Factors Associated with False Negative Results in Serum Pepsinogen Testing for Precancerous Gastric Lesions in a European Population in the GISTAR Study
Abstract
:1. Introduction
2. Methods
2.1. Study Design
2.2. Statistical Analysis
2.3. Analysis of Pg Test Sensitivity and Specificity
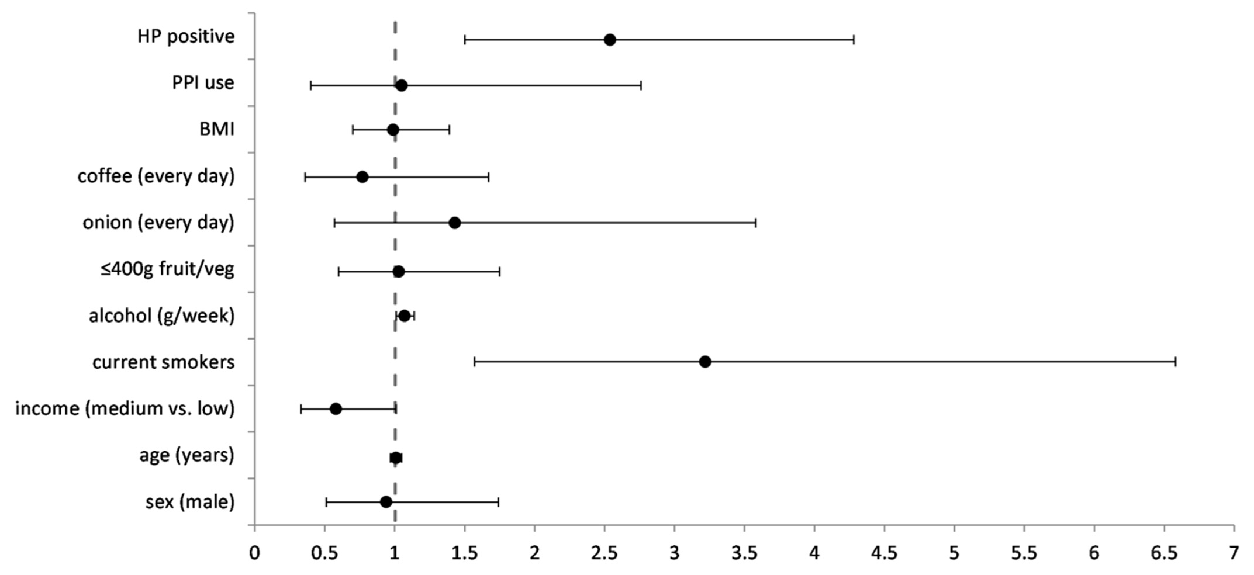
3. Results
3.1. Differences in Pepsinogen Values by H. pylori and Smoking Status
3.2. Sensitivity and Specificity for Detecting Precancerous Gastric Lesions by H. pylori and Smoking Status
4. Discussion
5. Conclusions
Supplementary Materials
Author Contributions
Funding
Institutional Review Board Statement
Informed Consent Statement
Data Availability Statement
Conflicts of Interest
References
- Morgan, E.; Arnold, M.; Camargo, M.C.; Gini, A.; Kunzmann, A.T.; Matsuda, T.; Soerjomataram, I. The current and future incidence and mortality of gastric cancer in 185 countries, 2020–2040: A population-based modeling study. eClinicalMedicine 2022, 47, 101404. [Google Scholar] [CrossRef]
- Eusebi, L.H.; Telese, A.; Marasco, G.; Bazzoli, F.; Zagari, R.M. Gastric cancer prevention strategies: A global perspective. J. Gastroenterol. Hepatol. 2020, 35, 1495–1502. [Google Scholar] [CrossRef]
- Malfertheiner, P.; Megraud, F.; O’Morain, C.A.; Gisbert, J.P.; Kuipers, E.J.; Axon, A.T.; El-Omar, E.M. Management of Helicobacter pylori infection-the Maastricht V/Florence Consensus Report. Gut 2017, 66, 6–30. [Google Scholar] [CrossRef] [Green Version]
- Yamaguchi, Y.; Nagata, Y.; Hiratsuka, R.; Kawase, Y.; Tominaga, T.; Takeuchi, S.; Sakagami, S.; Ishida, S. Gastric cancer screening by combined assay for serum anti-Helicobacter pylori IgG antibody and serum pepsinogen levels–the ABC method. Digestion 2016, 93, 13–18. [Google Scholar] [CrossRef]
- Miki, K. Gastric cancer screening using the serum pepsinogen test method. Gastric Cancer 2016, 9, 245–253. [Google Scholar] [CrossRef] [Green Version]
- Huang, Y.K.; Yu, J.C.; Kang, W.M.; Ma, Z.Q.; Ye, X.; Tian, S.B.; Yan, C. Significance of Serum Pepsinogens as a Biomarker for Gastric Cancer and Atrophic Gastritis Screening: A Systematic Review and Meta-Analysis. PLoS ONE 2015, 10, e0142080. [Google Scholar] [CrossRef]
- Bang, C.S.; Lee, J.J.; Baik, G.H. Prediction of Chronic Atrophic Gastritis and Gastric Neoplasms by Serum Pepsinogen Assay: A Systematic Review and Meta-Analysis of Diagnostic Test Accuracy. J. Clin. Med. 2019, 8, 657. [Google Scholar] [CrossRef] [Green Version]
