Epicardial Adipose Tissue Thickness Is Related to Plaque Composition in Coronary Artery Disease
Abstract
1. Introduction
2. Patients and Methods
2.1. Study Population
2.2. Echocardiography
2.3. Coronary Angiography and NIRS-IVUS
2.4. Statistical Analysis
3. Results
3.1. Baseline Characteristics
3.2. Angiographic and NIRS-IVUS Characteristics
3.3. EAT Thickness Has a Positive Correlation with maxLCBI4mm
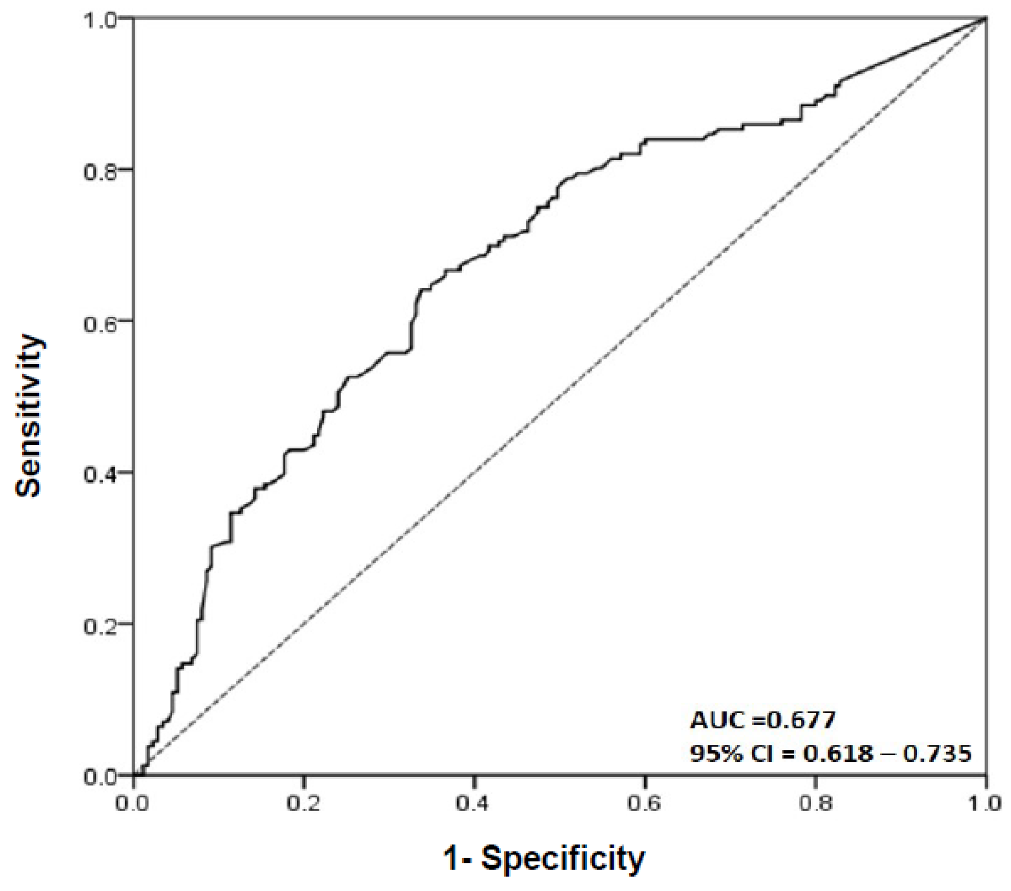
3.4. EAT Thickness Predicts maxLCBI4mm ≥ 400
4. Discussion
4.1. Local Fat and Cardiovascular Diseases
4.2. Assessment of Atherosclerotic Plaque
4.3. Limitations
5. Conclusions
Supplementary Materials
Author Contributions
Funding
Institutional Review Board Statement
Informed Consent Statement
Data Availability Statement
Conflicts of Interest
References
- Berg, A.H.; Scherer, P.E. Adipose tissue, inflammation, and cardiovascular disease. Circ. Res. 2005, 96, 939–949. [Google Scholar] [CrossRef]
- Baker, A.R.; Da Silva, N.F.; Quinn, D.W.; Harte, A.L.; Pagano, D.; Bonser, R.S.; Kumar, S.; McTernan, P.G. Human epicardial adipose tissue expresses a pathogenic profile of adipocytokines in patients with cardiovascular disease. Cardiovasc. Diabetol. 2006, 5, 1. [Google Scholar] [CrossRef]
- Iacobellis, G.; Corradi, D.; Sharma, A.M. Epicardial adipose tissue: Anatomic, biomolecular and clinical relationships with the heart. Nat. Clin. Pract. Cardiovasc. Med. 2005, 2, 536–543. [Google Scholar] [CrossRef]
- Eroglu, S.; Sade, L.E.; Yildirir, A.; Bal, U.; Ozbicer, S.; Ozgul, A.S.; Bozbas, H.; Aydinalp, A.; Muderrisoglu, H. Epicardial adipose tissue thickness by echocardiography is a marker for the presence and severity of coronary artery disease. Nutr. Metab. Cariovac. Dis. 2009, 19, 211–217. [Google Scholar] [CrossRef]
- Park, J.-S.; Ahn, S.-G.; Hwang, J.-W.; Lim, H.S.; Choi, B.J.; Choi, S.Y.; Yoon, M.H.; Hwang, G.S.; Tahk, S.J.; Shin, J.H. Impact of body mass index on the relationship of epicardial adipose tissue to metabolic syndrome and coronary artery disease in an Asian population. Cardiovasc. Diabetol. 2010, 9, 29. [Google Scholar] [CrossRef]
- Djaberi, R.; Schuijf, J.D.; van Werkhoven, J.M.; Nucifora, G.; Jukema, J.W.; Bax, J.J. Relation of epicardial adipose tissue to coronary atherosclerosis. Am. J. Card. 2008, 102, 1602–1607. [Google Scholar] [CrossRef]
- Ahn, S.-G.; Lim, H.-S.; Joe, D.-Y.; Kang, S.J.; Choi, B.J.; Choi, S.Y.; Yoon, M.H.; Hwang, G.S.; Tahk, S.J.; Shin, J.H. Relationship of epicardial adipose tissue by echocardiography to coronary artery disease. Heart 2008, 94, e7. [Google Scholar] [CrossRef]
- Gardner, C.M.; Tan, H.; Hull, E.L.; Lisauskas, J.B.; Sum, S.T.; Meese, T.M.; Jiang, C.; Madden, S.P.; Caplan, J.D.; Burke, A.P.; et al. Detection of lipid core coronary plaques in autopsy specimens with a novel catheter-based near-infrared spectroscopy system. JACC Cardiovasc. Imaging 2008, 1, 638–648. [Google Scholar] [CrossRef]
