A Nomogram Based on Consolidation Tumor Ratio Combined with Solid or Micropapillary Patterns for Postoperative Recurrence in Pathological Stage IA Lung Adenocarcinoma
Abstract
1. Introduction
2. Materials and Methods
2.1. Patients
2.2. Radiological Evaluation
2.3. Pathological Evaluation and Gene Testing
2.4. Postoperative Follow-Up
2.5. Statistical Analysis
3. Results
3.1. Patient Characteristics
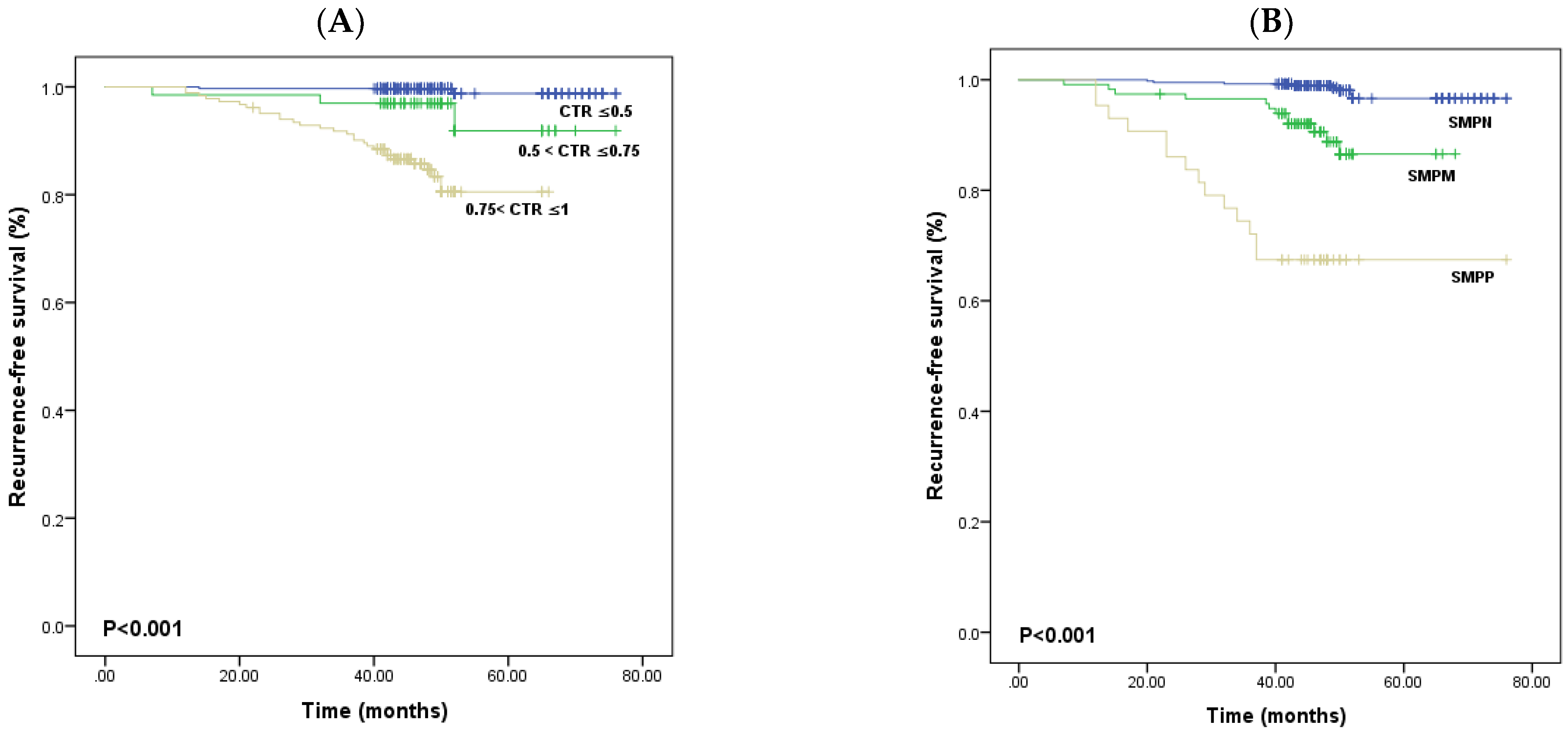
3.2. Survival Analysis
3.3. Independent Prognostic Factors
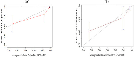
3.4. Development and Validation of the Nomogram
4. Discussion
Author Contributions
Funding
Institutional Review Board Statement
Informed Consent Statement
Data Availability Statement
Conflicts of Interest
References
- Siegel, R.L.; Miller, K.D.; Wagle, N.S.; Jemal, A. Cancer statistics, 2023. CA Cancer J. Clin. 2023, 73, 17–48. [Google Scholar] [CrossRef] [PubMed]
- Zheng, M. Classification and Pathology of Lung Cancer. Surg. Oncol. Clin. N. Am. 2016, 25, 447–468. [Google Scholar] [CrossRef] [PubMed]
- Maeda, R.; Yoshida, J.; Ishii, G.; Aokage, K.; Hishida, T.; Nishimura, M.; Nishiwaki, Y.; Nagai, K. Long-term outcome and late recurrence in patients with completely resected stage IA non-small cell lung cancer. J. Thorac. Oncol. 2010, 5, 1246–1250. [Google Scholar] [CrossRef] [PubMed]
- Goldstraw, P.; Chansky, K.; Crowley, J.; Rami-Porta, R.; Asamura, H.; Eberhardt, W.E.E.; Nicholson, A.G.; Groome, P.; Mitchell, A.; Bolejack, V. The IASLC lung cancer staging project: Proposals for revision of the TNM stage groupings in the forthcoming (eighth) edition of the TNM classification for lung cancer. J. Thorac. Oncol. 2016, 11, 39–51. [Google Scholar] [CrossRef]
- Altorki, N.; Wang, X.F.; Kozono, D.; Watt, C.; Landrenau, R.; Wigle, D.; Port, J.; Jones, D.R.; Conti, M.; Ashrafi, A.S.; et al. Lobar or Sublobar Resection for Peripheral Stage IA Non-Small-Cell Lung Cancer. N. Engl. J. Med. 2023, 388, 489–498. [Google Scholar] [CrossRef]
- Wang, Z.J.; Zhu, W.; Lu, Z.Z.; Li, W.; Shi, J.Y. Invasive adenocarcinoma manifesting as pure ground glass nodule with different size: Radiological characteristics differ while prognosis remains the same. Transl. Cancer Res. 2021, 10, 2755–2766. [Google Scholar] [CrossRef]
- Suzuki, K.; Watanabe, S.; Wakabayashi, M.; Saji, H.; Aokage, K.; Moriya, Y.; Yoshino, I.; Tsuboi, M.; Nakamura, S.; Nakamura, K.; et al. A single-arm study of sublobar resection for ground-glass opacity dominant peripheral lung cancer. J. Thorac. Cardiovasc. Surg. 2022, 163, 289–301.e2. [Google Scholar] [CrossRef]
