Differentiating False Positive Lesions from Clinically Significant Cancer and Normal Prostate Tissue Using VERDICT MRI and Other Diffusion Models
Abstract
1. Introduction
2. Materials and Methods
2.1. Patient Cohort
- Suspected PCa;
- Undergoing active surveillance for known PCa.
- Exclusion criteria included the following:
- Inability to have an MRI scan, or presence of an artefact that would reduce quality of MRI;
- Previous hormonal/radiation therapy or surgical treatment for PCa;
- Biopsy within 6 months prior to the scan.
2.2. Image Acquisition
2.2.1. Mp-MRI
2.2.2. VERDICT MRI
2.3. Image Analysis
2.3.1. ROIs
2.3.2. DW-MRI Data Preprocessing
2.3.3. Mathematical Models
- Signal S1 comes from intracellular water trapped within cells (including epithelium);
- Signal S2 comes from extracellular–extravascular water adjacent to but outside cells and blood vessels (including stroma and lumen);
- Signal S3 comes from water in blood undergoing microcirculation in the capillary network.
2.3.4. Model Fitting
2.3.5. Statistical Analysis
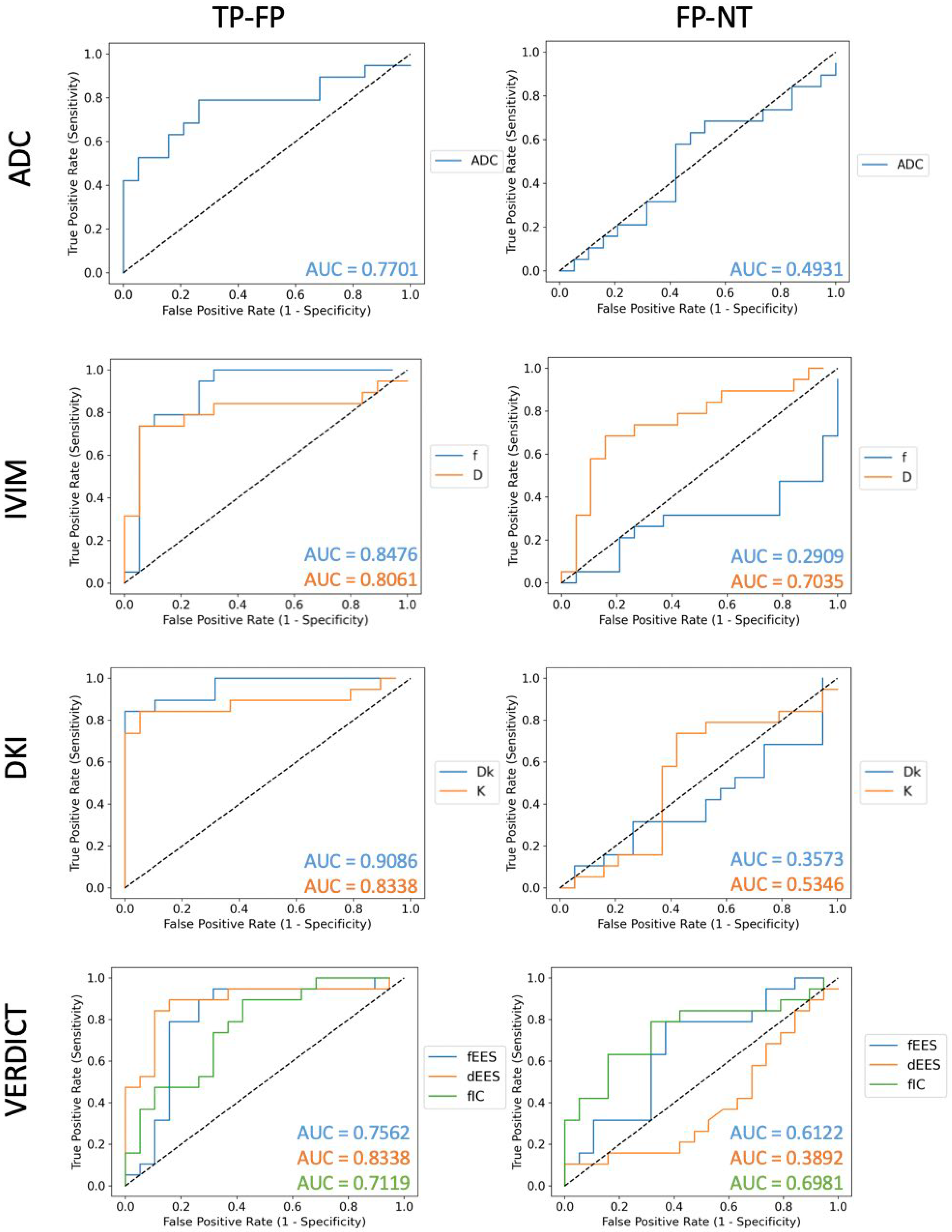
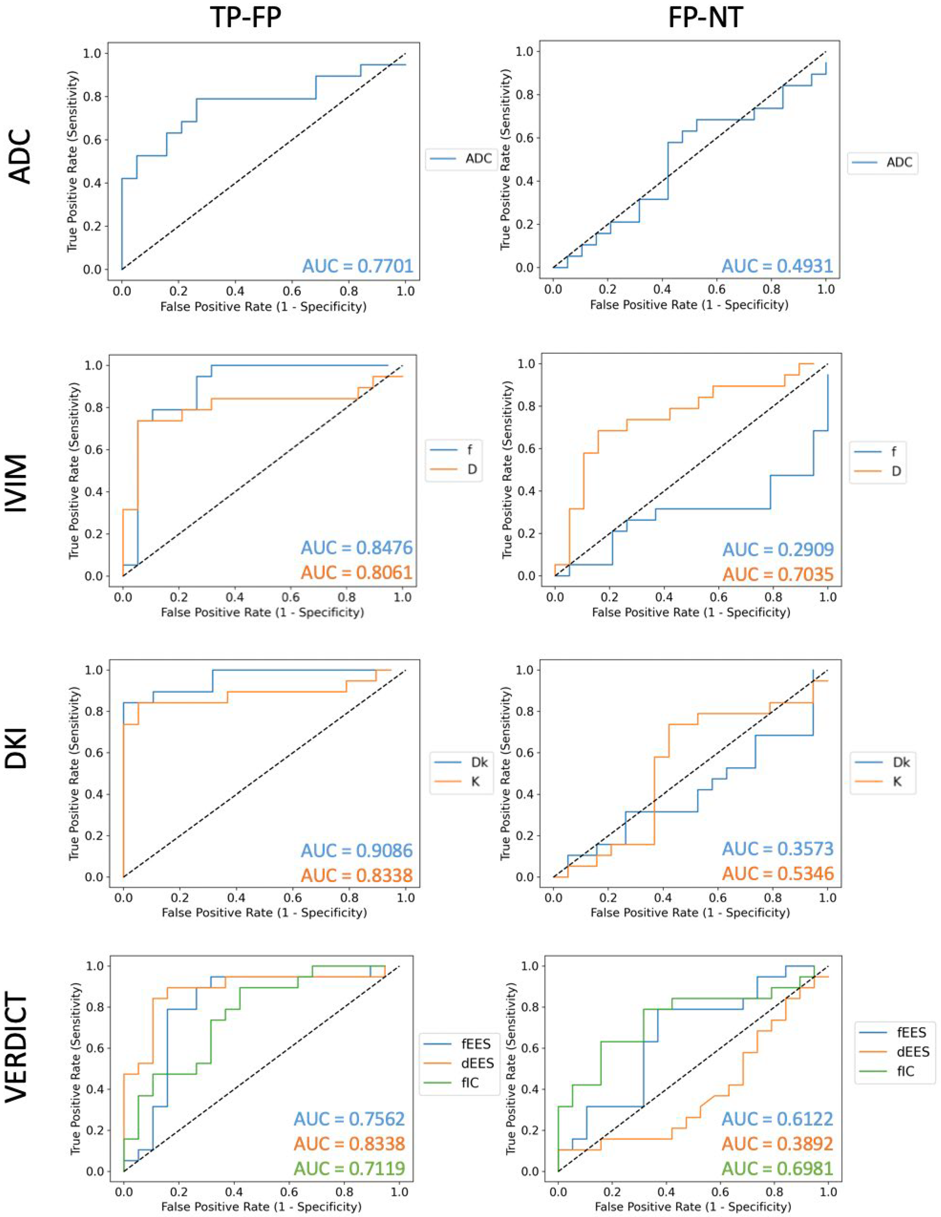
3. Results
4. Discussion
5. Conclusions
Author Contributions
Funding
Institutional Review Board Statement
Informed Consent Statement
Data Availability Statement
Conflicts of Interest
References
- Descotes, J.-L. Diagnosis of prostate cancer. Asian J. Urol. 2019, 6, 129–136. [Google Scholar] [CrossRef]
- Saltman, A.; Zegar, J.; Haj-Hamed, M.; Verma, S.; Sidana, A. Prostate cancer biomarkers and multiparametric MRI: Is there a role for both in prostate cancer management? Ther. Adv. Urol. 2021, 13, 1756287221997186. [Google Scholar] [CrossRef] [PubMed]
- Lee, S.I.; Hectors, S.J. Prostate MRI: Toward Imaging Tumor Histology. Radiology 2020, 296, 356–357. [Google Scholar] [CrossRef]
- Ahmed, H.U.; Bosaily, A.E.; Brown, L.C.; Gabe, R.; Kaplan, R.; Parmar, M.K.; Collaco-Moraes, Y.; Ward, K.; Hindley, R.G.; Freeman, A.; et al. Diagnostic accuracy of multi-parametric MRI and TRUS biopsy in prostate cancer (PROMIS): A paired validating confirmatory study. Lancet 2017, 389, 815–822. [Google Scholar] [CrossRef]
- Graham, J.; Kirkbride, P.; Cann, K.; Hasler, E.; Prettyjohns, M. Prostate cancer: Summary of updated NICE guidance. BMJ 2014, 348, f7524. [Google Scholar] [CrossRef] [PubMed]
