Digital Transformation in Musculoskeletal Ultrasound: Acceptability of Blended Learning
Abstract
:1. Introduction
1.1. Status Quo: Teaching of Ultrasound to Physicians in Germany
1.2. Teaching Materials, Teaching Methods, and Course Formats
1.3. Research Problem and Aim
2. Methods
2.1. Study Design, Study Process, and Overview of Teaching Concepts
2.2. Description of Course Model A
2.3. Description of Educational Model B
2.4. Questionnaire
2.5. Statistical Analysis
3. Results
3.1. Data Description
3.2. Study Population
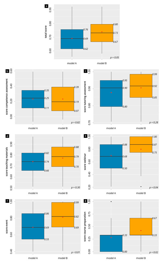
3.3. Survey Results
4. Discussion
4.1. Discussion of “Blended Learning” Formats
4.2. Discussion of the (Digital) Course Preparation
4.3. Discussion of Webinar versus In-Person Teaching
4.4. Limitations
4.5. Conclusions
Supplementary Materials
Author Contributions
Funding
Institutional Review Board Statement
Informed Consent Statement
Data Availability Statement
Acknowledgments
Conflicts of Interest
References
- Kane, D.; Balint, P.V.; Sturrock, R.; Grassi, W. Musculoskeletal ultrasound--a state of the art review in rheumatology. Part 1: Current controversies and issues in the development of musculoskeletal ultrasound in rheumatology. Rheumatology 2004, 43, 823–828. [Google Scholar] [CrossRef]
- Jackson, S.S.; Le, H.M.; Kerkhof, D.L.; Corrado, G.D. Point-of-Care Ultrasound, the New Musculoskeletal Physical Examination. Curr. Sports Med. Rep. 2021, 20, 109–112. [Google Scholar] [CrossRef]
- Mankad, K.; Hoey, E.; Grainger, A.J.; Barron, D.A. Trauma musculoskeletal ultrasound. Emerg. Radiol. 2008, 15, 83–89. [Google Scholar] [CrossRef] [PubMed]
- Blank, V.; Strobel, D.; Karlas, T. Digital Training Formats in Ultrasound Diagnostics for physicians: What options are available and how can they be successfully integrated into current DEGUM certified course concepts? Ultraschall Med. 2022, 43, 428–434. [Google Scholar] [CrossRef] [PubMed]
- Höhne, E.; Recker, F.; Schmok, E.; Brossart, P.; Raupach, T.; Schäfer, V.S. Conception and Feasibility of a Digital Tele-Guided Abdomen, Thorax, and Thyroid Gland Ultrasound Course for Medical Students (TELUS study). Ultraschall Med. 2021, 44, 194–202. [Google Scholar] [CrossRef] [PubMed]
- Herbert, A.; Russell, F.M.; Zahn, G.; Zakeri, B.; Motzkus, C.; Wallach, P.M.; Ferre, R.M. Point-of-Care Ultrasound Education During a Pandemic: From Webinar to Progressive Dinner-Style Bedside Learning. Cureus 2022, 14, e25141. [Google Scholar] [CrossRef] [PubMed]
- Bundesvereinigung, K. Mehr Flexibilität bei Teilnahme an Ultraschallkursen. Available online: https://www.kbv.de/html/1150_54959.php (accessed on 12 December 2022).
- KBV. Ultraschallvereinbarung. Available online: https://www.kbv.de/media/sp/Ultraschallvereinbarung.pdf (accessed on 25 May 2022).
- Bundesvereinigung, K. Ultraschalldiagnostik. Available online: https://www.kbv.de/html/ultraschall.php (accessed on 2 December 2022).
- DEGUM e. V. Über die DEGUM. Available online: https://www.degum.de/die-gesellschaft/ueber-die-degum.html (accessed on 6 July 2022).
- DEGUM e. V. Curriculum Abdomen. Available online: https://www.degum.de/fachgebiete/sektionen/innere-medizin/kurscurriculum.html (accessed on 17 October 2023).
- Sektion-Kopf-Hals, D. Kurscurriculum der Sektion Kopf—Hals. Available online: https://www.degum.de/fileadmin/dokumente/sektionen/kopf-hals/KPF_2015__Kurscurriculum_2015-05-18.pdf (accessed on 10 October 2023).
- DEGUM. Arbeitskreis Bewegungsorgane. Available online: https://www.degum.de/fachgebiete/arbeitskreise/bewegungsorgane.html (accessed on 12 September 2023).