- Saji, H.; Okada, M.; Tsuboi, M.; Nakajima, R.; Suzuki, K.; Aokage, K.; Aoki, T.; Okami, J.; Yoshino, I.; Ito, H.; et al. Segmentectomy versus lobectomy in small-sized peripheral non-small-cell lung cancer (JCOG0802/WJOG4607L): A multicentre, open-label, phase 3, randomised, controlled, non-inferiority trial. Lancet 2022, 399, 1607–1617. [Google Scholar] [CrossRef]
- Zhai, W.; Liang, D.; Duan, F.; Wong, W.; Yan, Q.; Gong, L.; Lai, R.; Dai, S.; Long, H.; Wang, J. Prognostic Nomograms Based on Ground Glass Opacity and Subtype of Lung Adenocarcinoma for Patients with Pathological Stage IA Lung Adenocarcinoma. Front. Cell Dev. Biol. 2021, 9, 769881. [Google Scholar] [CrossRef]
- Marx, A.; Chan, J.K.; Coindre, J.M.; Detterbeck, F.; Girard, N.; Harris, N.L.; Jaffe, E.S.; Kurrer, M.O.; Marom, E.M.; Moreira, A.L.; et al. The 2015 World Health Organization Classification of Tumors of the Thymus: Continuity and Changes. J. Thorac. Oncol. 2015, 10, 1383–1395. [Google Scholar] [CrossRef]
- Murakami, S.; Ito, H.; Tsubokawa, N.; Mimae, T.; Sasada, S.; Yoshiya, T.; Miyata, Y.; Yokose, T.; Okada, M.; Nakayama, H. Prognostic value of the new IASLC/ATS/ERS classification of clinical stage IA lung adenocarcinoma. Lung Cancer 2015, 90, 199–204. [Google Scholar] [CrossRef]
- Yanagawa, N.; Shiono, S.; Abiko, M.; Katahira, M.; Osakabe, M.; Ogata, S.-Y. The Clinical Impact of Solid and Micropapillary Patterns in Resected Lung Adenocarcinoma. J. Thorac. Oncol. 2016, 11, 1976–1983. [Google Scholar] [CrossRef]
- Choi, S.H.; Jeong, J.Y.; Lee, S.Y.; Shin, K.M.; Jeong, S.Y.; Park, T.-I.; Do, Y.W.; Lee, E.B.; Seok, Y.; Lee, W.L.; et al. Clinical implication of minimal presence of solid or micropapillary subtype in early-stage lung adenocarcinoma. Thorac. Cancer 2021, 12, 235–244. [Google Scholar] [CrossRef]
- Huang, W.; Zhang, H.; Zhang, Z.; Zhang, B.; Sun, X.; Huo, Y.; Feng, Y.; Tian, P.; Mo, H.; Wang, C. A prognostic nomogram based on a new classification of combined micropapillary and solid components for stage IA invasive lung adenocarcinoma. J. Surg. Oncol. 2022, 125, 796–808. [Google Scholar] [CrossRef]
- Yang, L.; Pang, C.; Xu, F.; Yang, G.; Xu, H.; Wang, C.; Wang, Y. Tumor Differentiation and EGFR Mutation Associated with Disease-Free Survival in Stage IA Lung Adenocarcinoma Patients with Curative Surgery. Cancer Manag. Res. 2020, 12, 12549–12556. [Google Scholar] [CrossRef]
- Zhang, Y.; Sun, Y.; Xiang, J.; Zhang, Y.; Hu, H.; Chen, H. A clinicopathologic prediction model for postoperative recurrence in stage Ia non-small cell lung cancer. J. Thorac. Cardiovasc. Surg. 2014, 148, 1193–1199. [Google Scholar] [CrossRef]