- Kitzing, Y.X.; Prando, A.; Varol, C.; Karczmar, G.S.; Maclean, F.; Oto, A. Benign Conditions That Mimic Prostate Carcinoma: MR Imaging Features with Histopathologic Correlation. Radiographics 2016, 36, 162–175. [Google Scholar] [CrossRef]
- Billis, A. Prostatic atrophy. Clinicopathological significance. Int. Braz. J. Urol. 2010, 36, 401–409. [Google Scholar] [CrossRef]
- Bostwick, D.G.; Liu, L.; Brawer, M.K.; Qian, J. High-Grade Prostatic Intraepithelial Neoplasia. Rev. Urol. 2004, 6, 171–179. [Google Scholar] [CrossRef]
- Chatterjee, A.; Thomas, S.; Oto, A. Prostate MR: Pitfalls and benign lesions. Abdom. Radiol. 2020, 45, 2154–2164. [Google Scholar] [CrossRef]
- Nickel, J.C. Prostatitis. Can. Urol. Assoc. J. 2011, 5, 306–315. [Google Scholar] [CrossRef]
- Sato, C.; Naganawa, S.; Nakamura, T.; Kumada, H.; Miura, S.; Takizawa, O.; Ishigaki, T. Differentiation of noncancerous tissue and cancer lesions by apparent diffusion coefficient values in transition and peripheral zones of the prostate. J. Magn. Reson. Imaging 2005, 21, 258–262. [Google Scholar] [CrossRef] [PubMed]
- Lim, H.K.; Kim, J.K.; Kim, K.A.; Cho, K.S. Prostate cancer: Apparent diffusion coefficient map with T2-weighted images for detection—a multireader study. Radiology 2009, 250, 145–151. [Google Scholar] [CrossRef] [PubMed]
- Bourne, R.; Panagiotaki, E. Limitations and Prospects for Diffusion-Weighted MRI of the Prostate. Diagnostics 2016, 6, 21. [Google Scholar] [CrossRef] [PubMed]
- Gibbs, P.; Pickles, M.D.; Turnbull, L.W. Diffusion imaging of the prostate at 3.0 tesla. Investig. Radiol. 2006, 41, 185–188. [Google Scholar] [CrossRef]
- Kim, C.K.; Park, B.K.; Lee, H.M.; Kwon, G.Y. Value of diffusion-weighted Imaging for the prediction of prostate cancer location at 3 T using a phased-array coil—preliminary results. Investig. Radiol. 2007, 42, 842–847. [Google Scholar] [CrossRef]
- Koh, D.M.; Collins, D.J.; Orton, M.R. Intravoxel incoherent motion in body diffusion-weighted MRI: Reality and challenges. Am. J. Roentgenol. 2011, 196, 1351–1361. [Google Scholar] [CrossRef]
- Sigmund, E.E.; Cho, G.Y.; Kim, S.; Finn, M.; Moccaldi, M.; Jensen, J.; Sodickson, D.; Goldberg, J.D.; Formenti, S.; Moy, L. Intravoxel incoherent motion imaging of tumor microenvironment in locally advanced breast cancer. Magn. Reson. Med. 2011, 65, 1437–1447. [Google Scholar] [CrossRef]
