Radiomics Signature to Predict Prognosis in Early-Stage Lung Adenocarcinoma (≤3 cm) Patients with No Lymph Node Metastasis
Abstract
1. Introduction
2. Materials and Methods
2.1. Patient Enrollment and Follow-Up
2.2. CT Image Acquisition
2.3. Radiomics Segmentation and Feature Extraction
2.4. Radiomics Analysis and Model Establishment
2.5. Statistical Analysis
3. Results
3.1. Clinical and Pathological Characteristics
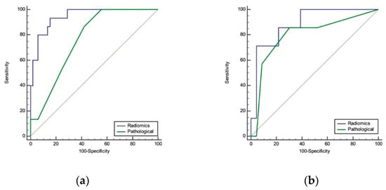
3.2. Radiomics Signature Analysis
3.3. Assessment of the Incremental Value of the Radiomics Model in Predicting Prognosis
4. Discussion
Author Contributions
Funding
Institutional Review Board Statement
Informed Consent Statement
Data Availability Statement
Conflicts of Interest
References
- Chen, W.; Zheng, R.; Baade, P.D.; Zhang, S.; Zeng, H.; Bray, F.; Jemal, A.; Yu, X.Q.; He, J. Cancer statistics in China, 2015. CA Cancer J. Clin. 2016, 66, 115–132. [Google Scholar] [CrossRef]
- Siegel, R.L.; Miller, K.D.; Fuchs, H.E.; Jemal, A. Cancer statistics, 2022. CA Cancer J. Clin. 2022, 72, 7–33. [Google Scholar] [CrossRef]
- De Koning, H.J.; Van Der Aalst, C.M.; De Jong, P.A.; Scholten, E.T.; Nackaerts, K.; Heuvelmans, M.A.; Lammers, J.J.; Weenink, C.; Yousaf-Khan, U.; Horeweg, N.; et al. Reduced Lung-Cancer Mortality with Volume CT Screening in a Randomized Trial. N. Engl. J. Med. 2020, 382, 503–513. [Google Scholar] [CrossRef] [PubMed]
- Wu, F.Z.; Huang, Y.L.; Wu, Y.J.; Tang, E.K.; Wu, M.T.; Chen, C.S.; Lin, Y.P. Prognostic effect of implementation of the mass low-dose computed tomography lung cancer screening program: A hospital-based cohort study. Eur. J. Cancer. Prev. 2020, 29, 445–451. [Google Scholar] [CrossRef] [PubMed]
- Wu, F.Z.; Huang, Y.L.; Wu, C.C.; Tang, E.K.; Chen, C.S.; Mar, G.Y.; Yen, Y.; Wu, M.T. Assessment of Selection Criteria for Low-Dose Lung Screening CT Among Asian Ethnic Groups in Taiwan: From Mass Screening to Specific Risk-Based Screening for Non-Smoker Lung Cancer. Clin. Lung Cancer 2016, 17, e45–e56. [Google Scholar] [CrossRef]
- National Lung Screening Trial Research Team; Aberle, D.R.; Adams, A.M.; Berg, C.D.; Black, W.C.; Clapp, J.D.; Fagerstrom, R.M.; Gareen, I.F.; Gatsonis, C.; Marcus, P.M.; et al. Reduced lung-cancer mortality with low-dose computed tomographic screening. N. Engl. J. Med. 2011, 365, 395–409. [Google Scholar] [CrossRef] [PubMed]
- Hansell, D.M.; Bankier, A.A.; MacMahon, H.; McLoud, T.C.; Muller, N.L.; Remy, J. Fleischner society: Glossary of terms for thoracic imaging. Radiology 2008, 246, 697–722. [Google Scholar] [CrossRef] [PubMed]
- Sateia, H.F.; Choi, Y.; Stewart, R.W.; Peairs, K.S. Screening for lung cancer. Semin. Oncol. 2017, 44, 74–82. [Google Scholar] [CrossRef] [PubMed]
- Goldstraw, P.; Chansky, K.; Crowley, J.; Rami-Porta, R.; Asamura, H.; Eberhardt, W.E.; Nicholson, A.G.; Groome, P.; Mitchell, A.; Bolejack, V. The IASLC lung cancer staging project: Proposals for revision of the TNM stage groupings in the forthcoming (Eighth) edition of the TNM classification for lung cancer. J. Thorac. Oncol. 2016, 11, 39–51. [Google Scholar] [CrossRef] [PubMed]
- Ost, D.; Goldberg, J.; Rolnitzky, L.; Rom, W.N. Survival after surgery in stage IA and IB non-small cell lung cancer. Am. J. Respir. Crit. Care Med. 2008, 177, 516–523. [Google Scholar] [CrossRef] [PubMed]
