Deep Learning to Predict the Cell Proliferation and Prognosis of Non-Small Cell Lung Cancer Based on FDG-PET/CT Images
Abstract
:1. Introduction
2. Materials and Methods
2.1. Patients
2.2. PET/CT Image Acquisition
2.3. Ki-67 Expression Measurement
2.4. Tumor Segmentation
2.5. Development of the Deep Learning Model
2.6. Statistical Analysis
3. Results
3.1. Clinical Characteristics of Patients
3.2. Performance of Deep Learning Models
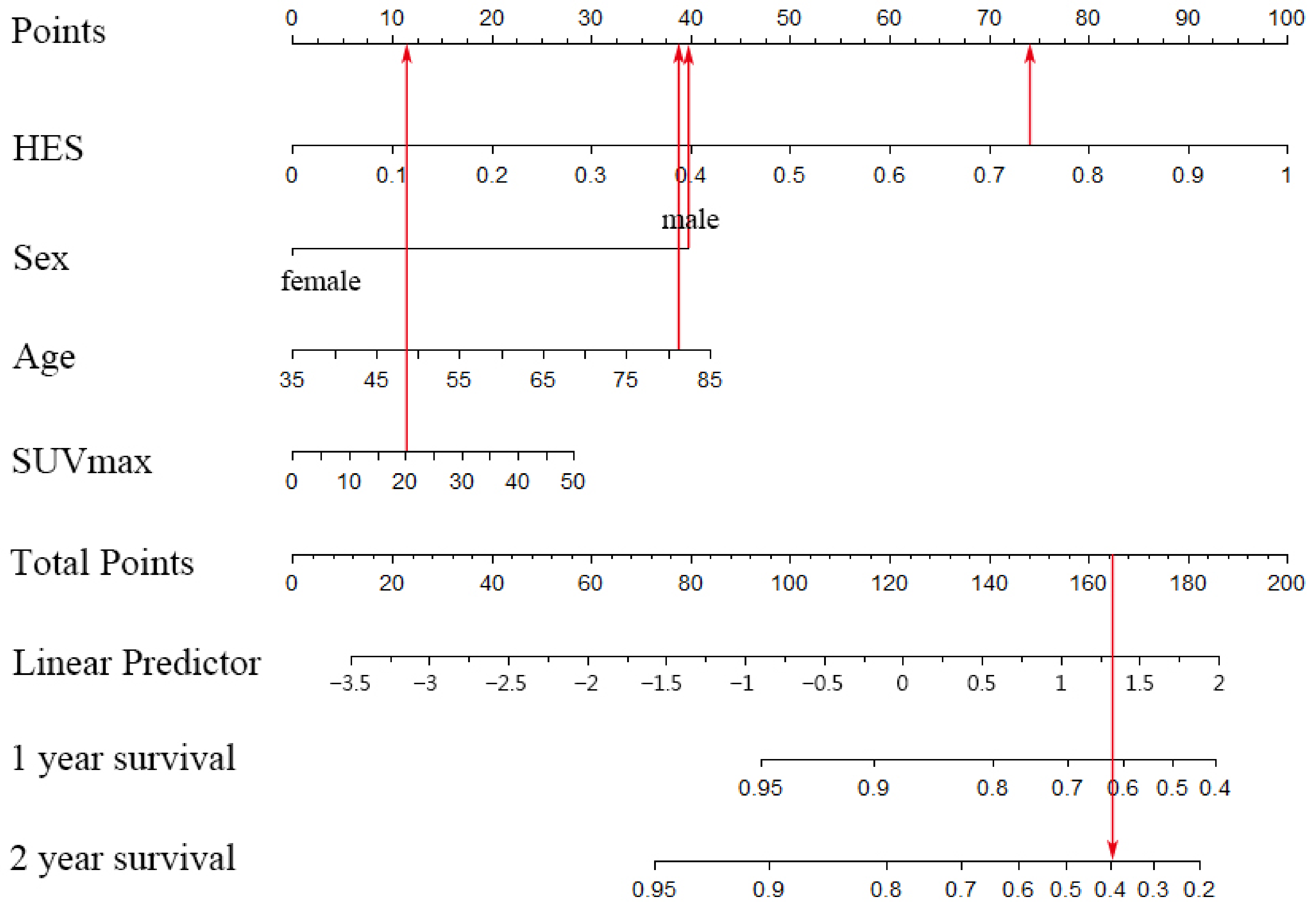
3.3. Prognostic Study Based on Combined Model Parameters
4. Discussion
5. Conclusions
Author Contributions
Funding
Institutional Review Board Statement
Informed Consent Statement
Data Availability Statement
Conflicts of Interest
References
- World Cancer Report. Cancer Research for Cancer Prevention. BW WCWES, Ed.; IARC Press: Lyon, France, 2020. [Google Scholar]
- Hochhegger, B.; Alves, G.R.; Irion, K.L.; Fritscher, C.C.; Fritscher, L.G.; Concatto, N.H.; Marchiori, E. PET/CT imaging in lung cancer: Indications and findings. J. Bras. Pneumol. 2015, 41, 264–274. [Google Scholar] [CrossRef]
- Peng, H.; Tan, X.; Wang, Y.; Dai, L.; Liang, G.; Guo, J.; Chen, M. Clinical significance of Ki67 and circulating tumor cells with an epithelial-mesenchymal transition phenotype in non-small cell lung cancer. Am. J. Transl. Res. 2020, 12, 2916–2928. [Google Scholar] [PubMed]
- Scholzen, T.; Gerdes, J. The Ki-67 protein: From the known and the unknown. J. Cell Physiol. 2000, 182, 311–322. [Google Scholar] [CrossRef]
- Xie, S.; Liu, Y.; Qiao, X.; Hua, R.X.; Wang, K.; Shan, X.F.; Cai, Z.G. What is the Prognostic Significance of Ki-67 Positivity in Oral Squamous Cell Carcinoma? J. Cancer 2016, 7, 758–767. [Google Scholar] [CrossRef] [PubMed]
- Klapper, W.; Hoster, E.; Determann, O.; Oschlies, I.; van der Laak, J.; Berger, F.; Bernd, H.W.; Cabeçadas, J.; Campo, E.; Cogliatti, S.; et al. Ki-67 as a prognostic marker in mantle cell lymphoma-consensus guidelines of the pathology panel of the European MCL Network. J. Hematop. 2009, 2, 103–111. [Google Scholar] [CrossRef]
- de Azambuja, E.; Cardoso, F.; de Castro, G., Jr.; Colozza, M.; Mano, M.S.; Durbecq, V.; Sotiriou, C.; Larsimont, D.; Piccart-Gebhart, M.J.; Paesmans, M. Ki-67 as prognostic marker in early breast cancer: A meta-analysis of published studies involving 12,155 patients. Br. J. Cancer 2007, 96, 1504–1513. [Google Scholar] [CrossRef] [PubMed]
- Ciancio, N.; Galasso, M.G.; Campisi, R.; Bivona, L.; Migliore, M.; Di Maria, G.U. Prognostic value of p53 and Ki67 expression in fiberoptic bronchial biopsies of patients with non small cell lung cancer. Multidiscip. Respir. Med. 2012, 7, 29. [Google Scholar] [CrossRef] [PubMed]