- Riches, S.F.; Hawtin, K.; Charles-Edwards, E.M.; De Souza, N.M. Diffusion-weighted imaging of the prostate and rectal wall: Comparison of biexponential and monoexponential modelled diffusion and associated perfusion coefficients. NMR Biomed. 2009, 22, 318–325. [Google Scholar] [CrossRef]
- Klau, M.; Lemke, A.; Grünberg, K.; Simon, D.; Re, T.J.; Wente, M.N.; Laun, F.B.; Kauczor, H.-U.; Delorme, S.; Grenacher, L.; et al. Intravoxel incoherent motion MRI for the differentiation between mass forming chronic pancreatitis and pancreatic carcinoma. Investig. Radiol. 2011, 46, 57–63. [Google Scholar] [CrossRef]
- Rosenkrantz, A.B.; Sigmund, E.; Johnson, G.; Babb, J.S.; Mussi, T.; Melamed, J.; Taneja, S.S.; Lee, V.S.; Jensen, J. Prostate cancer: Feasibility and preliminary experience of a diffusional kurtosis model for detection and assessment of aggressiveness of peripheral zone cancer. Radiology 2012, 264, 126–135. [Google Scholar] [CrossRef]
- Liang, S.; Panagiotaki, E.; Bongers, A.; Shi, P.; Sved, P.; Watson, G.; Bourne, R. Information-based ranking of 10 compartment models of diffusion-weighted signal attenuation in fixed prostate tissue. NMR Biomed. 2016, 29, 660–671. [Google Scholar] [CrossRef] [PubMed]
- Jensen, J.H.; Helpern, J.A.; Ramani, A.; Lu, H.; Kaczynski, K. Diffusional kurtosis imaging: The quantification of non-Gaussian water diffusion by means of magnetic resonance imaging. Magn. Reson. Med. 2005, 53, 1432–1440. [Google Scholar] [CrossRef] [PubMed]
- Panagiotaki, E.; Walker-Samuel, S.; Siow, B.; Johnson, S.P.; Rajkumar, V.; Pedley, R.B.; Lythgoe, M.F.; Alexander, D.C. Non-invasive quantification of solid tumour microstructure using VERDICT MRI. Cancer Res. 2014, 74, 1902–1912. [Google Scholar] [CrossRef] [PubMed]
- Panagiotaki, E.; Chan, R.W.; Dikaios, N.; Ahmed, H.U.; O’Callaghan, J.; Freeman, A.; Atkinson, D.; Punwani, S.; Hawkes, D.J.; Alexander, D.C. Microstructural Characterization of Normal and Malignant Human Prostate Tissue with Vascular, Extracellular, and Restricted Diffusion for Cytometry in Tumours Magnetic Resonance Imaging. Investig. Radiol. 2015, 50, 218–227. [Google Scholar] [CrossRef]