- Martini, N.; Bains, M.S.; Burt, M.E.; Zakowski, M.F.; McCormack, P.; Rusch, V.W.; Ginsberg, R.J. Incidence of local recurrence and second primary tumors in resected stage I lung cancer. J. Thorac. Cardiovasc. Surg. 1995, 109, 120–129. [Google Scholar] [CrossRef]
- Lambin, P.; Rios-Velazquez, E.; Leijenaar, R.; Carvalho, S.; van Stiphout, R.G.; Granton, P.; Zegers, C.M.; Gillies, R.; Boellard, R.; Dekker, A.; et al. Radiomics: Extracting more information from medical images using advanced feature analysis. Eur. J. Cancer 2012, 48, 441–446. [Google Scholar] [CrossRef] [PubMed]
- Aerts, H.J.; Velazquez, E.R.; Leijenaar, R.T.; Parmar, C.; Grossmann, P.; Carvalho, S.; Bussink, J.; Monshouwer, R.; Haibe-Kains, B.; Rietveld, D.; et al. Decoding tumour phenotype by noninvasive imaging using a quantitative radiomics approach. Nat. Commun. 2014, 5, 4006. [Google Scholar] [CrossRef] [PubMed]
- Gillies, R.J.; Kinahan, P.E.; Hricak, H. Radiomics: Images are more than pictures, they are data. Radiology 2016, 278, 563–577. [Google Scholar] [CrossRef] [PubMed]
- Larue, R.T.; Defraene, G.; De Ruysscher, D.; Lambin, P.; Van Elmpt, W. Quantitative radiomics studies for tissue characterization: A review of technology and methodological procedures. Br. J. Radiol. 2017, 90, 20160665. [Google Scholar] [CrossRef] [PubMed]
- Parmar, C.; Leijenaar, R.T.; Grossmann, P.; Velazquez, E.R.; Bussink, J.; Rietveld, D.; Rietbergen, M.M.; Haibe-Kains, B.; Lambin, P.; Aerts, H.J. Radiomic feature clusters and prognostic signatures specific for lung and head & neck cancer. Sci. Rep. 2015, 5, 11044. [Google Scholar] [CrossRef] [PubMed]
- Segal, E.; Sirlin, C.B.; Ooi, C.; Adler, A.S.; Gollub, J.; Chen, X.; Chan, B.K.; Matcuk, G.R.; Barry, C.T.; Chang, H.Y.; et al. Decoding global gene expression programs in liver cancer by noninvasive imaging. Nat. Biotechnol. 2007, 25, 675–680. [Google Scholar] [CrossRef]
- Zinn, P.O.; Mahajan, B.; Sathyan, P.; Singh, S.K.; Majumder, S.; Jolesz, F.A.; Colen, R.R. Radiogenomic mapping of edema/cellular invasion MRI-phenotypes in glioblastoma multiforme. PLoS ONE 2011, 6, e25451. [Google Scholar] [CrossRef] [PubMed]
- Parmar, C.; Grossmann, P.; Rietveld, D.; Rietbergen, M.M.; Lambin, P.; Aerts, H.J. Radiomic machine-learning classifiers for prognostic biomarkers of head and neck cancer. Front. Oncol. 2015, 5, 272. [Google Scholar] [CrossRef]
- Alic, L.; Niessen, W.J.; Veenland, J.F. Quantification of heterogeneity as a biomarker in tumor imaging: A systematic review. PLoS ONE 2014, 9, e110300. [Google Scholar] [CrossRef]
- Gevaert, O.; Mitchell, L.A.; Achrol, A.S.; Xu, J.; Echegaray, S.; Steinberg, G.K.; Cheshier, S.H.; Napel, S.; Zaharchuk, G.; Plevritis, S.K. Glioblastoma multiforme: Exploratory radiogenomic analysis by using quantitative image features. Radiology 2014, 273, 168–174. [Google Scholar] [CrossRef] [PubMed]
- Wei, K.; Su, H.; Zhou, G.; Zhang, R.; Cai, P.; Fan, Y.; Xie, C.; Fei, B.; Zhang, Z. Potential application of radiomics for differentiating solitary pulmonary nodules. OMICS J. Radiol. 2016, 5, 1000218. [Google Scholar] [CrossRef]
