The Impact of Prostate Volume on the Prostate Imaging and Reporting Data System (PI-RADS) in a Real-World Setting
Abstract
1. Introduction
2. Materials and Methods
2.1. Population and Data Collection
2.2. MRI-Guided Biopsy
2.3. Statistical Analysis
3. Results
3.1. Population Characteristics and Histopathological Findings
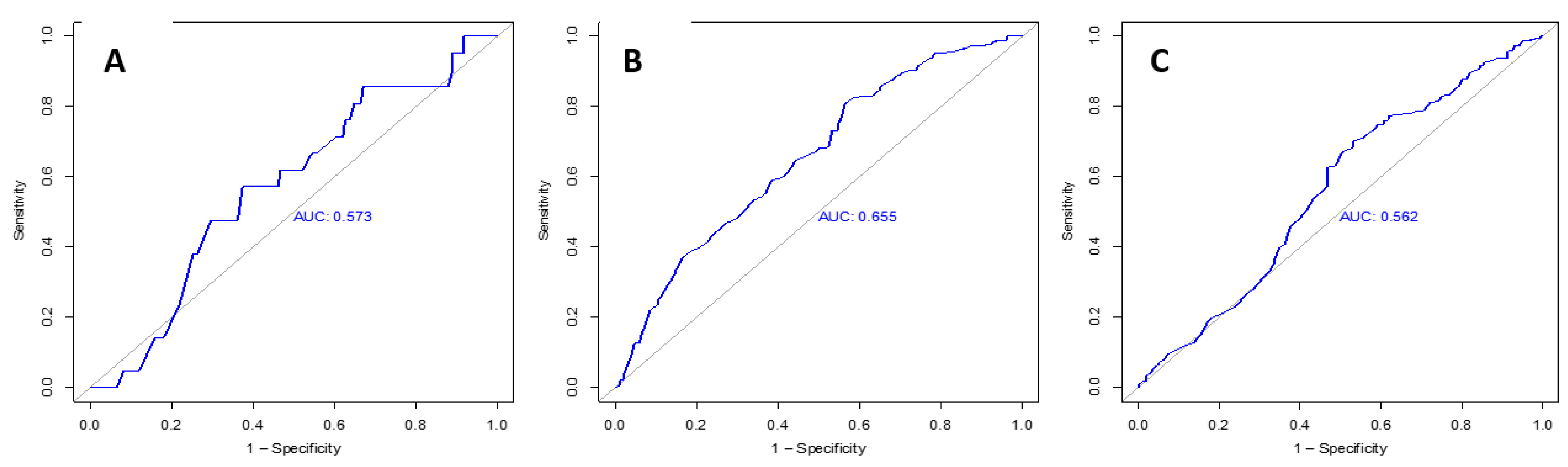
3.2. Impairment of PI-RADS by Prostate Volume
- For PI-RADS 3 targets, the cut-off value was a volume ≥ 43.5 ccm (not significant).
- For PI-RADS 4, a prostate volume of ≥61.5 ccm.
- For PI-RADS 5, a volume ≥ 51.5 ccm.
4. Discussion
5. Conclusions
Author Contributions
Funding
Institutional Review Board Statement
Informed Consent Statement
Data Availability Statement
Conflicts of Interest
References
- Zentrum für Krebsregisterdaten, Robert Koch Insitut: Krebs in Deutschland—Prostatakrebs. 2022. Available online: https://www.krebsdaten.de/Krebs/DE/Content/Krebsarten/Prostatakrebs/prostatakrebs_node.html (accessed on 8 July 2023).