- Johnston, E.; Pye, H.; Bonet-Carne, E.; Panagiotaki, E.; Patel, D.; Galazi, M.; Heavey, S.; Carmona, L.; Freeman, A.; Trevisan, G.; et al. INNOVATE: A prospective cohort study combining serum and urinary biomarkers with novel diffusion-weighted magnetic resonance imaging for the prediction and characterization of prostate cancer. BMC Cancer 2016, 16, 816. [Google Scholar] [CrossRef] [PubMed]
- Johnston, E.W.; Bonet-Carne, E.; Ferizi, U.; Yvernault, B.; Pye, H.; Patel, D.; Clemente, J.; Piga, W.; Heavey, S.; Sidhu, H.S.; et al. VERDICT MRI for Prostate Cancer: Intracellular Volume Fraction versus Apparent Diffusion Coefficient. Radiology 2019, 291, 391–397. [Google Scholar] [CrossRef]
- Valindria, V.; Palombo, M.; Chiou, E.; Singh, S.; Punwani, S.; Panagiotaki, E. Synthetic Q-Space Learning with Deep Regression Networks for Prostate Cancer Characterisation with VERDICT. In Proceedings of the 2021 IEEE 18th International Symposium on Biomedical Imaging (ISBI), Nice, France, 13–16 April 2021. [Google Scholar]
- Turkbey, B.; Rosenkrantz, A.B.; Haider, M.A.; Padhani, A.R.; Villeirs, G.; Macura, K.J.; Tempany, C.M.; Choyke, P.L.; Cornud, F.; Margolis, D.J.; et al. Prostate Imaging Reporting and Data System Version 2.1: 2019 Update of Prostate Imaging Reporting and Data System Version 2. Eur. Urol. 2019, 76, 340–351. [Google Scholar] [CrossRef] [PubMed]
- Harada, T.; Abe, T.; Kato, F.; Matsumoto, R.; Fujita, H.; Murai, S.; Miyajima, N.; Tsuchiya, K.; Maruyama, S.; Kudo, K.; et al. Five-point Likert scaling on MRI predicts clinically significant prostate carcinoma. BMC Urol. 2015, 15, 91. [Google Scholar] [CrossRef]
- Scheenen, T.W.J.; Rosenkrantz, A.B.; Haider, M.A.; Futterer, J.J. Multiparametric Magnetic Resonance Imaging in Prostate Cancer Management: Current Status and Future Perspectives. Investig. Radiol. 2015, 50, 594–600. [Google Scholar] [CrossRef]
- Alexander, D.C.; Seunarine, K.; Nedjati-Gilani, S.; Hall, M.G.; Parker, G.J.; Bai, Y.; Cook, P.J. Camino: Open-Source Diffusion-MRI Reconstruction and Processing. In Proceedings of the 14th Scientific Meeting of the International Society for Magnetic Resonance in Medicine (ISMRM), Seattle, WA, USA, 6–12 May 2006; p. 2759. [Google Scholar]
- Panagiotaki, E.; Ianus, A.; Johnston, E.; Chan, R.W.; Atkinson, D.; Alexander, D. Optimised VERDICT MRI Protocol for Prostate Cancer Characterization; International Society for Magnetic Resonance in Medicine (ISMRM): Concord, CA, USA, 2015. [Google Scholar]