- Wu, W.; Parmar, C.; Grossmann, P.; Quackenbush, J.; Lambin, P.; Bussink, J.; Mak, R.; Aerts, H.J. Exploratory study to identify radiomics classifiers for lung cancer histology. Front. Oncol. 2016, 6, 71. [Google Scholar] [CrossRef]
- Li, H.; Gao, L.; Ma, H.; Arefan, D.; He, J.; Wang, J.; Liu, H. Radiomics-Based Features for Prediction of Histological Subtypes in Central Lung Cancer. Front. Oncol. 2021, 11, 658887. [Google Scholar] [CrossRef]
- Weiss, G.J.; Ganeshan, B.; Miles, K.A.; Campbell, D.H.; Cheung, P.Y.; Frank, S.; Korn, R.L. Noninvasive image texture analysis differentiates K-ras mutation from pan-wildtype NSCLC and is prognostic. PLoS ONE 2014, 9, e100244. [Google Scholar] [CrossRef] [PubMed]
- Gevaert, O.; Xu, J.; Hoang, C.D.; Leung, A.N.; Xu, Y.; Quon, A.; Rubin, D.L.; Napel, S.; Plevritis, S.K. Non-small cell lung cancer: Identifying prognostic imaging biomarkers by leveraging public gene expression microarray data—Methods and preliminary results. Radiology 2012, 264, 387–396. [Google Scholar] [CrossRef]
- Coroller, T.P.; Grossmann, P.; Hou, Y.; Velazquez, E.R.; Leijenaar, R.T.; Hermann, G.; Lambin, P.; Haibe-Kains, B.; Mak, R.H.; Aerts, H.J. CT-based radiomic signature predicts distant metastasis in lung adenocarcinoma. Radiother. Oncol. 2015, 114, 345–350. [Google Scholar] [CrossRef] [PubMed]
- Huynh, E.; Coroller, T.P.; Narayan, V.; Agrawal, V.; Romano, J.; Franco, I.; Parmar, C.; Hou, Y.; Mak, R.H.; Aerts, H.J. Associations of Radiomic Data Extracted from Static and Respiratory-Gated CT Scans with Disease Recurrence in Lung Cancer Patients Treated with SBRT. PLoS ONE 2017, 12, e0169172. [Google Scholar] [CrossRef] [PubMed]
- Wang, L.; Liu, A.; Wang, Z.; Xu, N.; Zhou, D.; Qu, T.; Liu, G.; Wang, J.; Yang, F.; Guo, X.; et al. A Prognostic Model of Non-Small Cell Lung Cancer With a Radiomics Nomogram in an Eastern Chinese Population. Front. Oncol. 2022, 12, 816766. [Google Scholar] [CrossRef] [PubMed]
- Wilson, R.; Devaraj, A. Radiomics of pulmonary nodules and lung cancer. Transl. Lung Cancer Res. 2017, 6, 86–91. [Google Scholar] [CrossRef] [PubMed]
- Ding, C.; Peng, H. Minimum redundancy feature selection from microarray gene expression data. J. Bioinform. Comput. Biol. 2005, 3, 185–205. [Google Scholar] [CrossRef] [PubMed]
- Tibshirani, R. Regression shrinkage and selection via the lasso. J. R. Stat. Soc. B (Methodol.) 1996, 58, 267–288. [Google Scholar] [CrossRef]
- Huang, Y.; Liu, Z.; He, L.; Chen, X.; Pan, D.; Ma, Z.; Liang, C.; Tian, J.; Liang, C. Radiomics signature: A potential biomarker for the prediction of disease-free survival in early-stage (I or II) non-small cell lung cancer. Radiology 2016, 281, 947–957. [Google Scholar] [CrossRef] [PubMed]
- Andor, N.; Maley, C.C.; Ji, H.P. Genomic instability in cancer: Teetering on the limit of tolerance. Cancer Res. 2017, 77, 2179–2185. [Google Scholar] [CrossRef]
- Gerlinger, M.; Rowan, A.J.; Horswell, S.; Math, M.; Larkin, J.; Endesfelder, D.; Gronroos, E.; Martinez, P.; Matthews, N.; Stewart, A.; et al. Intratumor heterogeneity and branched evolution revealed by multiregion sequencing. N. Engl. J. Med. 2012, 366, 883–892. [Google Scholar] [CrossRef] [PubMed]
