statement
Acknowledgments
Conflicts of Interest
References
- Dejaco, C.; Singh, Y.P.; Perel, P.; Hutchings, A.; Camellino, D.; Mackie, S.; Abril, A.; Bachta, A.; Balint, P.; Barraclough, K.; et al. 2015 Recommendations for the Management of Polymyalgia Rheumatica: A European League against Rheumatism/American College of Rheumatology Collaborative Initiative. Ann. Rheum. Dis. 2015, 74, 1799–1807. [Google Scholar] [CrossRef] [PubMed]
- Dejaco, C.; Brouwer, E.; Mason, J.C.; Buttgereit, F.; Matteson, E.L.; Dasgupta, B. Giant Cell Arteritis and Polymyalgia Rheumatica: Current Challenges and Opportunities. Nat. Rev. Rheumatol. 2017, 13, 578–592. [Google Scholar] [CrossRef]
- Crowson, C.S.; Matteson, E.L.; Myasoedova, E.; Michet, C.J.; Ernste, F.C.; Warrington, K.J.; Davis, J.M., 3rd; Hunder, G.G.; Therneau, T.M.; Gabriel, S.E. The Lifetime Risk of Adult-Onset Rheumatoid Arthritis and Other Inflammatory Autoimmune Rheumatic Diseases. Arthritis Rheum. 2011, 63, 633–639. [Google Scholar] [CrossRef] [PubMed]
- Mackie, S.L.; Koduri, G.; Hill, C.L.; Wakefield, R.J.; Hutchings, A.; Loy, C.; Dasgupta, B.; Wyatt, J.C. Accuracy of Musculoskeletal Imaging for the Diagnosis of Polymyalgia Rheumatica: Systematic Review. RMD Open 2015, 1, e000100. [Google Scholar] [CrossRef]
- Mochizuki, T.; Tsukamoto, E.; Kuge, Y.; Kanegae, K.; Zhao, S.; Hikosaka, K.; Hosokawa, M.; Kohanawa, M.; Tamaki, N. FDG Uptake and Glucose Transporter Subtype Expressions in Experimental Tumor and Inflammation Models. J. Nucl. Med. 2001, 42, 1551–1555. [Google Scholar]
- Rehak, Z.; Vasina, J.; Ptacek, J.; Kazda, T.; Fojtik, Z.; Nemec, P. PET/CT in Giant Cell Arteritis: High (18)F-FDG Uptake in the Temporal, Occipital and Vertebral Arteries. Rev. Esp. Med. Nucl. Imagen. Mol. 2016, 35, 398–401. [Google Scholar] [CrossRef]
- van der Geest, K.S.M.; Treglia, G.; Glaudemans, A.W.J.M.; Brouwer, E.; Jamar, F.; Slart, R.H.J.A.; Gheysens, O. Diagnostic Value of [18F]FDG-PET/CT in Polymyalgia Rheumatica: A Systematic Review and Meta-Analysis. Eur. J. Nucl. Med. Mol. Imaging 2021, 48, 1876–1889. [Google Scholar] [CrossRef] [PubMed]
- van der Geest, K.S.M.; van Sleen, Y.; Nienhuis, P.; Sandovici, M.; Westerdijk, N.; Glaudemans, A.W.J.M.; Brouwer, E.; Slart, R.H.J.A. Comparison and Validation of FDG-PET/CT Scores for Polymyalgia Rheumatica. Rheumatology 2021, 61, 1072–1082. [Google Scholar] [CrossRef] [PubMed]
- Henckaerts, L.; Gheysens, O.; Vanderschueren, S.; Goffin, K.; Blockmans, D. Use of 18F-Fluorodeoxyglucose Positron Emission Tomography in the Diagnosis of Polymyalgia Rheumatica—A Prospective Study of 99 Patients. Rheumatology 2018, 57, 1908–1916. [Google Scholar] [CrossRef] [PubMed]
- Flaus, A.; Amat, J.; Prevot, N.; Olagne, L.; Descamps, L.; Bouvet, C.; Barres, B.; Valla, C.; Mathieu, S.; Andre, M.; et al. Decision Tree With Only Two Musculoskeletal Sites to Diagnose Polymyalgia Rheumatica Using [18F]FDG PET-CT. Front. Med. 2021, 8, 646974. [Google Scholar] [CrossRef] [PubMed]
- Owen, C.E.; Poon, A.M.T.; Yang, V.; McMaster, C.; Lee, S.T.; Liew, D.F.L.; Leung, J.L.; Scott, A.M.; Buchanan, R.R.C. Abnormalities at Three Musculoskeletal Sites on Whole-Body Positron Emission Tomography/Computed Tomography Can Diagnose Polymyalgia Rheumatica with High Sensitivity and Specificity. Eur. J. Nucl. Med. Mol. Imaging 2020, 47, 2461–2468. [Google Scholar] [CrossRef] [PubMed]
- Lund-Petersen, A.; Voss, A.; Laustrup, H. PET-CT Findings in Patients with Polymyalgia Rheumatica without Symptoms of Cranial Ischaemia. Dan. Med. J. 2017, 64, A5410. [Google Scholar] [PubMed]