- Leja, M.; Camargo, M.C.; Polaka, I.; Isajevs, S.; Liepniece-Karele, I.; Janciauskas, D.; Rudzite, D.; Kikuste, I.; Vanags, A.; Kojalo, I.; et al. Detection of gastric atrophy by circulating pepsinogens: A comparison of three assays. Helicobacter 2017, 22, e12393. [Google Scholar] [CrossRef]
- Tong, Y.; Wu, Y.; Song, Z.; Yu, Y.; Yu, X. The potential value of serum pepsinogen for the diagnosis of atrophic gastritis among the health check-up populations in China: A diagnostic clinical research. BMC Gastroenterol. 2017, 17, 88. [Google Scholar] [CrossRef] [Green Version]
- Parente, F.; Lazzaroni, M.; Sangaletti, O.; Baroni, S.; Bianchi Porro, G. Cigarette smoking, gastric acid secretion, and serum pepsinogen I concentrations in duodenal ulcer patients. Gut 1985, 26, 1327–1332. [Google Scholar] [CrossRef] [Green Version]
- Sakamoto, K. Pathologic Response of the Gastrointestinal Tract to Toxicants. In Comprehensive Toxicology, 2nd ed.; Elsevier: Oxford, UK, 2010; pp. 93–115. [Google Scholar]
- Sun, L.-P.; Gong, Y.-H.; Wang, L.; Yuan, Y. Serum pepsinogen levels and their influencing factors: A population-based study in 6990 Chinese from North China. World J. Gastroenterol. 2007, 13, 6562–6567. [Google Scholar] [CrossRef]
- Kim, H.Y.; Kim, N.; Kang, J.M.; Park, Y.S.; Lee, D.H.; Kim, Y.R.; Kim, J.S.; Jung, H.C.; Song, I.S. Clinical meaning of pepsinogen test and Helicobacter pylori serology in the health check-up population in Korea. Eur. J. Gastroenterol. Hepatol. 2009, 21, 606–612. [Google Scholar] [CrossRef]
- Huang, R.-G.; Xiao, H.-L.; Zhou, B.; Song, X.-H.; Zhang, J.; Wang, C.-M.; Jiang, Y.-H.; Chen, D.-Z.; Huang, B. Serum Pepsinogen Levels Are Correlated With Age, Sex and the Level of Helicobacter pylori Infection in Healthy Individuals. Am. J. Med. Sci. 2016, 352, 481–486. [Google Scholar] [CrossRef]
- Yu, H.; Liu, Y.; Jiang, S.; Zhou, Y.; Guan, Z.; Dong, S.; Chu, F.F.; Kang, C.; Gao, Q. Serum pepsinogen II levels are doubled with Helicobacter pylori infection in an asymptomatic population of 40,383 Chinese subjects. Medicine 2021, 100, e26562. [Google Scholar] [CrossRef]
- Correa, P.; Piazuelo, M.B. The gastric precancerous cascade. J. Dig. Dis. 2012, 13, 2–9. [Google Scholar] [CrossRef] [Green Version]
- IARC Monographs on the Evaluation of Carcinogenic Risks to Humans. IARC 2012, 100B, 385–435. Available online: https://monographs.iarc.fr/wp-content/uploads/2018/06/mono100B-15.pdf (accessed on 7 February 2022).