- Veraart, J.; Fieremans, E.; Novikov, D.S. Diffusion MRI noise mapping using random matrix theory. Magn. Reson. Med. 2015, 76, 1582–1593. [Google Scholar] [CrossRef]
- Tournier, J.D.; Smith, R.; Raffelt, D.; Tabbara, R.; Dhollander, T.; Peitsch, M.; Christiaens, D.; Jeurissen, B.; Yeh, C.; Connelly, A. MRtrix3: A fast, flexible and open software framework for medical image processing and visualisation. NeuroImage 2019, 202, 116137. [Google Scholar] [CrossRef] [PubMed]
- Kellner, E.; Dhital, B.; Kiselev, V.G.; Reisert, M. Gibbs-ringing artifact removal based on local subvoxel-shifts. Magn. Reson. Med. 2015, 76, 1574–1581. [Google Scholar] [CrossRef]
- Palombo, M.; Singh, S.; Whitaker, H.; Punwani, S.; Alexander, D.C.; Panagiotaki, E. Relaxed-VERDICT: Decoupling Relaxation and Diffusion for Comprehensive Microstructure Characterization of Prostate Cancer; International Society for Magnetic Resonance in Medicine (ISMRM): Concord, CA, USA, 2020. [Google Scholar]
- Le Bihan, D.; Breton, E.; Lallemand, D.; Aubin, M.L.; Vignaud, J.; Laval-Jeantet, M. Separation of diffusion and perfusion in intravoxel incoherent motion MR imaging. Radiology 1988, 168, 497–505. [Google Scholar] [CrossRef] [PubMed]
- Henriques, R.N.; Jespersen, S.N.; Shemesh, N. Microscopic anisotropy misestimation in spherical-mean single diffusion encoding MRI. Magn. Reson. Med. 2019, 81, 3245–3261. [Google Scholar] [CrossRef] [PubMed]
- Bonet-Carne, E.; Johnston, E.; Daducci, A.; Jacobs, J.G.; Freeman, A.; Atkinson, D.; Hawkes, D.J.; Punwani, S.; Alexander, D.C.; Panagiotaki, E. VERDICT-AMICO: Ultrafast fitting algorithm of non-invasive prostate microstructure characterization. NMR Biomed. 2019, 32, 4019. [Google Scholar] [CrossRef]
- Yoshitaka, M. Noise level matching improves robustness of diffusion mri parameter inference by synthetic q-space learning. In Proceedings of the 2019 IEEE 16th International Symposium on Biomedical Imaging (ISBI 2019), Venice, Italy, 8–11 April 2019; pp. 139–142. [Google Scholar]
- Golkov, V.; Dosovitskiy, A.; Sämann, P.; Sperl, J.I.; Sprenger, T.; Czisch, M.; Menzel, M.I.; Gómez, P.A.; Haase, A.; Brox, T.; et al. q-space deep learning: Twelve-fold shorter and model-free diffusion MRI scans. IEEE Trans. Med. Imaging 2016, 35, 1344–1351. [Google Scholar] [CrossRef]