- Berghoff, A.S.; Ilhan-Mutlu, A.; Preusser, M.; Woehrer, A.; Hainfellner, J.A.; Hackl, M.; Widhalm, G.; Dieckmann, K.; Melchardt, T.; Dome, B.; et al. Prognostic significance of Ki67 proliferation index, HIF1 alpha index and microvascular density in patients with non-small cell lung cancer brain metastases. Strahlenther. Onkol. 2014, 190, 676–685. [Google Scholar] [CrossRef]
- Martin, B.; Paesmans, M.; Mascaux, C.; Berghmans, T.; Lothaire, P.; Meert, A.P.; Lafitte, J.J.; Sculier, J.P. Ki-67 expression and patients survival in lung cancer: Systematic review of the literature with meta-analysis. Br. J. Cancer 2004, 91, 2018–2025. [Google Scholar] [CrossRef] [PubMed]
- Warth, A.; Cortis, J.; Soltermann, A.; Meister, M.; Budczies, J.; Stenzinger, A.; Goeppert, B.; Thomas, M.; Herth, F.J.; Schirmacher, P.; et al. Tumour cell proliferation (Ki-67) in non-small cell lung cancer: A critical reappraisal of its prognostic role. Br. J. Cancer 2014, 111, 1222–1229. [Google Scholar] [CrossRef]
- Hommura, F.; Dosaka-Akita, H.; Mishina, T.; Nishi, M.; Kojima, T.; Hiroumi, H.; Ogura, S.; Shimizu, M.; Katoh, H.; Kawakami, Y. Prognostic significance of p27KIP1 protein and ki-67 growth fraction in non-small cell lung cancers. Clin. Cancer Res. 2000, 6, 4073–4081. [Google Scholar] [PubMed]
- Gu, Q.; Feng, Z.; Liang, Q.; Li, M.; Deng, J.; Ma, M.; Wang, W.; Liu, J.; Liu, P.; Rong, P. Machine learning-based radiomics strategy for prediction of cell proliferation in non-small cell lung cancer. Eur. J. Radiol. 2019, 118, 32–37. [Google Scholar] [CrossRef]
- Moon, S.H.; Kim, J.; Joung, J.G.; Cha, H.; Park, W.Y.; Ahn, J.S.; Ahn, M.J.; Park, K.; Choi, J.Y.; Lee, K.H.; et al. Correlations between metabolic texture features, genetic heterogeneity, and mutation burden in patients with lung cancer. Eur. J. Nucl. Med. Mol. Imaging 2019, 46, 446–454. [Google Scholar] [CrossRef]
- Choi, E.R.; Lee, H.Y.; Jeong, J.Y.; Choi, Y.L.; Kim, J.; Bae, J.; Lee, K.S.; Shim, Y.M. Quantitative image variables reflect the intratumoral pathologic heterogeneity of lung adenocarcinoma. Oncotarget 2016, 7, 67302–67313. [Google Scholar] [CrossRef] [PubMed]
- Meyer, H.J.; Schob, S.; Höhn, A.K.; Surov, A. MRI Texture Analysis Reflects Histopathology Parameters in Thyroid Cancer—A First Preliminary Study. Transl. Oncol. 2017, 10, 911–916. [Google Scholar] [CrossRef] [PubMed]
- Zhu, X.; Chen, L.; Huang, B.; Wang, Y.; Ji, L.; Wu, J.; Di, G.; Liu, G.; Yu, K.; Shao, Z.; et al. The prognostic and predictive potential of Ki-67 in triple-negative breast cancer. Sci. Rep. 2020, 10, 225. [Google Scholar] [CrossRef] [PubMed]
- Zhou, B.; Xu, J.; Tian, Y.; Yuan, S.; Li, X. Correlation between radiomic features based on contrast-enhanced computed tomography images and Ki-67 proliferation index in lung cancer: A preliminary study. Thorac. Cancer 2018, 9, 1235–1240. [Google Scholar] [CrossRef]