- Pals, G.; Defize, J.; Pronk, J.; Frants, R.; Eriksson, A.; Westerveld, B.; Meuwissen, S.; Biemond, I. Relations between serum pepsinogen levels, pepsinogen phenotypes, ABO blood groups, age and sex in blood donors. Ann. Hum. Biol. 1985, 12, 403–411. [Google Scholar] [CrossRef]
- Hokkanen, S.; Kosunen, T.U.; Sarna, S.; Miettinen, A.; Salomaa, A.; Aromaa, A.; Rautelin, H.I. Normal serum pepsinogen I levels in adults: A population-based study with special reference to Helicobacter pylori infection and parietal cell antibodies. Scand. J. Clin. Lab. Investig. 2005, 65, 291–299. [Google Scholar] [CrossRef]
- Tong, Y.; Wang, H.; Zhao, Y.; He, X.; Xu, H.; Li, H.; Shuai, P.; Gong, L.; Wu, H.; Xu, H.; et al. Serum pepsinogen levels in different regions of China and its influencing factors: A multicenter cross-sectional study. BMC Gastroenterol. 2021, 21, 264. [Google Scholar] [CrossRef]
- Leja, M.; Park, J.Y.; Murillo, R.; Liepniece-Karele, I.; Isajevs, S.; Kikuste, I.; Herrero, R. Multicentric randomized study of Helicobacter pylori eradication and pepsinogen testing for prevention of gastric cancer mortality: The GISTAR study. BMJ Open 2017, 7, e016999. [Google Scholar] [CrossRef] [Green Version]
- Razuka-Ebela, D.; Polaka, I.; Daugule, I.; Parshutin, S.; Santare, D.; Ebela, I.; Rudzite, D.; Vangravs, R.; Herrero, R.; Park, J.Y.; et al. Lifestyle and dietary factors associated with serologically detected gastric atrophy in a Caucasian population in the GISTAR study. Eur. J. Cancer Prev. 2022. [Google Scholar] [CrossRef] [PubMed]
- Kikuchi, S.; Inaba, Y.; Wada, O.; Miki, K.; Tenjin, H.; Kaneko, E.; Mizukoshi, H. The association of smoking and drinking habits with serum pepsinogens. Int. J. Epidemiol. 1995, 24, 346–353. [Google Scholar] [CrossRef] [PubMed]
- Kutsuma, A.; Oshida, H.; Suwa, K.; Nakajima, K. A possible association of low pepsinogen I and pepsinogen I/II with low and high body weight in Japanese men. Clin. Biochem. 2014, 47, 126–128. [Google Scholar] [CrossRef] [PubMed]
- Di Mario, F.; Ingegnoli, A.; Altavilla, N.; Cavallaro, L.G.; Bertolini, S.; Merli, R.; Cavestro, G.M.; Iori, V.; Maino, M.; Leandro, G.; et al. Influence of antisecretory treatment with proton pump inhibitors on serum pepsinogen I levels. FundamClin. Pharmacol. 2005, 19, 497–501. [Google Scholar] [CrossRef] [PubMed]
- Dixon, M.F.; Genta, R.M.; Yardley, J.H.; Correa, P. Classification and grading of gastritis. The updated Sydney System. International Workshop on the Histopathology of Gastritis, Houston 1994. Am. J. Surg. Pathol. 1996, 20, 1161–1181. [Google Scholar] [CrossRef]
- Rugge, M.; Capelle, L.G.; Cappellesso, R.; Nitti, D.; Kuipers, E.J. Precancerous lesions in the stomach: From biology to clinical patient management. Best Pract. Res. Clin. Gastroenterol. 2013, 27, 205–223. [Google Scholar] [CrossRef]
