Early Detection of Skin Disorders and Diseases Using Radiometry
Abstract
:1. Introduction

2. Materials and Methods
2.1. Participants
2.1.1. Participants with Healthy Skin
2.1.2. Participants with Skin Conditions or Diseases
2.2. Measurement Locations
2.3. Experimental Setup
2.4. Methodology for Processing Data
3. Results
3.1. Healthy Skin
3.2. Unhealthy Skin
3.2.1. Skin with First-Degree Burns
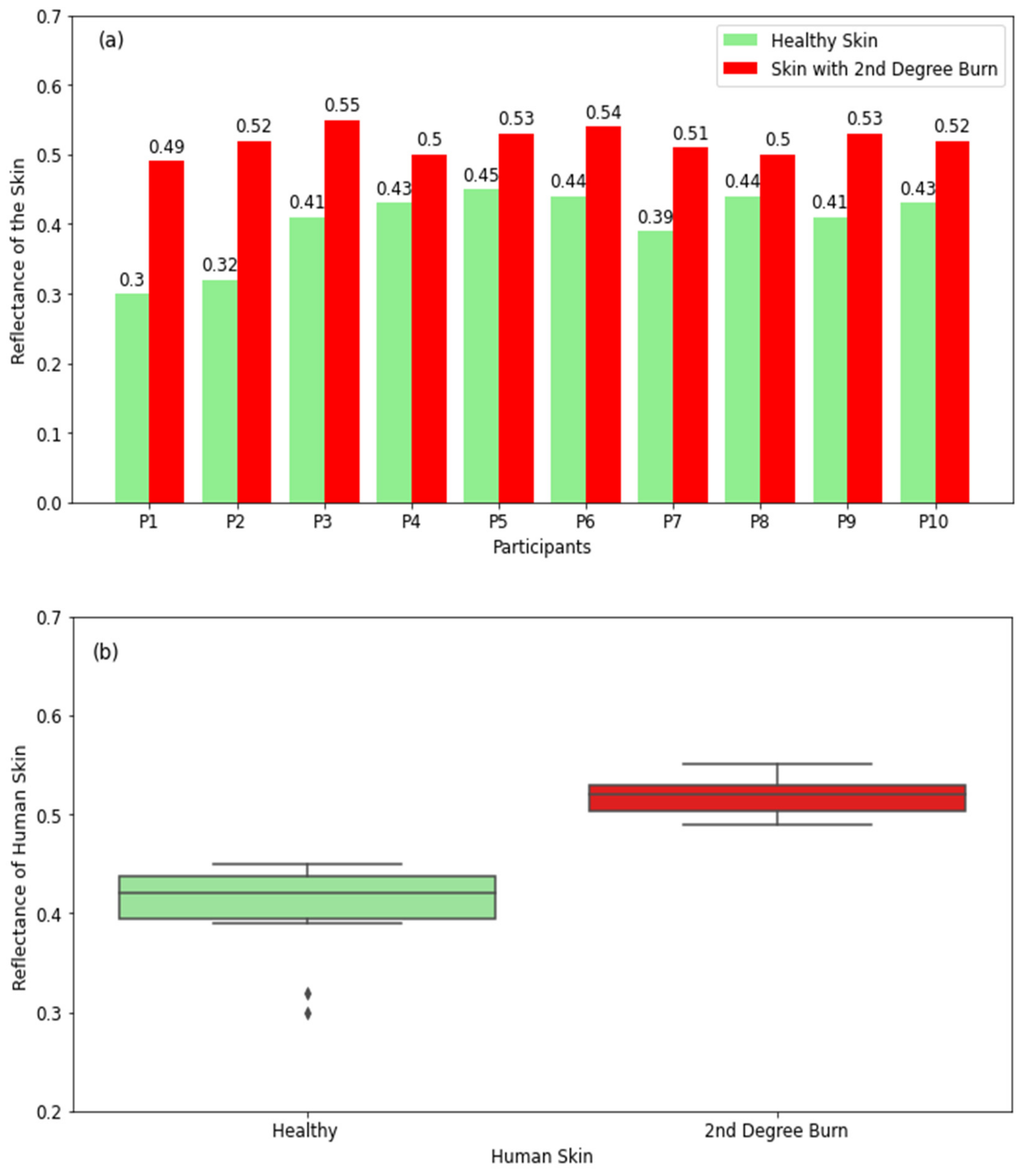
3.2.2. Skin with Second-Degree Burns
3.2.3. Skin with Third-Degree Burns
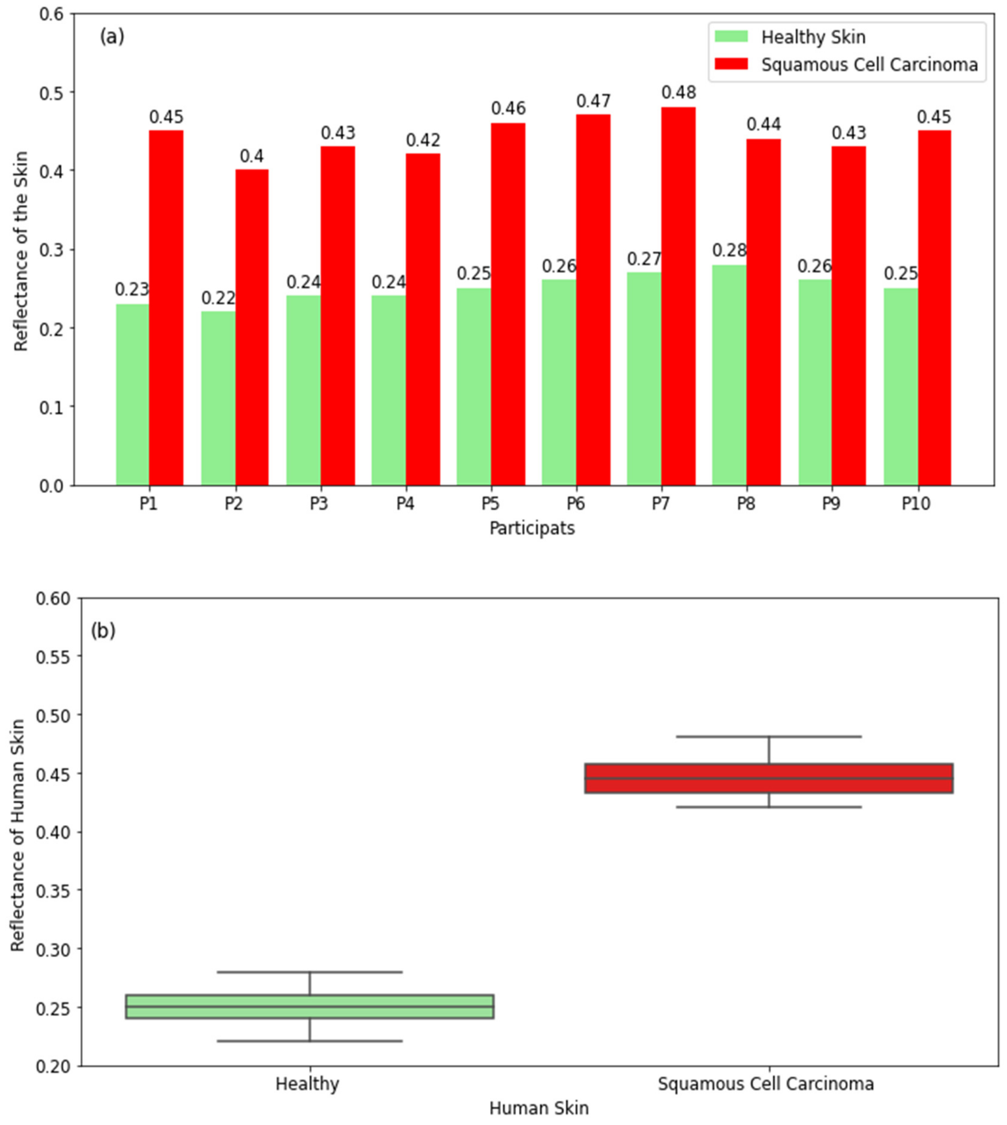
3.2.4. Skin with Squamous Cell Carcinoma (SCC)
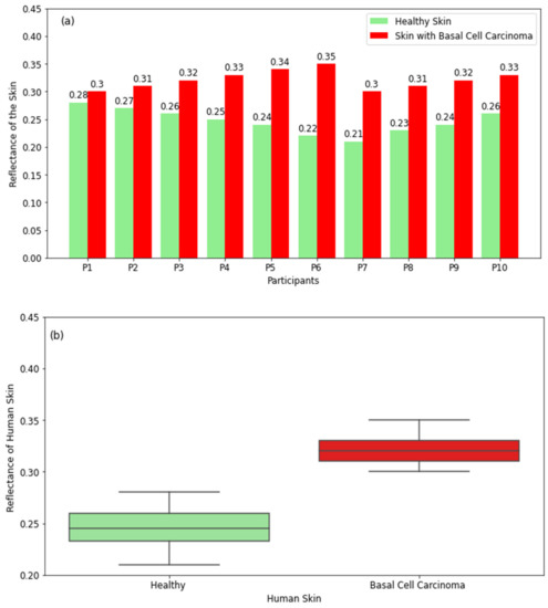
3.2.5. Skin with Basal Cell Carcinoma (BCC)
3.2.6. Skin with Eczema
4. Discussion
5. Conclusions
Author Contributions
Funding
Institutional Review Board Statement
Informed Consent Statement
Data Availability Statement
Conflicts of Interest