- Sondag, M.; Guillot, X.; Verhoeven, F.; Blagosklonov, O.; Prati, C.; Boulahdour, H.; Wendling, D. Utility of 18F-Fluoro-Dexoxyglucose Positron Emission Tomography for the Diagnosis of Polymyalgia Rheumatica: A Controlled Study. Rheumatology 2016, 55, 1452–1457. [Google Scholar] [CrossRef] [PubMed]
- Wahl, R.L.; Jacene, H.; Kasamon, Y.; Lodge, M.A. From RECIST to PERCIST: Evolving Considerations for PET Response Criteria in Solid Tumors. J. Nucl. Med. 2009, 50 (Suppl. S1), 122S–150S. [Google Scholar] [CrossRef]
- Dasgupta, B.; Cimmino, M.A.; Kremers, H.M.; Schmidt, W.A.; Schirmer, M.; Salvarani, C.; Bachta, A.; Dejaco, C.; Duftner, C.; Jensen, H.S.; et al. 2012 Provisional Classification Criteria for Polymyalgia Rheumatica: A European League against Rheumatism/American College of Rheumatology Collaborative Initiative. Arthritis Rheum. 2012, 64, 943–954. [Google Scholar] [CrossRef]
- Nielsen, B.D.; Gormsen, L.C.; Hansen, I.T.; Keller, K.K.; Therkildsen, P.; Hauge, E.M. Three Days of High-Dose Glucocorticoid Treatment Attenuates Large-Vessel 18F-FDG Uptake in Large-Vessel Giant Cell Arteritis but with a Limited Impact on Diagnostic Accuracy. Eur. J. Nucl. Med. Mol. Imaging 2018, 45, 1119–1128. [Google Scholar] [CrossRef]



| Variable | All (n = 198) | PMR or PMR + GCA (n = 78) | Non-PMR (n = 120) | |
|---|---|---|---|---|
| Age (years) | 68 ± 11 (range 42–92) | 71 ± 9 (range 46–88) | 66 ± 12 (range 42–92) | |
| Sex (female/male) | 120 (61%)/78 (39%) | 45 (58%)/33 (42%) | 75 (63%)/45 (37%) | |
| Diagnosis | ||||
| PMR | 70 (35%) | 70 (90%) | - | |
| GCA | 14 (7%) | - | 14 (12%) | |
| PMR + GCA | 8 (4%) | 8 (10%) | - | |
| Rheumatoid arthritis | 24 (12%) | - | 24 (20%) | |
| Other inflammatory diseases | 29 (15%) | - | 29 (24%) | |
| Cancer | 8 (4%) | - | 8 (7%) | |
| Other/no objective disease | 45 (23%) | - | 45 (38%) | |
| Glucocorticoid ≤ 4 weeks before FDG-PET | 88 (44%) | 42 (54%) | 46 (38%) | |
| Semiquantitative Measures | Visual Measures | |||||||
|---|---|---|---|---|---|---|---|---|
| PMR | Non-PMR | p-Value | Kendall’s τb | PMR | Non-PMR | p-Value | Kendall’s τb | |
| (a) | ||||||||
| Acromioclavicular joints | 0.90 | 0.47 | 0.003 | 0.265 | 0.92 | 0.40 | 0.001 | 0.311 |
| Shoulder joints | 1.89 | 0.88 | <0.001 | 0.590 | 1.57 | 0.51 | <0.001 | 0.553 |
| Sternoclavicular joints | 1.35 | 0.38 | <0.001 | 0.534 | 1.19 | 0.24 | <0.001 | 0.562 |
| Hip joints | 1.68 | 0.63 | <0.001 | 0.536 | 1.23 | 0.6 | <0.001 | 0.559 |
| Iliopectineal bursae | 0.50 | 0.23 | 0.122 | 0.145 | 0.75 | 0.12 | <0.001 | 0.506 |
| Trochanteric bursae | 1.60 | 0.83 | <0.001 | 0.470 | 1.18 | 0.46 | <0.001 | 0.453 |
| Ischiogluteal bursae | 1.67 | 0.45 | <0.001 | 0.611 | 1.47 | 0.25 | <0.001 | 0.657 |
| Pubic joint | 1.08 | 0.33 | <0.001 | 0.389 | 0.72 | 0.11 | <0.001 | 0.435 |
| Cervical interspinous bursae | 0.56 | 0.24 | 0.016 | 0.227 | 0.42 | 0.11 | 0.004 | 0.276 |
| Lumbar interspinous bursae | 1.11 | 0.57 | 0.001 | 0.306 | 0.89 | 0.19 | <0.001 | 0.428 |
| (b) | ||||||||
| Acromioclavicular joints | 0.93 | 0.54 | 0.034 | 0.246 | 0.94 | 0.35 | 0.002 | 0.359 |
| Shoulder joints | 1.94 | 1.09 | <0.001 | 0.674 | 1.61 | 0.75 | <0.001 | 0.502 |
| Sternoclavicular joints | 1.33 | 0.52 | <0.001 | 0.466 | 1.20 | 0.31 | <0.001 | 0.501 |
| Hip joints | 1.73 | 0.69 | <0.001 | 0.587 | 1.28 | 0.25 | <0.001 | 0.580 |
| Iliopectineal bursae | 0.52 | 0.29 | 0.245 | 0.145 | 0.78 | 0.25 | 0.004 | 0.370 |