- Filipe, M.I.; Muñoz, N.; Matko, I.; Kato, I.; Pompe-Kirn, V.; Jutersek, A.; Teuchmann, S.; Benz, M.; Prijon, T. Intestinal metaplasia types and the risk of gastric cancer: A cohort study in Slovenia. Int. J. Cancer. 1994, 57, 324–329. [Google Scholar] [CrossRef]
- Pimentel-Nunes, P.; Libânio, D.; Marcos-Pinto, R.; Areia, M.; Leja, M.; Esposito, G.; Garrido, M.; Kikuste, I.; Megraud, F.; Matysiak-Budnik, T.; et al. Management of epithelial precancerous conditions and lesions in the stomach (MAPS II): European Society of Gastrointestinal Endoscopy (ESGE), European Helicobacter and Microbiota Study Group (EHMSG), European Society of Pathology (ESP), and Sociedade Portuguesa de Endoscopia Digestiva (SPED) guideline update 2019. Endoscopy 2019, 51, 365–388. [Google Scholar]
- IBM Corp. IBM SPSS Statistics for Windows, Version 21.0; IBM Corp: Armonk, NY, USA, 2019. [Google Scholar]
- Veenendaal, R.A.; Biemond, I.; Pena, A.S.; van Duijn, W.; Kreuning, J.; Lamers, C.B. Influence of age and Helicobacter pylori infection on serum pepsinogens in healthy blood transfusion donors. Gut 1992, 33, 452–455. [Google Scholar] [CrossRef] [Green Version]

| Variables, n (%) | Population, n = 1210 | True Positives (TP), n = 204 | False Negatives (FN), n = 160 | p-Value * |
|---|---|---|---|---|
| Sex (male) | 168 (46.8) | 79 (38.7) | 91 (56.9) | <0.01 |
| Age in years (median, IQR) | 52.0 IQR 11 | 56.0 IQR 10 | 54.5 IQR 10 | 0.16 ** |
| Income (Euros) a | <0.01 | |||
| <250 | 65 (45.1) | 54 (28.9) | 65 (45.1) | |
| 250–500 | 66 (45.8) | 98 (52.4) | 66 (45.8) | |
| 500–1000 | 13 (9.0) | 31 (16.6) | 13 (9.0) | |
| >1000 | 0 (0.0) | 4 (2.1) | 0 (0.0) | |
| Unemployed | 47 (13.1) | 26 (12.7) | 21 (13.1) | 0.98 |
| Employed | 272 (75.8) | 156 (76.5) | 121 (75.6) | |
| Retired | 40 (11.1) | 22 (10.8) | 18 (11.2) | |
| Never smokers | 208 (57.9) | 136 (66.7) | 76 (47.5) | <0.01 |
| Former smokers | 71 (19.8) | 42 (20.6) | 29 (18.1) | |
| Current smokers | 80 (22.3) | 26 (12.7) | 55 (34.4) | |
| Alcohol (g/week) | 11.9 IQR 31.4 | 10.1 IQR 24.2 | 13.5 IQR 45.4 | 0.05 ** |
| At least 400 g fruit and vegetables daily | 194 (54.0) | 120 (58.8) | 78 (48.8) | 0.06 |
| At least 200 g dairy products daily | 208 (57.9) | 124 (60.8) | 88 (55.0) | 0.27 |
| Onion and spring onion | ||||
| once a week | 40 (12.2) | 22 (12.7) | 18 (11.4) | 0.04 |
| 2–4 times per week | 135 (41.3) | 62 (35.8) | 76 (48.1) | |
| 5–6 times per week | 94 (28.7) | 60 (34.7) | 34 (21.5) | |
| every day | 58 (17.7) | 29 (16.8) | 30 (19.0) | |
| Coffee | ||||
| once a week | 49 (13.7) | 20 (9.8) | 29 (18.2) | 0.06 |
| 2–6 times per week | 64 (17.9) | 36 (17.6) | 29 (18.2) | |
| every day | 245 (68.4) | 148 (72.5) | 101 (63.5) | |
| BMI (kg/m2) | ||||
| <18.5 (underweight) | 0 | 0 | 0 | 0.06 |
| 18.5–24.9 (normal) | 88 (24.9) | 50 (24.6) | 38 (24.4) | |