- Huang, Z.; Lyu, M.; Ai, Z.; Chen, Y.; Liang, Y.; Xiang, Z. Pre-operative Prediction of Ki-67 Expression in Various Histological Subtypes of Lung Adenocarcinoma Based on CT Radiomic Features. Front. Surg. 2021, 8, 736737. [Google Scholar] [CrossRef] [PubMed]
- Dong, Y.; Jiang, Z.; Li, C.; Dong, S.; Zhang, S.; Lv, Y.; Sun, F.; Liu, S. Development and validation of novel radiomics-based nomograms for the prediction of EGFR mutations and Ki-67 proliferation index in non-small cell lung cancer. Quant. Imaging Med. Surg. 2022, 12, 2658–2671. [Google Scholar] [CrossRef]
- Sun, H.; Zhou, P.; Chen, G.; Dai, Z.; Song, P.; Yao, J. Radiomics nomogram for the prediction of Ki-67 index in advanced non-small cell lung cancer based on dual-phase enhanced computed tomography. J. Cancer Res. Clin. Oncol. 2023, 149, 9301–9315. [Google Scholar] [CrossRef]
- Palumbo, B.; Capozzi, R.; Bianconi, F.; Fravolini, M.L.; Cascianelli, S.; Messina, S.G.; Bellezza, G.; Sidoni, A.; Puma, F.; Ragusa, M. Classification Model to Estimate MIB-1 (Ki 67) Proliferation Index in NSCLC Patients Evaluated With (18)F-FDG-PET/CT. Anticancer. Res. 2020, 40, 3355–3360. [Google Scholar] [CrossRef] [PubMed]
- Yao, W.; Liao, Y.; Li, X.; Zhang, F.; Zhang, H.; Hu, B.; Wang, X.; Li, L.; Xiao, M. Noninvasive Method for Predicting the Expression of Ki67 and Prognosis in Non-Small-Cell Lung Cancer Patients: Radiomics. J. Healthc. Eng. 2022, 2022, 7761589. [Google Scholar] [CrossRef] [PubMed]
- Pratt, H.; Coenen, F.; Broadbent, D.M.; Harding, S.P.; Zheng, Y. Convolutional Neural Networks for Diabetic Retinopathy. Procedia Comput. Sci. 2016, 90, 200–205. [Google Scholar] [CrossRef]
- Wang, Z.; Xiao, Y.; Li, Y.; Zhang, J.; Lu, F.; Hou, M.; Liu, X. Automatically discriminating and localizing COVID-19 from community-acquired pneumonia on chest X-rays. Pattern Recognit. 2021, 110, 107613. [Google Scholar] [CrossRef] [PubMed]
- Zhang, D.; Huang, G.; Zhang, Q.; Han, J.; Han, J.; Yu, Y. Cross-modality deep feature learning for brain tumor segmentation. Pattern Recognit. 2021, 110, 107562. [Google Scholar] [CrossRef]
- Esteva, A.; Kuprel, B.; Novoa, R.A.; Ko, J.; Swetter, S.M.; Blau, H.M.; Thrun, S. Corrigendum: Dermatologist-level classification of skin cancer with deep neural networks. Nature 2017, 546, 686. [Google Scholar] [CrossRef]
- Shin, H.C.; Roth, H.R.; Gao, M.; Lu, L.; Xu, Z.; Nogues, I.; Yao, J.; Mollura, D.; Summers, R.M. Deep Convolutional Neural Networks for Computer-Aided Detection: CNN Architectures, Dataset Characteristics and Transfer Learning. IEEE Trans. Med. Imaging 2016, 35, 1285–1298. [Google Scholar] [CrossRef]
- Huang, G.; Liu, Z.; Pleiss, G.; Maaten, L.V.; Weinberger, K.Q. Convolutional Networks with Dense Connectivity. IEEE Trans. Pattern Anal. Mach. Intell. 2022, 44, 8704–8716. [Google Scholar] [CrossRef] [PubMed]