- Pfeil, A.; Brash, B. Unterrichen Mit Digitalen Medien: Buch Mit DVD; Klett (Ernst), Verlag, Stuttgart: Stuttgart, Germany, 2017. [Google Scholar]
- Sangrà, A.; Vlachopoulos, D.; Cabrera, N. Building an Inclusive Definition of E-Learning: An Approach to the Conceptual Framework. Int. Rev. Res. Open Distrib. Learn. 2012, 13, 145–159. [Google Scholar] [CrossRef]
- Ruiz, J.G.; Mintzer, M.J.; Leipzig, R.M. The impact of E-learning in medical education. Acad. Med. 2006, 81, 207–212. [Google Scholar] [CrossRef]
- Hempel, D.; Haunhorst, S.; Sinnathurai, S.; Seibel, A.; Recker, F.; Heringer, F.; Michels, G.; Breitkreutz, R. Social media to supplement point-of-care ultrasound courses: The “sandwich e-learning” approach. A randomized trial. Crit. Ultrasound J. 2016, 8, 3. [Google Scholar] [CrossRef]
- Vallée, A.; Blacher, J.; Cariou, A.; Sorbets, E. Blended Learning Compared to Traditional Learning in Medical Education: Systematic Review and Meta-Analysis. J. Med. Internet Res. 2020, 22, e16504. [Google Scholar] [CrossRef]
- Stockwell, B.R.; Stockwell, M.S.; Cennamo, M.; Jiang, E. Blended Learning Improves Science Education. Cell 2015, 162, 933–936. [Google Scholar] [CrossRef]
- Mahnken, A.H.; Baumann, M.; Meister, M.; Schmitt, V.; Fischer, M.R. Blended learning in radiology: Is self-determined learning really more effective? Eur. J. Radiol. 2011, 78, 384–387. [Google Scholar] [CrossRef] [PubMed]
- Chiswell, M.; Smissen, A.; Ugalde, A.; Lawson, D.; Whiffen, R.; Brockington, S.; Boltong, A. Using Webinars for the Education of Health Professionals and People Affected by Cancer: Processes and Evaluation. J. Cancer Educ. 2018, 33, 583–591. [Google Scholar] [CrossRef]
- Gegenfurtner, A.; Ebner, C. Webinars in higher education and professional training: A meta-analysis and systematic review of randomized controlled trials. Educ. Res. Rev. 2019, 28, 100293. [Google Scholar] [CrossRef]
- Verma, A.; Verma, S.; Garg, P.; Yadav, S.; Banoth, B. Webinar as Future of Continued Medical Education: A Survey. Indian J. Surg. 2021, 84, 336–337. [Google Scholar] [CrossRef]
- Ebner, C.; Gegenfurtner, A. Learning and Satisfaction in Webinar, Online, and Face-to-Face Instruction: A Meta-Analysis. Front. Educ. 2019, 4, 92. [Google Scholar] [CrossRef]
- Metzger, M.J.; Flanagin, A.J. Using Web 2.0 technologies to enhance evidence-based medical information. J. Health Commun. 2011, 16 (Suppl. S1), 45–58. [Google Scholar] [CrossRef]
- Biradar, A. Webinar: The New Way of Continued Medical Education. Indian J. Surg. 2021, 83, 1099–1100. [Google Scholar] [CrossRef]
- Sura, K.; Lischalk, J.W.; Leckie, J.; Welsh, J.S.; Mundt, A.J.; Fernandez, E. Webinar-Based Contouring Education for Residents. J. Am. Coll. Radiol. 2017, 14, 1074–1079.e1073. [Google Scholar] [CrossRef]
- Meeta, M.; Tandon, V. Webinar: A Virtual Reality in Medical Communication. J. Midlife Health 2020, 11, 185–186. [Google Scholar] [CrossRef]
- Wu, W.T.; Chang, K.V.; Han, D.S.; Özçakar, L. Musculoskeletal ultrasound workshops in postgraduate physician training: A pre- and post-workshop survey of 156 participants. BMC Med. Educ. 2019, 19, 362. [Google Scholar] [CrossRef]
- Neubauer, R.; Recker, F.; Bauer, C.J.; Brossart, P.; Schäfer, V.S. The Current Situation of Musculoskeletal Ultrasound Education: A Systematic Literature Review. Ultrasound Med. Biol. 2023, 49, 1363–1374. [Google Scholar] [CrossRef]
- Meng, S. Collateral Effect of the Pandemic on Ultrasound. Ultraschall Med. 2020, 41, 616–617. [Google Scholar] [CrossRef] [PubMed]
- Janjigian, M.; Dembitzer, A.; Srisarajivakul-Klein, C.; Mednick, A.; Hardower, K.; Cooke, D.; Zabar, S.; Sauthoff, H. Design and comparison of a hybrid to a traditional in-person point-of-care ultrasound course. Ultrasound J. 2022, 14, 12. [Google Scholar] [CrossRef] [PubMed]
- VISIBLE BODY. Atlas der Humananatomie. Available online: https://www.visiblebody.com/de/anatomy-and-physiology-apps/ (accessed on 17 October 2023).