- Ahmed, H.U.; El-Shater Bosaily, A.; Brown, L.C.; Gabe, R.; Kaplan, R.; Parmar, M.K.; Collaco-Moraes, Y.; Ward, K.; Hindley, R.G.; Freeman, A.; et al. Diagnostic accuracy of multi-parametric MRI and TRUS biopsy in prostate cancer (PROMIS): A paired validating confirmatory study. Lancet 2017, 389, 815–822. [Google Scholar] [CrossRef]
- Kasivisvanathan, V.; Rannikko, A.S.; Borghi, M.; Panebianco, V.; Mynderse, L.A.; Vaarala, M.H.; Briganti, A.; Budäus, L.; Hellawell, G.; Hindley, R.G.; et al. ECISION Study Group Collaborators. MRI-Targeted or Standard Biopsy for Prostate-Cancer Diagnosis. New Engl. J. Med. 2018, 378, 1767–1777. [Google Scholar] [CrossRef]
- Filson, C.P.; Natarajan, S.; Margolis, D.J.; Huang, J.; Lieu, P.; Dorey, F.J.; Reiter, R.E.; Marks, L.S. Prostate cancer detection with magnetic resonance-ultrasound fusion biopsy: The role of systematic and targeted biopsies. Cancer 2016, 122, 884–892. [Google Scholar]
- Mottet, N.; van den Bergh, R.C.N.; Briers, E.; Van den Broeck, T.; Cumberbatch, M.G.; De Santis, M.; Fanti, S.; Fossati, N.; Gandaglia, G.; Gillessen, S.; et al. EAU-EANM-ESTRO-ESUR-SIOG Guidelines on Prostate Cancer-2020 Update. Part 1: Screening, Diagnosis, and Local Treatment with Curative Intent. Eur. Urol. 2021, 79, 243–262. [Google Scholar] [CrossRef]
- Kilic, M.; Vural, M.; Coskun, B.; Acar, Ö.; Saglican, Y.; Akpek, S.; Esen, T. Accuracy of Sampling PI-RADS 4–5 Index Lesions Alone by MRI-guided In-bore Biopsy in Biopsy–naive Patients Undergoing Radical Prostatectomy. Eur. Urol. Focus 2019, 6, 249–254. [Google Scholar] [CrossRef]
- Di Mauro, E.; Di Bello, F.; Califano, G.; Morra, S.; Creta, M.; Celentano, G.; Abate, M.; Fraia, A.; Pezone, G.; Marino, C.; et al. Incidence and Predicting Factors of Histopathological Features at Robot-Assisted Radical Prostatectomy in the mpMRI Era: Results of a Single Tertiary Referral Center. Medicina 2023, 59, 625. [Google Scholar] [CrossRef]
- Akin, O.; Riedl, C.C.; Ishill, N.M.; Moskowitz, C.S.; Zhang, J.; Hricak, H. Interactive dedicated training curriculum improves accuracy in the interpretation of MR imaging of prostate cancer. Eur. Radiol. 2010, 20, 995–1002. [Google Scholar] [CrossRef]
- Rosenkrantz, A.B.; Ayoola, A.; Hoffman, D.; Khasgiwala, A.; Prabhu, V.; Smereka, P.; Somberg, M.; Taneja, S.S. The Learning Curve in Prostate MRI Interpretation: Self-Directed Learning Versus Continual Reader Feedback. Am. J. Roentgenol. 2017, 208, W92–W100. [Google Scholar] [CrossRef]
- Stabile, A.; Giganti, F.; Kasivisvanathan, V.; Giannarini, G.; Moore, C.M.; Padhani, A.R.; Panebianco, V.; Rosenkrantz, A.B.; Salomon, G.; Turkbey, B.; et al. Factors Influencing Variability in the Performance of Multiparametric Magnetic Resonance Imaging in Detecting Clinically Significant Prostate Cancer: A Systematic Literature Review. Eur. Urol. Oncol. 2020, 3, 145–167. [Google Scholar]
- Kilic, M.; Madendere, S.; Vural, M.; Koseoglu, E.; Balbay, M.D.; Esen, T. The role of the size and number of index lesion in the diagnosis of clinically significant prostate cancer in patients with PI-RADS 4 lesions who underwent in-bore MRI-guided prostate biopsy. World J. Urol. 2023, 41, 449–454. [Google Scholar] [CrossRef]