- Merritt, R.E.; Abdel-Rasoul, M.; Fitzgerald, M.; D’Souza, D.M.; Kneuertz, P.J. Nomograms for Predicting Overall and Recurrence-Free Survival from Pathologic Stage IA and IB Lung Cancer after Lobectomy. Clin. Lung Cancer 2021, 22, e574–e583. [Google Scholar] [CrossRef]
- Chen, H.; Sui, X.; Yang, F.; Liu, J.; Wang, J. Nomograms for predicting recurrence and survival of invasive pathological stage IA non-small cell lung cancer treated by video assisted thoracoscopic surgery lobectomy. J. Thorac. Dis. 2017, 9, 1046–1053. [Google Scholar] [CrossRef]
- Yip, R.; Li, K.W.; Liu, L.; Xu, D.M.; Tam, K.; Yankelevitz, D.F.; Taioli, E.; Becker, B.; Henschke, C.I. Controversies on Lung Cancers Manifesting as Part-Solid Nodules. Eur. Radiol. 2018, 28, 747–759. [Google Scholar] [CrossRef]
- Sun, F.; Huang, Y.; Yang, X.; Zhan, C.; Xi, J.; Lin, Z.; Shi, Y.; Jiang, W.; Wang, Q. Solid component ratio influences prognosis of GGO-featured IA stage invasive lung adenocarcinoma. Cancer Imaging 2020, 20, 87. [Google Scholar] [CrossRef]
- Sawada, S.; Yamashita, N.; Sugimoto, R.; Ueno, T.; Yamashita, M. Long-term Outcomes of Patients with Ground-Glass Opacities Detected Using CT Scanning. Chest 2017, 151, 308–315. [Google Scholar] [CrossRef] [PubMed]
- Berry, M.F.; Gao, R.; Kunder, C.A.; Backhus, L.; Khuong, A.; Kadoch, M.; Leung, A.; Shrager, J. Presence of Even a Small Ground-Glass Component in Lung Adenocarcinoma Predicts Better Survival. Clin. Lung Cancer 2018, 19, e47–e51. [Google Scholar] [CrossRef] [PubMed]
- Xi, J.; Yin, J.; Liang, J.; Zhan, C.; Jiang, W.; Lin, Z.; Xu, S.; Wang, Q. Prognostic Impact of Radiological Consolidation Tumor Ratio in Clinical Stage IA Pulmonary Ground Glass Opacities. Front. Oncol. 2021, 11, 616149. [Google Scholar] [CrossRef] [PubMed]
- Kagimoto, A.; Tsutani, Y.; Kambara, T.; Handa, Y.; Kumada, T.; Mimae, T.; Kushitani, K.; Miyata, Y.; Takeshima, Y.; Okada, M. Utility of Newly Proposed Grading System from International Association for the Study of Lung Cancer for Invasive Lung Adenocarcinoma. JTO Clin. Res. Rep. 2020, 2, 100126. [Google Scholar] [CrossRef]
- Qian, F.; Yang, W.; Wang, R.; Xu, J.; Wang, S.; Zhang, Y.; Jin, B.; Yu, K.; Han, B. Prognostic significance and adjuvant chemotherapy survival benefits of a solid or micropapillary pattern in patients with resected stage IB lung adenocarcinoma. J. Thorac. Cardiovasc. Surg. 2018, 155, 1227–1235. [Google Scholar] [CrossRef]
- Huang, Z.; Peng, K.; Hong, Z.; Zhang, P.; Kang, M. Nomogram for predicting recurrence and metastasis of stage IA lung adenocarcinoma treated by videoassisted thoracoscopic lobectomy. Asian J. Surg. 2022, 45, 2691–2699. [Google Scholar] [CrossRef]