- Martin, F.; Sun, T.; Westine, C.D. A systematic review of research on online teaching and learning from 2009 to 2018. Comput. Educ. 2020, 159, 104009. [Google Scholar] [CrossRef] [PubMed]
- Akyuz, Y. The Importance and Comprehensive Analysis of Distance Learning in the COVID-19 Pandemic. Eur. Mod. Stud. J. 2022, 5, 243–263. [Google Scholar]
- Beek, S.v.d.; Bellhäuser, H.; Karlen, Y.; Hertel, S. New ways in fostering self-regulated learning at university: How effective are web-based courses when compared to regular attendance-based courses? Z. Für Pädagogische Psychol. 2020, 34, 117–129. [Google Scholar] [CrossRef]
- Soni, V.D. Global Impact of E-learning during COVID 19. Electron. J. 2020, 12. [Google Scholar]
- Nourkami-Tutdibi, N.; Hofer, M.; Zemlin, M.; Abdul-Khaliq, H.; Tutdibi, E. TEACHING MUST GO ON: Flexibility and advantages of peer assisted learning during the COVID-19 pandemic for undergraduate medical ultrasound education—Perspective from the “sonoBYstudents” ultrasound group. GMS J. Med. Educ. 2021, 38, Doc5. [Google Scholar] [CrossRef]
- Darras, K.E.; Spouge, R.J.; de Bruin, A.B.H.; Sedlic, A.; Hague, C.; Forster, B.B. Undergraduate Radiology Education During the COVID-19 Pandemic: A Review of Teaching and Learning Strategies [Formula: See text]. Can. Assoc. Radiol. J. 2021, 72, 194–200. [Google Scholar] [CrossRef]
- Röhrig, S.; Hempel, D.; Stenger, T.; Armbruster, W.; Seibel, A.; Walcher, F.; Breitkreutz, R. Welche Lehrmethoden werden für die Ultraschallausbildung erwartet? Der Anaesthesist 2014, 63, 745–752. [Google Scholar] [CrossRef] [PubMed]
- Nilsson, P.M.; Todsen, T.; Subhi, Y.; Graumann, O.; Nolsøe, C.P.; Tolsgaard, M.G. Cost-Effectiveness of Mobile App-Guided Training in Extended Focused Assessment with Sonography for Trauma (eFAST): A Randomized Trial. Ultraschall Med. 2017, 38, 642–647. [Google Scholar] [CrossRef]
- Miyata, K.; Aita, Y.; Nakajima, S.; Sekimoto, M.; Setaka, Y.; Tagoya, Y.; Aoyama, T.; Maeno, T.; Monma, M.; Tomita, K.; et al. Effectiveness of a case-based digital learning interprofessional workshop involving undergraduates in medical technology, radiological science, and physical therapy: A pre-post intervention study. PLoS ONE 2022, 17, e0270864. [Google Scholar] [CrossRef] [PubMed]
- Hempel, D.; Sinnathurai, S.; Haunhorst, S.; Seibel, A.; Michels, G.; Heringer, F.; Recker, F.; Breitkreutz, R. Influence of case-based e-learning on students’ performance in point-of-care ultrasound courses: A randomized trial. Eur. J. Emerg. Med. 2016, 23, 298–304. [Google Scholar] [CrossRef]
- Olivares Olivares, S.L.; Hernández, R.I.E.; Corolla, M.L.T.; Alvarez, J.P.N.; Sánchez-Mendiola, M. MOOC Learning Assessment in Clinical Settings: Analysis from Quality Dimensions. Med. Sci. Educ. 2021, 31, 447–455. [Google Scholar] [CrossRef]
- Dietrich, C.F.; Rudd, L.; Saftiou, A.; Gilja, O.H. The EFSUMB website, a great source for ultrasound information and education. Med. Ultrason. 2017, 19, 102–110. [Google Scholar] [CrossRef] [PubMed]
- Merkel, D. Sono. Gallery. Available online: https://sono.gallery/ (accessed on 6 December 2022).
- WFUMB. e-Learning Task force. Available online: https://wfumb.info/portfolio-category/e-learning-task-force/ (accessed on 28 May 2022).
- Costa, F.; Servadei, F. Webinar During COVID-19 Pandemic: Necessity or Uncontrolled Phenomena? World Neurosurg. 2021, 154, 186. [Google Scholar] [CrossRef] [PubMed]
- EFSUMB. Webinars Archive. Available online: https://efsumb.org/webinars-archive/ (accessed on 13 August 2022).