- Majchrzak, N.; Cieśliński, P.; Milecki, T.; Twardosz, K.; Głyda, M.; Karmelita-Katulska, K. Analysis of the usefulness of magnetic resonance imaging and clinical parameters in the detection of prostate cancer in the first systematic biopsy combined with targeted cognitive biopsy. Central Eur. J. Urol. 2021, 74, 321–326. [Google Scholar]
- Nepal, S.P.; Nakasato, T.; Ogawa, Y.; Naoe, M.; Shichijo, T.; Maeda, Y.; Morita, J.; Oshinomi, K.; Unoki, T.; Inoue, T.; et al. Prostate cancer detection rate and Gleason score in relation to prostate volume as assessed by magnetic resonance imaging cognitive biopsy and standard biopsy. Turk. J. Urol. 2020, 46, 449–454. [Google Scholar] [CrossRef]
- Kandıralı, E.; Temiz, M.Z.; Çolakerol, A.; Yürük, E.; Semerciöz, A.; Müslümanoğlu, A.Y. Does the prostate volume always effect cancer detection rate in prostate biopsy? Additional role of prostate-specific antigen levels: A retrospective analysis of 2079 patients. Turk. J. Urol. 2019, 45, 103–107. [Google Scholar] [CrossRef] [PubMed]
- Al-Khalil, S.; Ibilibor, C.; Cammack, J.T.; de Riese, W. Association of prostate volume with incidence and aggressiveness of prostate cancer. Res. Rep. Urol. 2016, 8, 201–205. [Google Scholar] [CrossRef] [PubMed]
- von Elm, E.; Altman, D.G.; Egger, M.; Pocock, S.J.; Gøtzsche, P.C.; Vandenbroucke, J.P.; STROBE Initiative. The Strengthening the Reporting of Observational Studies in Epidemiology (STROBE) statement: Guidelines for reporting observational studies. Lancet 2007, 370, 1453–1457. [Google Scholar]
- Beebe-Dimmer, J.L.; Kapron, A.L.; Fraser, A.M.; Smith, K.R.; Cooney, K.A. Risk of Prostate Cancer Associated With Familial and Hereditary Cancer Syndromes. J. Clin. Oncol. 2020, 38, 1807–1813. [Google Scholar] [CrossRef]
- Radiology, A.C.o. PI-RADS®—Prostate Imaging—Reporting and Data System Version 2.1. 2019. Available online: https://www.acr.org/Clinical-Resources/Reporting-and-Data-Systems/PI-RADS (accessed on 8 July 2023).
- Turkbey, B.; Rosenkrantz, A.B.; Haider, M.A.; Padhani, A.R.; Villeirs, G.; Macura, K.J.; Tempany, C.M.; Choyke, P.L.; Cornud, F.; Margolis, D.J.; et al. Prostate Imaging Reporting and Data System Version 2.1: 2019 Update of Prostate Imaging Reporting and Data System Version 2. Eur. Urol. 2019, 76, 340–351. [Google Scholar] [CrossRef]
- eitlinienprogramm Onkologie (Deutsche Krebsgesellschaft, Deutsche Krebshilfe, AWMF): S3-Leitlinie Prostatakarzinom, Langversion 6.2, 2021, AWMF Registernummer: 043/022OL. (abgerufen am: 13.11.2022). 2021. Available online: http://www.leitlinienprogramm-onkologie.de/leitlinien/prostatakarzinom/ (accessed on 8 July 2023).
- Chaloupka, M.; Apfelbeck, M.; Pyrgidis, N.; Marcon, J.; Weinhold, P.; Stief, C.G. Radical Prostatectomy without Prior Biopsy in Patients with High Suspicion of Prostate Cancer Based on Multiparametric Magnetic Resonance Imaging and Prostate-Specific Membrane Antigen Positron Emission Tomography: A Prospective Cohort Study. Cancers 2023, 15, 1266. [Google Scholar]
- Auer, T.; Edlinger, M.; Bektic, J.; Nagele, U.; Herrmann, T.; Schäfer, G.; Aigner, F.; Junker, D. Performance of PI-RADS version 1 versus version 2 regarding the relation with histopathological results. World J. Urol. 2017, 35, 687–693. [Google Scholar] [CrossRef] [PubMed]