- Shangguan, C.; Gan, G.; Zhang, J.; Wu, J.; Miao, Y.; Zhang, M.; Li, B.; Mi, J. Cancer-associated fibroblasts enhance tumor (18)F-FDG uptake and contribute to the intratumor heterogeneity of PET-CT. Theranostics 2018, 8, 1376–1388. [Google Scholar] [CrossRef]
- Vesselle, H.; Salskov, A.; Turcotte, E.; Wiens, L.; Schmidt, R.; Jordan, C.D.; Vallières, E.; Wood, D.E. Relationship between non-small cell lung cancer FDG uptake at PET, tumor histology, and Ki-67 proliferation index. J. Thorac. Oncol. 2008, 3, 971–978. [Google Scholar] [CrossRef]
- Nakamura, H.; Hirata, T.; Kitamura, H.; Nishikawa, J. Correlation of the standardized uptake value in FDG-PET with the expression level of cell-cycle-related molecular biomarkers in resected non-small cell lung cancers. Ann. Thorac. Cardiovasc. Surg. 2009, 15, 304–310. [Google Scholar] [PubMed]
- Liu, S.; Feng, Z.; Wen, H.; Jiang, Z.; Pan, H.; Deng, Y.; Zhang, L.; Ju, X.; Chen, X.; Wu, X. (18)F-FDG PET/CT can predict chemosensitivity and proliferation of epithelial ovarian cancer via SUVmax value. Jpn J. Radiol. 2018, 36, 544–550. [Google Scholar] [CrossRef] [PubMed]
- Wang, J.; Peng, M.-Y.; Xu, L.-B.; Zhao, J.; Shao, G.-Q. Correlation between Skip N2 Metastases and SUV(max), Long Diameter of Tumor, and Ki67 Expression in Patients with Non-Small-Cell Lung Cancer. Biomed. Res. Int. 2020, 2020, 9298358. [Google Scholar]
- Zhu, Q.; Zhang, J.; Xu, D.; Zhao, R. Association between PD-L1 and Ki-67 expression and clinicopathologic features in NSCLC patients. Am. J. Transl. Res. 2023, 15, 5339–5346. [Google Scholar]
- Ji, Y.; Zheng, M.; Ye, S.; Chen, J.; Chen, Y. PTEN and Ki67 expression is associated with clinicopathologic features of non-small cell lung cancer. J. Biomed. Res. 2014, 28, 462–467. [Google Scholar]
- Kernstine, K.H.; Faubert, B.; Do, Q.N.; Rogers, T.J.; Hensley, C.T.; Cai, L.; Torrealba, J.; Oliver, D.; Wachsmann, J.W.; Lenkinski, R.E.; et al. Does Tumor FDG-PET Avidity Represent Enhanced Glycolytic Metabolism in Non-Small Cell Lung Cancer? Ann. Thorac. Surg. 2020, 109, 1019–1025. [Google Scholar] [CrossRef] [PubMed]
- Li, Z.; Li, F.; Pan, C.; He, Z.; Pan, X.; Zhu, Q.; Wu, W.; Chen, L. Tumor cell proliferation (Ki-67) expression and its prognostic significance in histological subtypes of lung adenocarcinoma. Lung Cancer 2021, 154, 69–75. [Google Scholar] [CrossRef] [PubMed]
- Clay, V.; Papaxoinis, G.; Sanderson, B.; Valle, J.W.; Howell, M.; Lamarca, A.; Krysiak, P.; Bishop, P.; Nonaka, D.; Mansoor, W. Evaluation of diagnostic and prognostic significance of Ki-67 index in pulmonary carcinoid tumours. Clin. Transl. Oncol. 2017, 19, 579–586. [Google Scholar] [CrossRef]








| Clinical Characters | High Ki-67 Expression (n = 76) | Low Ki-67 Expression (n = 83) | p Value |
|---|---|---|---|
| Age | 60.83 ± 10.27 | 58.14 ± 9.54 | 0.093 |
| Weight | 62.03 ± 10.57 | 58.32 ± 10.26 | 0.027 |
| Gender | <0.001 | ||
| Male | 64(40.3%) | 31(19.5%) | |