References
- Lawton, S. Skin 1: The structure and functions of the skin. Clin. Pract. Syst. Life Ski. 2019, 115, 30–33. [Google Scholar]
- Wikimedia Foundation. Human Skin. 2022. Available online: https://en.wikipedia.org/wiki/Human_skin (accessed on 8 August 2022).
- Hoffman, M. Human Anatomy. 2021. Available online: https://www.webmd.com/skin-problems-and-treatments/picture-of-the-skin (accessed on 8 August 2022).
- Department of Health; State Government of Victoria. Better Health Channel. 2021. Available online: https://www.betterhealth.vic.gov.au/health/conditionsandtreatments/skin (accessed on 8 August 2022).
- Betts, J.G.; Young, K.A.; Wise, J.A.; Johnson, E.; Poe, B.; Kruse, D.H.; Korol, O.; Johnson, J.E.; Womble, M.; DeSaix, P. Anatomy and Physiology 2e; OpenStax: Houston, UK, 2022. [Google Scholar]
- World Health Organization. Radiation: Ultraviolet (UV) Radiation and Skin Cancer. 2017. Available online: https://www.who.int/news-room/questions-and-answers/item/radiation-ultraviolet-(uv)-radiation-and-skin-cancer (accessed on 8 August 2022).
- Skin: Structure and Function. In Dermatology in Clinical Practice; Springer: London, UK, 2010; pp. 1–15.
- Chiang, N.Y.Z.; Verbov, J. Dermatology: Handbook for Medical Students & Junior Doctors, 2nd ed.; British Association of Dermatologists Publisher: Manchester, UK, 2014. [Google Scholar]
- Marks, J.L. What Are the Different Types of Skin Cancer? 2020. Available online: https://www.everydayhealth.com/skin-cancer/what-are-the-different-types-of-skin-cancer/ (accessed on 8 August 2022).
- Ginigeri, C. Burns in Babies: Treatment and Home Remedies by Dr Chetan Ginigeri. 2014. Available online: https://www.beingtheparent.com/burns-in-babies-treatment-home-remedies/ (accessed on 8 August 2022).