- Kuo, M.D.; Gollub, J.; Sirlin, C.B.; Ooi, C.; Chen, X. Radiogenomic analysis to identify imaging phenotypes associated with drug response gene expression programs in hepatocellular carcinoma. J. Vasc. Interv. Radiol. 2007, 18, 821–831. [Google Scholar] [CrossRef]
- Rutman, A.M.; Kuo, M.D. Radiogenomics: Creating a link between molecular diagnostics and diagnostic imaging. Eur. J. Radiol. 2009, 70, 232–241. [Google Scholar] [CrossRef] [PubMed]
- Ma, J.W.; Li, M. Molecular typing of lung adenocarcinoma with computed tomography and CT image-based radiomics: A narrative review of research progress and prospects. Transl. Cancer Res. 2021, 10, 4217–4231. [Google Scholar] [CrossRef]
- Tomaszewski, M.R.; Gillies, R.J. The Biological Meaning of Radiomic Features. Radiology 2021, 298, 505–516. [Google Scholar] [CrossRef]
- Russell, P.A.; Wainer, Z.; Wright, G.M.; Daniels, M.; Conron, M.; Williams, R.A. Does lung adenocarcinoma subtype predict patient survival?: A clinicopathologic study based on the new International association for the study of lung cancer/American thoracic society/European respiratory society international multidisciplinary lung adenocarcinoma classification. J. Thorac. Oncol. 2011, 6, 1496–1504. [Google Scholar] [CrossRef]
- Travis, W.D.; Brambilla, E.; Nicholson, A.G.; Yatabe, Y.; Austin, J.H.M.; Beasley, M.B.; Chirieac, L.R.; Dacic, S.; Duhig, E.; Flieder, D.B.; et al. The 2015 world health organization classification of lung tumors: Impact of genetic, clinical and radiologic advances since the 2004 classification. J. Thorac. Oncol. 2015, 10, 1243–1260. [Google Scholar] [CrossRef]
- Warth, A.; Muley, T.; Meister, M.; Stenzinger, A.; Thomas, M.; Schirmacher, P.; Schnabel, P.A.; Budczies, J.; Hoffmann, H.; Weichert, W. The novel histologic international association for the study of lung cancer/American thoracic society/European respiratory society classification system of lung adenocarcinoma is a stage-independent predictor of survival. J. Clin. Oncol. 2012, 30, 1438–1446. [Google Scholar] [CrossRef]
- Hung, J.J.; Yeh, Y.C.; Jeng, W.J.; Wu, K.J.; Huang, B.S.; Wu, Y.C.; Chou, T.Y.; Hsu, W.H. Predictive value of the international association for the study of lung cancer/American thoracic society/European respiratory society classification of lung adenocarcinoma in tumor recurrence and patient survival. J. Clin. Oncol. 2014, 32, 2357–2364. [Google Scholar] [CrossRef] [PubMed]



| Total (n = 97) | Good Prognosis Group (n = 74) | Poor Prognosis Group (n = 23) | p Value | |
|---|---|---|---|---|
| Age | 58.39 ± 10.19 | 58.08 ± 10.10 | 59.39 ± 10.63 | 0.593 |
| Sex | 0.002 | |||
| Female | 33 (34.0) | 19 (25.7) | 14 (60.9) | |
| Male | 64 (66.0) | 55 (74.3) | 9 (39.1) | |
| Smoking * | 0.006 | |||
| Yes | 21 (22.6) | 11 (15.7) | 10 (43.5) | |
| No | 72 (77.4) | 59 (84.3) | 13 (56.5) | |
| Pathological subtype # | 0.002 | |||
| 1 | 33 (34.0) | 31 (41.9) | 2 (8.7) | |
| 2 | 16 (16.5) | 14 (18.9) | 2 (8.7) | |
| 3 | 42 (43.3) | 25 (33.8) | 17 (73.9) | |
| 4 | 6 (6.2) | 4 (5.4) | 2 (8.7) | |
| T stage | <0.001 | |||
| 1a | 43 (44.3) | 41 (55.4) | 2 (8.7) | |
| 1b | 11 (11.3) | 5 (6.8) | 6 (26.1) | |
| 1c | 3 (3.1) | 2 (2.7) | 1 (4.3) | |
| 2a | 40 (41.3) | 26 (35.1) | 14 (60.9) | |
| Stage | 0.029 | |||
| IA | 57 (58.8) | 48 (64.9) | 9 (39.1) | |