- Zheng, S.; Jiang, S.; Chen, Z.; Huang, Z.; Shi, W.; Liu, B.; Xu, Y.; Guo, Y.; Yang, H.; Li, M. The roles of MRI-based prostate volume and associated zone-adjusted prostate-specific antigen concentrations in predicting prostate cancer and high-risk prostate cancer. PLoS ONE 2019, 14, e0218645. [Google Scholar]
- Zattoni, F.; Marra, G.; Kasivisvanathan, V.; Grummet, J.; Nandurkar, R.; Ploussard, G.; Olivier, J.; Chiu, P.K.; Valerio, M.; Gontero, P.; et al. The Detection of Prostate Cancer with Magnetic Resonance Imaging-Targeted Prostate Biopsies is Superior with the Transperineal vs the Transrectal Approach. A European Association of Urology-Young Academic Urologists Prostate Cancer Working Group Multi-Institutional Study. J. Urol. 2022, 208, 830–837. [Google Scholar]
- Kaufmann, B.; Saba, K.; Schmidli, T.S.; Stutz, S.; Bissig, L.; Britschgi, A.J.; Schaeren, E.; Gu, A.; Langenegger, N.; Sulser, T.; et al. Prostate cancer detection rate in men undergoing transperineal template-guided saturation and targeted prostate biopsy. Prostate 2021, 82, 388–396. [Google Scholar] [CrossRef]
- Knight, A.S.; Sharma, P.; de Riese, W.T.W. MRI determined prostate volume and the incidence of prostate cancer on MRI-fusion biopsy: A systemic review of reported data for the last 20 years. Int. Urol. Nephrol. 2022, 54, 3047–3054. [Google Scholar]
- Chesnais, A.; Niaf, E.; Bratan, F.; Mège-Lechevallier, F.; Roche, S.; Rabilloud, M.; Colombel, M.; Rouvière, O. Differentiation of transitional zone prostate cancer from benign hyperplasia nodules: Evaluation of discriminant criteria at multiparametric MRI. Clin. Radiol. 2013, 68, e323–e330. [Google Scholar] [CrossRef]
- Pickles, M.D.; Gibbs, P.; Sreenivas, M.; Turnbull, L.W. Diffusion-weighted imaging of normal and malignant prostate tissue at 3.0T. J. Magn. Reson. Imaging 2005, 23, 130–134. [Google Scholar]
- Hoeks, C.M.A.; Hambrock, T.; Yakar, D.; de Kaa, C.A.H.; Feuth, T.; Witjes, J.A.; Fütterer, J.J.; Barentsz, J.O.; Dinh, A.H.; Melodelima, C.; et al. Transition Zone Prostate Cancer: Detection and Localization with 3-T Multiparametric MR Imaging. Radiology 2013, 266, 207–217. [Google Scholar] [CrossRef]
- Bour, L.; Schull, A.; Delongchamps, N.-B.; Beuvon, F.; Muradyan, N.; Legmann, P.; Cornud, F. Multiparametric MRI features of granulomatous prostatitis and tubercular prostate abscess. Diagn. Interv. Imaging 2013, 94, 84–90. [Google Scholar] [CrossRef]
- Apfelbeck, M.; Schlenker, B.; Chaloupka, M.; Stief, C.G.; Clevert, D.-A. Multiparametric MRI Lesion Classified as Prostate Imaging-Reporting and Data System 5 but Histopathologically Described as Benign: A Case Report and Review of Literature. Urol. Int. 2021, 105, 520–524. [Google Scholar] [CrossRef]
- Noworolski, S.M.; Vigneron, D.B.; Chen, A.P.; Kurhanewicz, J. Dynamic contrast-enhanced MRI and MR diffusion imaging to distinguish between glandular and stromal prostatic tissues. Magn. Reson. Imaging 2008, 26, 1071–1080. [Google Scholar] [CrossRef]
- Lee, H.; Hwang, S.I.; Lee, H.J.; Byun, S.S.; Lee, S.E.; Hong, S.K. Diagnostic performance of diffusion-weighted imaging for prostate cancer: Peripheral zone versus transition zone. PLoS ONE 2018, 13, e0199636. [Google Scholar] [CrossRef]