- Standring, S.; Borley, N.R.; Collins, P.; Crossman, A.R.; Gatzoulis, M.A. Gray’s Anatomy: The Anatomical Basis of Clinical Practice, 40th ed.; Elsevier Limited: Beijing, China, 2008. [Google Scholar]
- Seia, Z.; Musso, L.; Palazzini, S.; Bertero, M. Skin Biopsy Procedures: How and Where to Perform a Proper Biopsy, 2nd ed.; IntechOpen Limited: London, UK, 2011. [Google Scholar]
- Leszczynski, D. Physiological effects of millimeter-waves on skin and skin cells: An overview of the to-date published studies. Rev. Environ. Health 2020, 35, 493–515. [Google Scholar] [CrossRef] [PubMed]
- Owda, A.Y.; Salmon, N.; Harmer, S.W.; Shylo, S.; Bowring, N.J.; Rezgui, N.D.; Shah, M. Millimeter-wave emissivity as a metric for the non-contact diagnosis of human skin conditions. Bioelectromagnetics 2017, 38, 559–569. [Google Scholar] [CrossRef] [PubMed]
- Harmer, S.W.; Shylo, S.; Shah, M.; Bowring, N.J.; Owda, A.Y. On the feasibility of assessing burn wound healing without removal of dressings using radiometric millimetre-wave sensing. Prog. Electromagn. Res. M 2016, 45, 173–183. [Google Scholar] [CrossRef]
- Alekseev, S.; Ziskin, M. Human skin permittivity determined by millimeter wave reflection measurements. Bioelectromagnetics 2007, 28, 331–339. [Google Scholar] [CrossRef]
- Smulders, P. Analysis of human skin tissue by millimeter-wave reflectometry. Ski. Res. Technol. 2012, 19, e209–e216. [Google Scholar] [CrossRef]
- Owda, A.Y.; Owda, M.; Rezgui, N.-D. Synthetic Aperture Radar Imaging for Burn Wounds Diagnostics. Sensors 2020, 20, 847. [Google Scholar] [CrossRef]
- Hecht, D.; Ullmann, I.; Oppelt, D.; Pfahler, T.; Amer, N.; Vossiek, M. Millimeter-wave imaging and near-field spectroscopy for burn wound assessment. Frequenz 2022. [Google Scholar] [CrossRef]
- Appleby, R.; Anderton, R.N. Millimeter-Wave and Submillimeter-Wave Imaging for Security and Surveillance. Proc. IEEE 2007, 95, 1683–1690. [Google Scholar] [CrossRef]
- Wu, T.; Rappaport, T.S.; Collins, C.M. The Human Body and Millimeter-Wave Wireless Communication Systems: Interactions and Implications. In Proceedings of the IEEE International Conference on Communication (ICC), London, UK, 8–12 June 2015. [Google Scholar]
- Owda, A.Y.; Salmon, N.; Rezgui, N.D. Electromagnetic Signatures of Human Skin in the Millimeter Wave Band 80–100 GHz. Prog. Electromagn. Res. B 2018, 80, 79–99. [Google Scholar] [CrossRef]
- Salmon, N.A. Outdoor Passive Millimeter-Wave Imaging: Phenomenology and Scene Simulation. IEEE Trans. Antennas Propag. 2018, 66, 897–908. [Google Scholar] [CrossRef]
- Gabriel, S.; Lau, R.; Gabriel, C. The dielectric properties of biological tissues: II. Measurements in the frequency range 10 Hz to 20 GHz. Phys. Med. Biol. 1996, 41, 2251. [Google Scholar] [CrossRef]
- Lubecke, O.B.; Nikawa, Y.; Snyder, W.; Lin, J.; Mizuno, K. Novel microwave and millimeter-wave biomedical applications. In Proceedings of the 4th International Conference on Telecommunications in Modern Satellite, Cable and Broadcasting Services. TELSIKS’99 (Cat. No. 99EX365), Nis, Yugoslavia, 13–15 October 1999. [Google Scholar]