- Topor, D.R.; Budson, A.E. Twelve tips to present an effective webinar. Med. Teach. 2020, 42, 1216–1220. [Google Scholar] [CrossRef]
- Notheisen, T.; Seibel, A.; Eichholz, R.; Celebi, N.; Franz, M.; Weber, S.; Heringer, F.; Breitkreutz, R.; Greim, C.A. Concept of a module “Train the Trainer” for the DGAI learning system “Anaesthesia Focussed Sonography”. Anasthesiol. Und Intensivmed. 2013, 54, 80–87. [Google Scholar]
- Höhne, E.; Recker, F.; Dietrich, C.F.; Schäfer, V.S. Assessment Methods in Medical Ultrasound Education. Front. Med. 2022, 9, 871957. [Google Scholar] [CrossRef]



| Topic Area | Subitems | |
|---|---|---|
| Baseline |
|
|
| Course |
|
|
| Webinar |
|
|
| Course Preparation |
|
|
| Teaching Materials |
|
|
| Competency Self-Evaluation |
|
|
| Evaluation of the Tutors |
|
|
| Model A (n = 41) | Model B (n = 30) | |
|---|---|---|
| Age (mean [SD]) | 39.0 [8.3] | 37.4 [8.0] |
| Sex | ||
| female (n [%]) | 13 [32] | 15 [50] |
| male (n [%]) | 28 [68] | 15 [50] |
| Position | ||
| medical student (n [%]) | 0 [0] | 2 [6.7] |
| medical resident (n [%]) | 18 [44.8] | 11 [36.7] |
| physician (n [%]) | 16 [39.7] | 14 [46.7] |
| senior physician (n [%]) | 5 [12.1] | 2 [6.7] |
| department chief (n [%]) | 1 [3.4] | 1 [3.3] |
| Ultrasound Experience | ||
| beginner (n [%]) | 30 [73.4] | 23 [76.6] |
| advanced (n [%]) | 11 [27.6] | 7 [23.3] |
| Course Preparation | ||
| textbooks | ||
| yes (n [%]) | 19 [46.3] | 12 [40.0] |
| no (n [%]) | 22 [53.7] | 18 [60.0] |
| e-learning (+videos) | ||
| yes (n [%]) | 26 [63.4] | 30 [100.0] |
| no (n [%]) | 15 [36.6] | 0 [0.0] |
| online offerings | ||
| yes (n [%]) | 20 [48.8] | 10 [33.3] |
| no (n [%]) | 21 [51.2] | 20 [66.7] |
| webinar participation | ||
| yes (n [%]) | 21 [51.2] | 28 [93.3] |
| no (n [%]) | 20 [48.8] | 2 [6.7] |
Disclaimer/Publisher’s Note: The statements, opinions and data contained in all publications are solely those of the individual author(s) and contributor(s) and not of MDPI and/or the editor(s). MDPI and/or the editor(s) disclaim responsibility for any injury to people or property resulting from any ideas, methods, instructions or products referred to in the content. |
© 2023 by the authors. Licensee MDPI, Basel, Switzerland. This article is an open access article distributed under the terms and conditions of the Creative Commons Attribution (CC BY) license (https://creativecommons.org/licenses/by/4.0/).
Share and Cite
Weimer, A.M.; Berthold, R.; Schamberger, C.; Vieth, T.; Balser, G.; Berthold, S.; Stein, S.; Müller, L.; Merkel, D.; Recker, F.; et al. Digital Transformation in Musculoskeletal Ultrasound: Acceptability of Blended Learning. Diagnostics 2023, 13, 3272. https://doi.org/10.3390/diagnostics13203272
Weimer AM, Berthold R, Schamberger C, Vieth T, Balser G, Berthold S, Stein S, Müller L, Merkel D, Recker F, et al. Digital Transformation in Musculoskeletal Ultrasound: Acceptability of Blended Learning. Diagnostics. 2023; 13(20):3272. https://doi.org/10.3390/diagnostics13203272
Chicago/Turabian StyleWeimer, Andreas Michael, Rainer Berthold, Christian Schamberger, Thomas Vieth, Gerd Balser, Svenja Berthold, Stephan Stein, Lukas Müller, Daniel Merkel, Florian Recker, and et al. 2023. "Digital Transformation in Musculoskeletal Ultrasound: Acceptability of Blended Learning" Diagnostics 13, no. 20: 3272. https://doi.org/10.3390/diagnostics13203272
APA StyleWeimer, A. M., Berthold, R., Schamberger, C., Vieth, T., Balser, G., Berthold, S., Stein, S., Müller, L., Merkel, D., Recker, F., Schmidmaier, G., Rink, M., Künzel, J., Kloeckner, R., & Weimer, J. (2023). Digital Transformation in Musculoskeletal Ultrasound: Acceptability of Blended Learning. Diagnostics, 13(20), 3272. https://doi.org/10.3390/diagnostics13203272