- Lin, B.; Cavdar, I.K.; Buxton, M.; Sellers, J.; Brandi, L.; Helo, N.; de Riese, W.T.W. Association between prostate size and glandular tissue volume of the peripheral zone via novel combined MRI and histopathology: Possible pathophysiological implications on prostate cancer development. Int. Urol. Nephrol. 2023, 55, 835–844. [Google Scholar]
- Morote, J.; Borque-Fernando, A.; Triquell, M.; Celma, A.; Regis, L.; Mast, R.; de Torres, I.M.; Semidey, M.E.; Santamaría, A.; Planas, J.; et al. Multiparametric Magnetic Resonance Imaging Grades the Aggressiveness of Prostate Cancer. Cancers 2022, 14, 1828. [Google Scholar] [CrossRef]
- Mazzone, E.; Stabile, A.; Pellegrino, F.; Basile, G.; Cignoli, D.; Cirulli, G.O.; Sorce, G.; Barletta, F.; Scuderi, S.; Bravi, C.A.; et al. Positive Predictive Value of Prostate Imaging Reporting and Data System Version 2 for the Detection of Clinically Significant Prostate Cancer: A Systematic Review and Meta-analysis. Eur. Urol. Oncol. 2020, 4, 697–713. [Google Scholar]
- Elkhoury, F.F.; Felker, E.R.; Kwan, L.; Sisk, A.E.; Delfin, M.; Natarajan, S.; Marks, L.S. Comparison of Targeted vs Systematic Prostate Biopsy in Men Who Are Biopsy Naive: The Prospective Assessment of Image Registration in the Diagnosis of Prostate Cancer (PAIREDCAP) Study. JAMA Surg. 2019, 154, 811–818. [Google Scholar]
- Kenigsberg, A.P.; Renson, A.; Rosenkrantz, A.B.; Huang, R.; Wysock, J.S.; Taneja, S.S.; Bjurlin, M.A. Optimizing the Number of Cores Targeted During Prostate Magnetic Resonance Imaging Fusion Target Biopsy. Eur. Urol. Oncol. 2018, 1, 418–425. [Google Scholar] [CrossRef]
- Sonmez, G.; Demirtas, T.; Tombul, S.T.; Ozturk, F.; Demirtas, A. What is the ideal number of biopsy cores per lesion in targeted prostate biopsy? Prostate Int. 2020, 8, 112–115. [Google Scholar] [CrossRef]
- Beetz, N.L.; Dräger, F.; Hamm, C.A.; Shnayien, S.; Rudolph, M.M.; Froböse, K.; Elezkurtaj, S.; Haas, M.; Asbach, P.; Hamm, B.; et al. MRI-targeted biopsy cores from prostate index lesions: Assessment and prediction of the number needed. Prostate Cancer Prostatic Dis. 2022. [Google Scholar]
- Bevill, M.D.; Troesch, V.; Drobish, J.N.; Flynn, K.J.; Rajput, M.; Metz, C.M.; Gellhaus, P.T.; Tracy, C.R. Number of cores needed to diagnose prostate cancer during MRI targeted biopsy decreases after the learning curve. Urol. Oncol. Semin. Orig. Investig. 2021, 40, 7.e19–7.e24. [Google Scholar]


| Characteristic | Overall, n = 1039 | Negative Target Biopsy, n = 645 | Positive Target Biopsy, n = 394 | p-Value |
|---|---|---|---|---|
| Age (years) | 67.6 ± 8.2 | 67.1 ± 7.9 | 68.5 ± 8.6 | 0.006 |
| iPSA (ng/mL) | 9.8 ± 7.8 | 9.3 ± 6.9 | 10.7 ± 8.9 | 0.008 |
| PSA density (ng/mL2) | 0.2 ± 0.1 | 0.2 ± 0.1 | 0.3 ± 0.2 | <0.001 |
| Prior biopsy (n) | 321 (33.3%) | 229 (37.7%) | 92 (25.8%) | <0.001 |
| Positive DRE | 249 (36.3%) | 89 (20.6%) | 160 (63.0%) | <0.001 |
| Prostate volume (mL) | 55.9 ± 34.1 | 61.3 ± 37.1 | 47.1 ± 26.1 | <0.001 |
| Characteristic | Overall, n = 432 | PI-RADS 3, n = 21 | PI-RADS 4, n = 183 | PI-RADS 5, n = 228 | p-Value |
|---|---|---|---|---|---|
| Positive biopsy cores (%) | 0.5 ± 0.2 | 0.4 ± 0.2 | 0.4 ± 0.2 | 0.5 ± 0.2 | |
| Gleason Grade group | 0.006 | ||||
| Gleason Grade group 2 | 180 (41.7%) | 13 (61.9%) | 88 (48.1%) | 79 (34.6%) | |