- Owda, A.Y.; Salmon, N.; Casson, A.J.; Owda, M. The Reflectance of Human Skin in the Millimeter-Wave Band. Sensors 2020, 20, 1480. [Google Scholar] [CrossRef]
- Pickwell, E.; Fitzgerald, A.J.; Cole, B.E.; Taday, P.F.; Pye, R.J.; Ha, T.; Pepper, M.; Wallace, V. Simulating the response of terahertz radiation to basal cell carcinoma using ex vivo spectroscopy measurements. J. Biomed. Opt. 2005, 10, 064021. [Google Scholar] [CrossRef]
- Pickwell, E.; Cole, B.E.; Fitzgerald, A.J.; Pepper, M.; Wallace, V.P. In vivo study of human skin using pulsed terahertz radiation. Phys. Med. Biol. 2004, 49, 1595–1607. [Google Scholar] [CrossRef]
- Wallace, V.P.; Fitzgerald, A.J.; Pickwell, E.; Pye, R.J.; Taday, P.F.; Flanagan, N.; Ha, T. Terahertz Pulsed Spectroscopy of Human Basal Cell Carcinoma. Appl. Spectrosc. 2006, 60, 1127–1133. [Google Scholar] [CrossRef]
- Taeb, A.; Gigoyan, S.; Safavi-Naeini, S. Millimetre-wave waveguide reflectometers for early detection of skin cancer. IET Microwaves, Antennas Propag. 2013, 7, 1182–1186. [Google Scholar] [CrossRef]
- Wallace, V.P.; Fitzgerald, A.J.; Shankar, S.; Flanagan, N.; Pye, R.; Cluff, J.; Arnone, D.D. Terahertz pulsed imaging of basal cell carcinoma ex vivo and in vivo. Br. J. Dermatol. 2004, 151, 424–432. [Google Scholar] [CrossRef]
- Gabriel, S.; Lau, R.W.; Gabriel, C. The dielectric properties of biological tissues: III. Parametric models for the dielectric spectrum of tissues. Phys. Med. Biol. 1996, 41, 2271–2293. [Google Scholar] [CrossRef]
- Gao, Y.; Zoughi, R. Millimeter Wave Reflectometry and Imaging for Noninvasive Diagnosis of Skin Burn Injuries. IEEE Trans. Instrum. Meas. 2017, 66, 77–84. [Google Scholar] [CrossRef]
- Owda, A.Y.; Salmon, N.; Shylo, S.; Owda, M. Assessment of Bandaged Burn Wounds Using Porcine Skin and Millimetric Radiometry. Sensors 2019, 19, 2950. [Google Scholar] [CrossRef] [Green Version]
- Rohde & Schwarz. Measurement of Dielectric Material Properties; Rohde & Schwarz: Berlin, Germany, 2012. [Google Scholar]
- Hwang, H.; Yim, J.; Cho, J.; Cheon, C.; Kwon, Y. 110 GHz broadband measurement of permittivity on human epidermis using 1 mm coaxial probe. Microwave Symposium Digest. In Proceedings of the 2003 IEEE MTT-S International, Philadelphia, PA, USA, 8–13 June 2003. [Google Scholar]
- Owda, A.; Rezgui, N.-D.; Salmon, N. Signatures of human skin in the millimeter wave band (80–100) GHz. In Proceedings of the SPIE Europe Security + Defence, Millimetre Wave and Terahertz Sensors and Technology X, Warsaw, Poland, 11–14 September 2017. [Google Scholar]
- Owda, A.Y.; Salmon, N.; Rezgui, N.-D.; Shylo, S. Millimetre wave radiometers for medical diagnostics of human skin. In Proceedings of the 2017 IEEE SENSORS, Glasgow, UK, 29 October–1 November 2017. [Google Scholar]
- Owda, A.Y.; Salmon, N. Variation in the electromagnetic signatures of the human skin with physical activity and hydration level of the skin. In Proceedings of the SPIE 11164, Millimetre Wave and Terahertz Sensors and Technology XII, Strasbourg, France, 9–10 September 2019. [Google Scholar]