| Trochanteric bursae | 1.65 | 0.92 | <0.001 | 0.477 | 1.22 | 0.54 | 0.001 | 0.442 |
| Ischiogluteal bursae | 1.70 | 0.41 | <0.001 | 0.667 | 1.50 | 0.26 | <0.001 | 0.637 |
| Pubic joint | 1.09 | 0.44 | 0.008 | 0.327 | 0.74 | 0.22 | 0.010 | 0.319 |
| Cervical interspinous bursae | 0.57 | 0.33 | 0.163 | 0.172 | 0.43 | 0.19 | 0.110 | 0.200 |
| Lumbar interspinous bursae | 1.11 | 0.48 | 0.003 | 0.362 | 0.91 | 0.19 | <0.001 | 0.429 |
| GC-Naïve Sensitivity % (CI) | GC-Naïve Specificity % (CI) | GC-Naïve Accuracy % (CI) | GC-Treated Sensitivity % (CI) | GC-Treated Specificity % (CI) | GC-Treated Accuracy % (CI) | Reported Sensitivity (%) | Reported Specificity (%) | Cutoff Score (≥) | |
|---|---|---|---|---|---|---|---|---|---|
| Leuven SQ [9] | 81 (63–93) | 95 (87–99) | 91 (83–96) | 24 (12–41) | 93 (80–98) | 60 (49–71) | 85 † | 88 † | 16 |
| Leuven/Groningen SQ [8] | 84 (66–95) | 89 (79–96) | 88 (79–94) | 35 (20–53) | 83 (68–93) | 60 (49–71) | 90 | 84 | 8 |
| Saint-Etienne SQ [10] | 84 (67–95) | 69 (57–80) | 74 (64–83) | 53 (36–69) | 65 (49–79) | 59 (48–70) | 79 ‡ | 80 ‡ | - |
| Heidelberg SQ [11] | 86 (71–95) | 91 (82–97) | 90 (82–95) | 36 (22–52) | 77 (62–88) | 57 (46–68) | 91 | 92 | - |
| Copenhagen SQ | 89 (74–97) | 87 (77–94) | 88 (80–93) | 43 (28–59) | 72 (57–84) | 58 (47–68) | - | - | 5 |
| Copenhagen Vis | 92 (78–98) | 86 (75–93) | 88 (80–93) | 38 (24–54) | 80 (65–90) | 60 (49–70) | - | - | 4 |
Disclaimer/Publisher’s Note: The statements, opinions and data contained in all publications are solely those of the individual author(s) and contributor(s) and not of MDPI and/or the editor(s). MDPI and/or the editor(s) disclaim responsibility for any injury to people or property resulting from any ideas, methods, instructions or products referred to in the content. |
© 2023 by the authors. Licensee MDPI, Basel, Switzerland. This article is an open access article distributed under the terms and conditions of the Creative Commons Attribution (CC BY) license (https://creativecommons.org/licenses/by/4.0/).
Share and Cite
Brinth, L.S.; Hansen, A.; Jensen, D.V.; Madsen, O.R.; Broholm, R.; Krakauer, M. Diagnostic Value of Composite and Simplified FDG-PET/CT Scores in Polymyalgia Rheumatica and the Influence of Recent Glucocorticoid Treatment—A Retrospective Diagnostic Cohort Study. Diagnostics 2023, 13, 514. https://doi.org/10.3390/diagnostics13030514
Brinth LS, Hansen A, Jensen DV, Madsen OR, Broholm R, Krakauer M. Diagnostic Value of Composite and Simplified FDG-PET/CT Scores in Polymyalgia Rheumatica and the Influence of Recent Glucocorticoid Treatment—A Retrospective Diagnostic Cohort Study. Diagnostics. 2023; 13(3):514. https://doi.org/10.3390/diagnostics13030514
Chicago/Turabian StyleBrinth, Louise Schouborg, Annette Hansen, Dorte Vendelbo Jensen, Ole Rintek Madsen, Rikke Broholm, and Martin Krakauer. 2023. "Diagnostic Value of Composite and Simplified FDG-PET/CT Scores in Polymyalgia Rheumatica and the Influence of Recent Glucocorticoid Treatment—A Retrospective Diagnostic Cohort Study" Diagnostics 13, no. 3: 514. https://doi.org/10.3390/diagnostics13030514
APA StyleBrinth, L. S., Hansen, A., Jensen, D. V., Madsen, O. R., Broholm, R., & Krakauer, M. (2023). Diagnostic Value of Composite and Simplified FDG-PET/CT Scores in Polymyalgia Rheumatica and the Influence of Recent Glucocorticoid Treatment—A Retrospective Diagnostic Cohort Study. Diagnostics, 13(3), 514. https://doi.org/10.3390/diagnostics13030514