| IB | 40 (41.2) | 26 (35.1) | 14 (60.9) | |
| Tumor size (cm) | 1.80 ± 0.53 | 1.72 ± 0.52 | 2.07 ± 0.49 | 0.006 |
| DFS (days) | 3363.08 ± 106.99 | N/A | 986.83 ± 165.91 | N/A |
| Model | Training Cohort (n = 67) | Testing Cohort (n = 30) | p Value |
|---|---|---|---|
| Prognosis | 0.953 | ||
| Good | 51 (76.1) | 23 (76.7) | |
| Poor | 16 (23.9) | 7 (23.3) | |
| Age | 58.96 ± 9.24 | 57.13 ± 12.13 | 0.418 |
| Sex | 0.713 | ||
| Female | 22 (32.8) | 11 (36.7) | |
| Male | 45 (67.2) | 19 (63.3) | |
| Smoking * | 0.714 | ||
| Yes | 14 (21.5) | 7 (25.0) | |
| No | 51 (78.5) | 21 (75.0) | |
| Pathological subtype # | 0.334 | ||
| 1 | 19 (28.4) | 14 (46.7) | |
| 2 | 13 (19.4) | 3 (10) | |
| 3 | 30 (44.8) | 12 (40) | |
| 4 | 5 (7.4) | 1 (3.3) | |
| T stage | 0.054 | ||
| 1a | 24 (35.8) | 19 (63.3) | |
| 1b | 8 (11.9) | 3 (10.0) | |
| 1c | 2 (3.0) | 1 (3.3) | |
| 2a | 33 (49.3) | 7 (23.4) | |
| Stage | 0.017 | ||
| IA | 34 (50.7) | 23 (76.7) | |
| IB | 33 (49.3) | 7 (23.3) | |
| Tumor size (cm) | 1.80 ± 0.54 | 1.80 ± 0.52 | 0.970 |
| DFS (days) | 3154.28 ± 183.86 | 3469.20 ± 255.61 | 0.879 |
| Model Type | Training Cohort | Testing Cohort | ||||
|---|---|---|---|---|---|---|
| AUC | SE | 95% CI | AUC | SE | 95% CI | |
| Pathological | 0.761 | 0.0575 | 0.648 to 0.874 | 0.798 | 0.107 | 0.588 to 1.000 |
| Radiomics | 0.946 | 0.0268 | 0.894 to 0.999 | 0.888 | 0.0675 | 0.756 to 1.000 |
| NRI | Training Cohort | Testing Cohort | ||||
|---|---|---|---|---|---|---|
| Estimate | Std. Error | Lower to Upper | Estimate | Std. Error | Lower to Upper | |
| Radiomics vs. Pathological model | 0.3808 | 0.1357 | 0.1116 to 0.6528 | 0.5279 | 0.2057 | 0.1174 to 0.9600 |
Publisher’s Note: MDPI stays neutral with regard to jurisdictional claims in published maps and institutional affiliations. |
© 2022 by the authors. Licensee MDPI, Basel, Switzerland. This article is an open access article distributed under the terms and conditions of the Creative Commons Attribution (CC BY) license (https://creativecommons.org/licenses/by/4.0/).
Share and Cite
Zhang, L.; Lv, L.; Li, L.; Wang, Y.-M.; Zhao, S.; Miao, L.; Gao, Y.-N.; Li, M.; Wu, N. Radiomics Signature to Predict Prognosis in Early-Stage Lung Adenocarcinoma (≤3 cm) Patients with No Lymph Node Metastasis. Diagnostics 2022, 12, 1907. https://doi.org/10.3390/diagnostics12081907
Zhang L, Lv L, Li L, Wang Y-M, Zhao S, Miao L, Gao Y-N, Li M, Wu N. Radiomics Signature to Predict Prognosis in Early-Stage Lung Adenocarcinoma (≤3 cm) Patients with No Lymph Node Metastasis. Diagnostics. 2022; 12(8):1907. https://doi.org/10.3390/diagnostics12081907
Chicago/Turabian StyleZhang, Li, Lv Lv, Lin Li, Yan-Mei Wang, Shuang Zhao, Lei Miao, Yan-Ning Gao, Meng Li, and Ning Wu. 2022. "Radiomics Signature to Predict Prognosis in Early-Stage Lung Adenocarcinoma (≤3 cm) Patients with No Lymph Node Metastasis" Diagnostics 12, no. 8: 1907. https://doi.org/10.3390/diagnostics12081907
APA StyleZhang, L., Lv, L., Li, L., Wang, Y.-M., Zhao, S., Miao, L., Gao, Y.-N., Li, M., & Wu, N. (2022). Radiomics Signature to Predict Prognosis in Early-Stage Lung Adenocarcinoma (≤3 cm) Patients with No Lymph Node Metastasis. Diagnostics, 12(8), 1907. https://doi.org/10.3390/diagnostics12081907