- Wang, C.; Wu, Y.; Shao, J.; Li, W. Clinicopathological variables influencing overall survival, recurrence and post-recurrence survival in resected stage I non-small-cell lung cancer. BMC Cancer 2020, 20, 150. [Google Scholar] [CrossRef]




| Characteristics | Median or Case NO. (%) |
|---|---|
| Age (years) | 59 ± 10.5 |
| <65 | 374 (66.2) |
| ≥65 | 191 (33.8) |
| Sex | |
| Male | 218 (38.6) |
| Female | 347 (61.4) |
| Smoke | |
| Ever | 109 (19.3) |
| Never | 456 (80.7) |
| Emphysema | |
| Absent | 499 (88.3) |
| Present | 66 (11.7) |
| CTR | |
| CTR ≤0.5 | 316 (55.9) |
| 0.5< CTR ≤0.75 | 66 (11.7) |
| 0.75< CTR ≤1 | 183 (32.4) |
| Pathological T stage | |
| T1a | 88 (15.6) |
| T1b | 326 (57.7) |
| T1c | 151 (26.7) |
| Predominant subtype | |
| Lepidic | 102 (18.1) |
| Acinar | 342 (60.5) |
| Papillary | 79 (14.0) |
| Solid | 30 (5.3) |
| Micropapillary | 12 (2.1) |
| SMP | |
| Negative | 406 (71.9) |
| Minor | 116 (20.5) |
| Predominant | 43 (7.6) |
| Ki-67 expression | |
| <0.1 | 304 (53.8) |
| ≥0.1 | 261 (46.2) |
| STAS | |
| Negative | 485 (85.8) |
| Positive | 80 (14.2) |
| EGFR mutation | |
| Negative | 230 (40.7) |
| Positive | 335 (59.3) |
| ALK rearrangement | |
| Negative | 547 (96.8) |
| Positive | 18 (3.2) |
| Resection type | |
| Lobectomy | 314 (55.6) |
| Sublobar resection | 251 (44.4) |
| Variables | Univariate Analysis | Multivariate Analysis | ||
|---|---|---|---|---|
| HR (95% CI) | p-Value | HR (95% CI) | p-Value | |
| Age (years) | ||||
| <65 | Reference | |||
| ≥65 | 0.85 (0.406–1.780) | 0.667 | ||
| Sex | ||||
| Female | Reference | Reference | ||
| Male | 2.367 (1.195–4.687) | 0.013 | 0.91 (0.334–2.476) | 0.853 |
| Smoke | ||||
| Never | Reference | Reference | ||
| Ever | 3.302 (1.664–6.552) | 0.001 | 1.485 (0.548–4.022) | 0.437 |
| Emphysema | ||||
| Absent | Reference | Reference | ||
| Present | 2.206 (0.959–5.075) | 0.063 | 0.723 (0.285–1.837) | 0.496 |
| Pathological T stage | ||||
| T1a | Reference | Reference | ||
| T1b | 2.049 (0.468–8.959) | 0.341 | 0.705 (0.158–3.552) | 0.717 |
| T1c | 5.306 (1.226–22.968) | 0.026 | 0.97 (0.198–4.756) | 0.97 |
| SMP | ||||
| Negative | Reference | Reference | ||
| Minor | 6.442 (2.601–15.957) | <0.001 | 1.531 (0.514–4.561) | 0.444 |
| Predominant | 25.182 (10.355–61.243) | <0.001 | 4.969 (1.585–15.582) | 0.006 |
| CTR | ||||
| CTR ≤0.5 | Reference | Reference | ||
| 0.5< CTR ≤0.75 | 7.556 (1.262–45.230) | 0.027 | 4.855 (0.763–30.908) | 0.094 |
| 0.75< CTR ≤1 | 31.467 (7.457–132.778) | <0.001 | 11.541 (2.355–56.556) | 0.003 |
| KI-67 expression | ||||