| 25.0–29.9 (overweight) | 132 (37.3) | 67 (33.0) | 69 (44.2) | |
| ≥30 (obese) | 134 (37.9) | 86 (42.4) | 49 (31.4) | |
| PPI in previous month | 26 (7.3) | 12 (5.9) | 15 (9.4) | 0.20 |
| H. pylori positive (biopsy) | 205 (57.1) | 95 (46.6) | 113 (70.6) | <0.01 |
| Pg I (ng/mL) Median, IQR | Pg II (ng/mL) Median, IQR | Pg I/II Ratio Median, IQR | |
|---|---|---|---|
| H. pylori | |||
| Positive | 47.3, 31.4 | 18.7, 11.7 | 2.6, 1.5 |
| Negative | 33.3, 25.6 | 8.9, 5.1 | 4.0, 3.3 |
| p-value * | <0.01 | <0.01 | <0.01 |
| Smoking | |||
| never smokers | 36.8, 30.8 | 12.6, 12.4 | 2.8, 2.5 |
| former smokers | 41.5, 31.1 | 13.2, 11.4 | 2.9, 2.4 |
| current smokers | 46.0, 28.0 | 14.8, 12.5 | 3.3, 2.2 |
| p-value ** | <0.01 | <0.01 | 0.01 |
| No Precancerous Gastric Lesion PgI/II ng/mL Median, IQR | Precancerous Gastric Lesion PgI/II ng/mL Median, IQR | |||||
|---|---|---|---|---|---|---|
| H. pylori Positive | H. pylori Negative | p Value * | H. pylori Positive | H. pylori Negative | p Value * | |
| study population | 2.9 IQR 1.4 | 4.4 IQR 1.8 | <0.01 | 1.7 IQR 1.6 | 0.9 IQR 1.8 | 0.01 |
| never smokers | 2.8 IQR 1.4 | 4.3 IQR 1.8 | <0.01 | 1.5 IQR 1.5 | 0.8 IQR 0.9 | <0.01 |
| former smokers | 2.9 IQR 0.9 | 4.7 IQR 1.4 | <0.01 | 1.8 IQR 1.8 | 0.8 IQR 0.8 | 0.02 |
| current smokers | 3.1 IQR 1.5 | 4.7 IQR 2.0 | <0.01 | 1.9 IQR 1.5 | 3.4 IQR 4.1 | 0.02 |
| Sensitivity (%, 95% CI), Specificity (%, 95% CI); Area under ROC Curve (AUC) | ||
|---|---|---|
| PgI/II ≤ 2 | PgI ≤ 30 ng/mL | |
| All participants | 65.4 (60.3–70.3), 87.1 (84.7–89.3); 0.82 | 62.6 (57.4–67.6), 81.6 (78.8–84.1); 0.75 |
| Never smokers, H. pylori positive | 65.8 (56.3–74.4), 80.1 (74.8–84.7); 0.80 | 57.0 (47.4–66.3), 85.34 (80.51–89.36); 0.76 |
| Never smokers, H. pylori negative | 81.6 (72.5–88.7), 92.4 (88.2–95.4); 0.88 | 90.8 (83.3–95.7), 69.9 (63.6–75.7); 0.89 |
| Former smokers, H. pylori positive | 56.8 (41.0–71.7); 83.5 (74.6–90.3); 0.79 | 50.0 (34.6–65.4), 87.6 (79.4–93.4); 0.74 |
| Former smokers, H. pylori negative | 81.5 (61.9–93.7), 94.9 (87.5–98.6); 0.96 | 88.9 (70.8–97.7), 78.5 (67.8–86.9); 0.93 |
| Current smokers, H. pylori positive | 52.0 (37.4–66.3), 87.0 (79.2–92.7); 0.76 | 32.00 (19.52–46.70), 91.7 (84.8–96.1); 0.63 |
| Current smokers, H. pylori negative | 32.3 (16.7–51.4), 93.3 (83.8–98.2); 0.68 | 38.7 (21.9–57.8), 86.7 (75.4–94.1); 0.68 |
| New Pg Cut-Off; Sensitivity (%), Specificity (%); Youden’s Index | ||
|---|---|---|
| Pg I/Pg II | Pg I (ng/mL) | |
| Never smokers, H. pylori positive | ≤1.76; 60.5%, 88.0%; 0.49 | ≤30.84 ng/mL; 59.6%, 85.0%; 0.45 |
| Never smokers, H. pylori negative | ≤1.81; 81.6%, 92.8%; 0.74 | ≤16.00 ng/mL; 73.5%, 94.5%; 0.68 |
| Former smokers, H. pylori positive | ≤2.21; 65.9, 83.5%; 0.49 | ≤33.51 ng/mL; 54.5%, 84.5%; 0.39 |
| Former smokers, H. pylori negative | ≤2.51; 92.6%, 92.4%; 0.85 | ≤22.75 ng/mL; 85.2%, 94.9%; 0.80 |