| Female | 12(7.5%) | 52(32.7%) | |
| Differentiation state | <0.001 | ||
| High | 10(6.3%) | 37(23.3%) | |
| Medium | 19(11.9%) | 35(22.0%) | |
| Low | 47(29.6%) | 11(6.9%) | |
| Histopathological type | <0.001 | ||
| Adenocarcinoma | 42(26.4%) | 81(50.9%) | |
| Squamous cell carcinoma | 34(21.4%) | 2(1.3%) |
| Model | AUC | Accuracy | Precision | Specificity | Sensitivity | F1 |
|---|---|---|---|---|---|---|
| PET Model | ||||||
| Training set | 0.966 | 0.903 | 0.884 | 0.930 | 0.858 | 0.870 |
| Test set | 0.878 | 0.804 | 0.747 | 0.840 | 0.747 | 0.747 |
| CT Model | ||||||
| Training set | 0.958 | 0.872 | 0.819 | 0.882 | 0.856 | 0.837 |
| Test set | 0.858 | 0.794 | 0.754 | 0.853 | 0.702 | 0.727 |
| Combined Model | ||||||
| Training set | 0.968 | 0.888 | 0.900 | 0.946 | 0.793 | 0.843 |
| Test set | 0.891 | 0.822 | 0.776 | 0.902 | 0.664 | 0.716 |
| Variable | Univariate Analysis | Multivariate Analysis | ||
|---|---|---|---|---|
| Regression Coefficient | p Value | Regression Coefficient | p Value | |
| HES | 3.986 | <0.001 | 3.045 | <0.001 |
| Sex | 1.818 | <0.001 | 1.225 | <0.001 |
| SUVmax | 0.042 | <0.001 | 0.017 | 0.013 |
| Age | 0.037 | <0.001 | 0.024 | 0.002 |
Disclaimer/Publisher’s Note: The statements, opinions and data contained in all publications are solely those of the individual author(s) and contributor(s) and not of MDPI and/or the editor(s). MDPI and/or the editor(s) disclaim responsibility for any injury to people or property resulting from any ideas, methods, instructions or products referred to in the content. |
© 2023 by the authors. Licensee MDPI, Basel, Switzerland. This article is an open access article distributed under the terms and conditions of the Creative Commons Attribution (CC BY) license (https://creativecommons.org/licenses/by/4.0/).
Share and Cite
Hu, D.; Li, X.; Lin, C.; Wu, Y.; Jiang, H. Deep Learning to Predict the Cell Proliferation and Prognosis of Non-Small Cell Lung Cancer Based on FDG-PET/CT Images. Diagnostics 2023, 13, 3107. https://doi.org/10.3390/diagnostics13193107
Hu D, Li X, Lin C, Wu Y, Jiang H. Deep Learning to Predict the Cell Proliferation and Prognosis of Non-Small Cell Lung Cancer Based on FDG-PET/CT Images. Diagnostics. 2023; 13(19):3107. https://doi.org/10.3390/diagnostics13193107
Chicago/Turabian StyleHu, Dehua, Xiang Li, Chao Lin, Yonggang Wu, and Hao Jiang. 2023. "Deep Learning to Predict the Cell Proliferation and Prognosis of Non-Small Cell Lung Cancer Based on FDG-PET/CT Images" Diagnostics 13, no. 19: 3107. https://doi.org/10.3390/diagnostics13193107
APA StyleHu, D., Li, X., Lin, C., Wu, Y., & Jiang, H. (2023). Deep Learning to Predict the Cell Proliferation and Prognosis of Non-Small Cell Lung Cancer Based on FDG-PET/CT Images. Diagnostics, 13(19), 3107. https://doi.org/10.3390/diagnostics13193107