- Grussu, F.; Battiston, M.; Palombo, M.; Schneider, T.; Wheeler-Kingshott, C.A.M.G.; Alexander, D.C. Deep learning model fitting for diffusion-relaxometry: A comparative study. bioRxiv 2020. [Google Scholar] [CrossRef]
- Valindria, V.; Singh, S.; Palombo, M.; Chiou, E.; Mertzanidou, T.; Kanber, B.; Punwani, S.; Panagiotaki, E. Non-Invasive Gleason Score Classification with VERDICT-MRI; International Society for Magnetic Resonance in Medicine (ISMRM): Concord, CA, USA, 2021. [Google Scholar]
- Virtanen, P.; Oliphant, T.E.; Haberland, M.; Reddy, T.; Cournapeau, D.; Burovski, E.; Peterson, P.; Weckesser, W.; Bright, J.; van der Walt, S.J.; et al. SciPy 1.0: Fundamental Algorithms for Scientific Computing in Python. Nat. Methods 2020, 17, 261–272. [Google Scholar] [CrossRef]
- Rosette, J.J.; Manyak, M.J.; Harisinghani, M.G.; Wijkstra, H. Imaging in Oncological Urology; Springer: London, UK, 2009. [Google Scholar]
- Stavrinides, V.; Syer, T.; Hu, Y.; Giganti, F.; Freeman, A.; Karapanagiotis, S.; Bott, S.R.J.; Brown, L.C.; Burns-Cox, N.; Dudderidge, T.J.; et al. False Positive Multiparametric Magnetic Resonance Imaging Phenotypes in the Biopsy-naïve Prostate: Are They Distinct from Significant Cancer-associated Lesions? Lessons from PROMIS. Eur. Urol. 2021, 79, 20–29. [Google Scholar] [CrossRef]
- Falaschi, Z.; Valenti, M.; Lanzo, G.; Attansio, S.; Valentini, E.; Navarro, L.I.G.; Aquilini, F.; Stecco, A.; Carriero, A. Accuracy of ADC ratio in discriminating true and false positives in multiparametric prostatic MRI. Eur. J. Radiol. 2020, 128, 109024. [Google Scholar] [CrossRef]
- Quon, J.S.; Moosavi, B.; Khanna, M.; Flood, T.A.; Lim, C.S.; Schieda, N. False positive and false negative diagnoses of prostate cancer at multi-parametric prostate MRI in active surveillance. Insights Imaging 2015, 6, 449–463. [Google Scholar] [CrossRef] [PubMed]
- Wang, R.; Liu, W.; Ren, F.; Ren, J. Comparative study of diagnostic value between IVIM and DWI for prostate cancer at 3.0 T magnetic resonance. Chin. J. Acad. Radiol. 2021, 4, 186–193. [Google Scholar] [CrossRef]
- Palombo, M.; Valindria, V.; Singh, S.; Chiou, E.; Giganti, F.; Pye, H.; Whitaker, H.C.; Atkinson, D.; Punwani, S.; Alexander, D.C.; et al. Joint estimation of relaxation and diffusion tissue parameters for prostate cancer grading with relaxation-VERDICT MRI. medRxiv 2021. medRxiv:2021.06.24.21259440. [Google Scholar]