| Current smokers, H. pylori positive | ≤2.07; 56.0%, 85.2%; 0.41 | ≤40.91 ng/mL; 54.0%, 76.9%; 0.31 |
| Current smokers, H. pylori negative | ≤3.01; 48.4%, 86.7%; 0.35 | ≤37.75 ng/mL; 67.7%, 71.7%; 0.39 |
| Pg Cut-Off; Sensitivity (%), Specificity (%) | ||
|---|---|---|
| Pg I/Pg II | Pg I (ng/mL) | |
| Current smokers, H. pylori positive, pre-existing cut-offs | PgI/II ≤ 2; | PgI ≤ 30 ng/mL; |
| 52.0 (37.4–66.3), | 32.00 (19.52–46.70), | |
| 87.0 (79.2–92.7); AUC 0.76 | 91.7 (84.8–96.1); AUC 0.63 | |
| New cut-offs | ≤2.07; 56.0, 85.2; JJ 0.41 | ≤40.91 ng/mL; 54.0%, 76.9%; JJ 0.31 |
| Current smokers, H. pylori negative, pre-existing cut-offs | PgI/II ≤ 2; 32.3 (16.7–51.4), | PgI ≤ 30 ng/mL; 38.7 (21.9–57.8), |
| 93.3 (83.8–98.2); AUC 0.68 | 86.7 (75.4–94.1); AUC 0.68 | |
| New cut-offs | ≤3.01; 48.4, 86.7; JJ 0.35 | ≤37.75 ng/mL; 67.7%, 71.7%; JJ 0.39 |
Publisher’s Note: MDPI stays neutral with regard to jurisdictional claims in published maps and institutional affiliations. |
© 2022 by the authors. Licensee MDPI, Basel, Switzerland. This article is an open access article distributed under the terms and conditions of the Creative Commons Attribution (CC BY) license (https://creativecommons.org/licenses/by/4.0/).
Share and Cite
Razuka-Ebela, D.; Polaka, I.; Daugule, I.; Parshutin, S.; Santare, D.; Ebela, I.; Rudzite, D.; Vangravs, R.; Herrero, R.; Young Park, J.; et al. Factors Associated with False Negative Results in Serum Pepsinogen Testing for Precancerous Gastric Lesions in a European Population in the GISTAR Study. Diagnostics 2022, 12, 1166. https://doi.org/10.3390/diagnostics12051166
Razuka-Ebela D, Polaka I, Daugule I, Parshutin S, Santare D, Ebela I, Rudzite D, Vangravs R, Herrero R, Young Park J, et al. Factors Associated with False Negative Results in Serum Pepsinogen Testing for Precancerous Gastric Lesions in a European Population in the GISTAR Study. Diagnostics. 2022; 12(5):1166. https://doi.org/10.3390/diagnostics12051166
Chicago/Turabian StyleRazuka-Ebela, Danute, Inese Polaka, Ilva Daugule, Sergei Parshutin, Daiga Santare, Inguna Ebela, Dace Rudzite, Reinis Vangravs, Rolando Herrero, Jin Young Park, and et al. 2022. "Factors Associated with False Negative Results in Serum Pepsinogen Testing for Precancerous Gastric Lesions in a European Population in the GISTAR Study" Diagnostics 12, no. 5: 1166. https://doi.org/10.3390/diagnostics12051166
APA StyleRazuka-Ebela, D., Polaka, I., Daugule, I., Parshutin, S., Santare, D., Ebela, I., Rudzite, D., Vangravs, R., Herrero, R., Young Park, J., & Leja, M. (2022). Factors Associated with False Negative Results in Serum Pepsinogen Testing for Precancerous Gastric Lesions in a European Population in the GISTAR Study. Diagnostics, 12(5), 1166. https://doi.org/10.3390/diagnostics12051166