| Gleason Grade group 3 | 66 (15.3%) | 1 (4.8%) | 30 (16.4%) | 35 (15.4%) | |
| Gleason Grade group 4 | 143 (33.1%) | 6 (28.6%) | 57 (31.1%) | 80 (35.1%) | |
| Gleason Grade group 5 | 43 (9.9%) | 1 (4.8%) | 7 (4.3%) | 34 (14.9%) | |
| Infiltration at biopsy (%) | 55.6 ± 21.3 | 47.0 ± 20.2 | 50.7 ± 19.6 | 60.4 ± 21.7 |
| Characteristic | Univariate | Multivariable | ||||
|---|---|---|---|---|---|---|
| OR | 95% CI | p-Value | OR | 95% CI | p-Value | |
| PIRADS 3 | ||||||
| Prostate volume > 43.5 ccm | 0.45 | 0.17, 1.11 | 0.085 | 0.45 | 0.16, 1.18 | 0.11 |
| Age | 0.97 | 0.91, 1.02 | 0.2 | 0.97 | 0.92, 1.03 | 0.4 |
| iPSA | 1.00 | 0.92, 1.07 | >0.9 | 1.02 | 0.94, 1.10 | 0.6 |
| PIRADS 4 | ||||||
| Prostate volume > 61.5 ccm | 0.30 | 0.20, 0.45 | <0.001 | 0.24 | 0.16, 0.38 | <0.001 |
| Age | 1.02 | 1.00, 1.04 | 0.091 | 1.03 | 1.00, 1.05 | 0.035 |
| iPSA | 1.02 | 1.00, 1.05 | 0.029 | 1.04 | 1.01, 1.06 | 0.002 |
| PIRADS 5 | ||||||
| Prostate volume > 51.5 ccm | 0.48 | 0.32, 0.73 | <0.001 | 0.39 | 0.25, 0.62 | <0.001 |
| Age | 1.01 | 0.99, 1.04 | 0.3 | 1.02 | 1.00, 1.05 | 0.088 |
| iPSA | 1.01 | 0.99, 1.03 | 0.4 | 1.02 | 1.00, 1.04 | 0.10 |
Disclaimer/Publisher’s Note: The statements, opinions and data contained in all publications are solely those of the individual author(s) and contributor(s) and not of MDPI and/or the editor(s). MDPI and/or the editor(s) disclaim responsibility for any injury to people or property resulting from any ideas, methods, instructions or products referred to in the content. |
© 2023 by the authors. Licensee MDPI, Basel, Switzerland. This article is an open access article distributed under the terms and conditions of the Creative Commons Attribution (CC BY) license (https://creativecommons.org/licenses/by/4.0/).
Share and Cite
Volz, Y.; Apfelbeck, M.; Pyrgidis, N.; Pfitzinger, P.L.; Berg, E.; Ebner, B.; Enzinger, B.; Ivanova, T.; Atzler, M.; Kazmierczak, P.M.; et al. The Impact of Prostate Volume on the Prostate Imaging and Reporting Data System (PI-RADS) in a Real-World Setting. Diagnostics 2023, 13, 2677. https://doi.org/10.3390/diagnostics13162677
Volz Y, Apfelbeck M, Pyrgidis N, Pfitzinger PL, Berg E, Ebner B, Enzinger B, Ivanova T, Atzler M, Kazmierczak PM, et al. The Impact of Prostate Volume on the Prostate Imaging and Reporting Data System (PI-RADS) in a Real-World Setting. Diagnostics. 2023; 13(16):2677. https://doi.org/10.3390/diagnostics13162677
Chicago/Turabian StyleVolz, Yannic, Maria Apfelbeck, Nikolaos Pyrgidis, Paulo L. Pfitzinger, Elena Berg, Benedikt Ebner, Benazir Enzinger, Troya Ivanova, Michael Atzler, Philipp M. Kazmierczak, and et al. 2023. "The Impact of Prostate Volume on the Prostate Imaging and Reporting Data System (PI-RADS) in a Real-World Setting" Diagnostics 13, no. 16: 2677. https://doi.org/10.3390/diagnostics13162677
APA StyleVolz, Y., Apfelbeck, M., Pyrgidis, N., Pfitzinger, P. L., Berg, E., Ebner, B., Enzinger, B., Ivanova, T., Atzler, M., Kazmierczak, P. M., Clevert, D.-A., Stief, C., & Chaloupka, M. (2023). The Impact of Prostate Volume on the Prostate Imaging and Reporting Data System (PI-RADS) in a Real-World Setting. Diagnostics, 13(16), 2677. https://doi.org/10.3390/diagnostics13162677