| <0.1 | Reference | Reference | ||
| ≥0.1 | 4.133 (1.870–9.136) | <0.001 | 1.063 (0.442–2.556) | 0.891 |
| STAS | ||||
| Negative | Reference | Reference | ||
| Positive | 5.192 (2.602–10.359) | <0.001 | 1.157 (0.561–2.387) | 0.693 |
| EGFR mutation | ||||
| Negative | Reference | Reference | ||
| Positive | 0.53 (0.270–1.039) | 0.065 | 0.924 (0.427–1.999) | 0.84 |
| ALK rearrangement | ||||
| Negative | Reference | |||
| Positive | 0.047 (0–361.137) | 0.504 | ||
| Resection type | ||||
| Lobectomy | Reference | |||
| Sublobar resection | 0.581 (0.283–1.192) | 0.139 | ||
Disclaimer/Publisher’s Note: The statements, opinions and data contained in all publications are solely those of the individual author(s) and contributor(s) and not of MDPI and/or the editor(s). MDPI and/or the editor(s) disclaim responsibility for any injury to people or property resulting from any ideas, methods, instructions or products referred to in the content. |
© 2023 by the authors. Licensee MDPI, Basel, Switzerland. This article is an open access article distributed under the terms and conditions of the Creative Commons Attribution (CC BY) license (https://creativecommons.org/licenses/by/4.0/).
Share and Cite
Zhang, L.; Liu, J.; Yang, D.; Ni, Z.; Lu, X.; Liu, Y.; Liu, Z.; Wang, H.; Feng, M.; Zhang, Y. A Nomogram Based on Consolidation Tumor Ratio Combined with Solid or Micropapillary Patterns for Postoperative Recurrence in Pathological Stage IA Lung Adenocarcinoma. Diagnostics 2023, 13, 2376. https://doi.org/10.3390/diagnostics13142376
Zhang L, Liu J, Yang D, Ni Z, Lu X, Liu Y, Liu Z, Wang H, Feng M, Zhang Y. A Nomogram Based on Consolidation Tumor Ratio Combined with Solid or Micropapillary Patterns for Postoperative Recurrence in Pathological Stage IA Lung Adenocarcinoma. Diagnostics. 2023; 13(14):2376. https://doi.org/10.3390/diagnostics13142376
Chicago/Turabian StyleZhang, Longfu, Jie Liu, Dawei Yang, Zheng Ni, Xinyuan Lu, Yalan Liu, Zilong Liu, Hao Wang, Mingxiang Feng, and Yong Zhang. 2023. "A Nomogram Based on Consolidation Tumor Ratio Combined with Solid or Micropapillary Patterns for Postoperative Recurrence in Pathological Stage IA Lung Adenocarcinoma" Diagnostics 13, no. 14: 2376. https://doi.org/10.3390/diagnostics13142376
APA StyleZhang, L., Liu, J., Yang, D., Ni, Z., Lu, X., Liu, Y., Liu, Z., Wang, H., Feng, M., & Zhang, Y. (2023). A Nomogram Based on Consolidation Tumor Ratio Combined with Solid or Micropapillary Patterns for Postoperative Recurrence in Pathological Stage IA Lung Adenocarcinoma. Diagnostics, 13(14), 2376. https://doi.org/10.3390/diagnostics13142376