| No/Clinically Insignificant Cancer | Clinically Significant Cancer | |
|---|---|---|
| Age (Median) | 65 | 66 |
| PSA (Median) | 6.91 | 14.22 |
| PSAD (Median) | 0.113 | 0.426 |
| Biopsy Result | Atrophy: 16 | 3 + 3: 1 |
| Inflammation: 13 | 3 + 4: 7 | |
| High-grade PIN: 5 | 4 + 3: 9 | |
| 4 + 4: 1 | ||
| 4 + 5: 1 |
Publisher’s Note: MDPI stays neutral with regard to jurisdictional claims in published maps and institutional affiliations. |
© 2022 by the authors. Licensee MDPI, Basel, Switzerland. This article is an open access article distributed under the terms and conditions of the Creative Commons Attribution (CC BY) license (https://creativecommons.org/licenses/by/4.0/).
Share and Cite
Sen, S.; Valindria, V.; Slator, P.J.; Pye, H.; Grey, A.; Freeman, A.; Moore, C.; Whitaker, H.; Punwani, S.; Singh, S.; et al. Differentiating False Positive Lesions from Clinically Significant Cancer and Normal Prostate Tissue Using VERDICT MRI and Other Diffusion Models. Diagnostics 2022, 12, 1631. https://doi.org/10.3390/diagnostics12071631
Sen S, Valindria V, Slator PJ, Pye H, Grey A, Freeman A, Moore C, Whitaker H, Punwani S, Singh S, et al. Differentiating False Positive Lesions from Clinically Significant Cancer and Normal Prostate Tissue Using VERDICT MRI and Other Diffusion Models. Diagnostics. 2022; 12(7):1631. https://doi.org/10.3390/diagnostics12071631
Chicago/Turabian StyleSen, Snigdha, Vanya Valindria, Paddy J. Slator, Hayley Pye, Alistair Grey, Alex Freeman, Caroline Moore, Hayley Whitaker, Shonit Punwani, Saurabh Singh, and et al. 2022. "Differentiating False Positive Lesions from Clinically Significant Cancer and Normal Prostate Tissue Using VERDICT MRI and Other Diffusion Models" Diagnostics 12, no. 7: 1631. https://doi.org/10.3390/diagnostics12071631
APA StyleSen, S., Valindria, V., Slator, P. J., Pye, H., Grey, A., Freeman, A., Moore, C., Whitaker, H., Punwani, S., Singh, S., & Panagiotaki, E. (2022). Differentiating False Positive Lesions from Clinically Significant Cancer and Normal Prostate Tissue Using VERDICT MRI and Other Diffusion Models. Diagnostics, 12(7), 1631. https://doi.org/10.3390/diagnostics12071631