- Owda, A.Y.; Salmon, N. Millimetric radiometry for measuring human and porcine skin reflectance. In Proceedings of the SPIE 11164, Millimetre Wave and Terahertz Sensors and Technology XII, Manchester, UK, 20 September 2020. [Google Scholar]
- Kenney, W.L.; Chiu, P. Influence of age on thirst and fluid intake. Med. Sci. Sports Exerc. 2001, 33, 1524–1532. [Google Scholar] [CrossRef] [PubMed]
- Derraik, J.G.B.; Rademaker, M.; Cutfield, W.S.; Pinto, T.E.; Tregurtha, S.; Faherty, A.; Peart, J.M.; Drury, P.L.; Hofman, P.L. Effects of Age, Gender, BMI, and Anatomical Site on Skin Thickness in Children and Adults with Diabetes. PLoS ONE 2014, 9, e86637. [Google Scholar] [CrossRef]
- Firooz, A.; Sadr, B.; Babakoohi, S.; Sarraf-Yazdy, M.; Fanian, F.; Kazerouni-Timsar, A.; Nassiri-Kashani, M.; Naghizadeh, M.M.; Dowlati, Y. Variation of biophysical parameters of the skin with age, gender, and body region. Sci. World J. 2012, 2012, 386936. [Google Scholar] [CrossRef]
- Owda, A.Y. Passive Millimeter-Wave Imaging for Burns Diagnostics under Dressing Materials. Sensors 2022, 22, 2428. [Google Scholar] [CrossRef]









| Skin Region | Reflectance Range (Females) | Reflectance Range (Males) |
|---|---|---|
| Volar Side | 0.52–0.71 | 0.47–0.73 |
| Dorsal Surface | 0.41–0.66 | 0.41–0.68 |
| Elbow | 0.44–0.70 | 0.41–0.70 |
| Palm of Hand | 0.45–0.82 | 0.32–0.70 |
| Back of Hand | 0.48–0.83 | 0.41–0.82 |
| Fingers | 0.43–0.94 | 0.34–0.82 |
| Inner Wrist, Middle | 0.50–0.75 | 0.45–0.72 |
| Inner Wrist, Side | 0.56–0.77 | 0.51–0.78 |
| Outer Wrist | 0.47–0.75 | 0.47–0.72 |
| Skin Disease or Condition | Reflectance Range (Healthy Region) | Reflectance Range (Unhealthy Region) |
|---|---|---|
| First-Degree Burn | 0.36–0.44 | 0.28–0.34 |
| Second-Degree Burn | 0.39–0.45 | 0.49–0.55 |
| Third-Degree Burn | 0.34–0.44 | 0.14–0.27 |
| Skin with SCC | 0.22–0.28 | 0.42–0.48 |
| Skin with BCC | 0.21–0.28 | 0.30–0.35 |
| Skin with Eczema | 0.22–0.28 | 0.14–0.21 |
Publisher’s Note: MDPI stays neutral with regard to jurisdictional claims in published maps and institutional affiliations. |
© 2022 by the authors. Licensee MDPI, Basel, Switzerland. This article is an open access article distributed under the terms and conditions of the Creative Commons Attribution (CC BY) license (https://creativecommons.org/licenses/by/4.0/).
Share and Cite
Owda, A.Y.; Owda, M. Early Detection of Skin Disorders and Diseases Using Radiometry. Diagnostics 2022, 12, 2117. https://doi.org/10.3390/diagnostics12092117
Owda AY, Owda M. Early Detection of Skin Disorders and Diseases Using Radiometry. Diagnostics. 2022; 12(9):2117. https://doi.org/10.3390/diagnostics12092117
Chicago/Turabian StyleOwda, Amani Yousef, and Majdi Owda. 2022. "Early Detection of Skin Disorders and Diseases Using Radiometry" Diagnostics 12, no. 9: 2117. https://doi.org/10.3390/diagnostics12092117
APA StyleOwda, A. Y., & Owda, M. (2022). Early Detection of Skin Disorders and Diseases Using Radiometry. Diagnostics, 12(9), 2117. https://doi.org/10.3390/diagnostics12092117