- Waxman, S.; Dixon, S.R.; L’Allier, P.; Moses, J.W.; Petersen, J.L.; Cutlip, D.; Tardif, J.C.; Nesto, R.W.; Muller, J.E.; Hendricks, M.J.; et al. In vivo validation of a catheter-based near-infrared spectroscopy system for detection of lipid core coronary plaques: Initial results of the SPECTACL study. JACC Cardiovasc. Imaging 2009, 2, 858–868. [Google Scholar] [CrossRef]
- Abdel-Karim, A.R.R.; Rangan, B.V.; Banerjee, S.; Brilakis, E.S. Intercatheter reproducibility of near-infrared spectroscopy for the in vivo detection of coronary lipid core plaques. Catheter Cardiovasc. Interv. 2011, 77, 657–661. [Google Scholar] [CrossRef]
- Madder, R.D.; Goldstein, J.A.; Madden, S.P.; Puri, R.; Wolski, K.; Hendricks, M.; Sum, S.T.; Kini, A.; Sharma, S.; Rizik, D.; et al. Detection by near-infrared spectroscopy of large lipid core plaques at culprit sites in patients with acute ST-segment elevation myocardial infarction. JACC Cardiovasc. Interv. 2013, 6, 838–846. [Google Scholar] [CrossRef]
- Madder, R.D.; Husaini, M.; Davis, A.T.; Van Oosterhout, S.; Harnek, J.; Götberg, M.; Erlinge, D. Detection by near-infrared spectroscopy of large lipid cores at culprit sites in patients with non-st-segment elevation myocardial infarction and unstable angina. Catheter. Cardiovasc. Interv. 2015, 86, 1014–1021. [Google Scholar] [CrossRef]
- Danek, B.A.; Karatasakis, A.; Karacsonyi, J.; Alame, A.; Resendes, E.; Kalsaria, P.; Nguyen-Trong, P.K.J.; Rangan, B.V.; Roesle, M.; Abdullah, S.; et al. Long-term follow-up after near-infrared spectroscopy coronary imaging: Insights from the lipid core plaque association with clinical events (ORACLE-NIRS) registry. Cardiovasc. Revasc. Med. 2017, 18, 177–181. [Google Scholar] [CrossRef]
- Karlsson, S.; Anesäter, E.; Fransson, K.; Andell, P.; Persson, J.; Erlinge, D. Intracoronary near-infrared spectroscopy and the risk of future cardiovascular events. Open Heart 2019, 6, e000917. [Google Scholar] [CrossRef]
- Madder, R.D.; Husaini, M.; Davis, A.T.; VanOosterhout, S.; Khan, M.; Wohns, D.; McNamara, R.F.; Wolschleger, K.; Gribar, J.; Collins, J.S.; et al. Large lipid-rich coronary plaques detected by near-infrared spectroscopy at non-stented sites in the target artery identify patients likely to experience future major adverse cardiovascular events. Eur. Heart J. Cardiovasc. Imaging 2016, 17, 393–399. [Google Scholar] [CrossRef]
- Oemrawsingh, R.M.; Cheng, J.M.; García-García, H.M.; Van Geuns, R.J.; Regar, E.; Kardys, I.; Lenzen, M.J.; Serruys, P.W.; Akkerhuis, K.M.; Boersma, E. Near-infrared spectroscopy predicts cardiovascular outcome in patients with coronary artery disease. J. Am. Coll. Cardiol. 2014, 64, 2510–2518. [Google Scholar] [CrossRef]
- Schuurman, A.-S.; Vroegindewey, M.; Kardys, I.; Oemrawsingh, R.M.; Cheng, J.M.; de Boer, S.; Garcia-Garcia, H.M.; van Geuns, R.J.; Regar, E.S.; Daemen, J. Near-infrared spectroscopy-derived lipid core burden index predicts adverse cardiovascular outcome in patients with coronary artery disease during long-term follow-up. Eur. Heart J. 2018, 39, 295–302. [Google Scholar] [CrossRef]
- Waksman, R.; Di Mario, C.; Torguson, R.; Ali, Z.A.; Singh, V.; Skinner, W.H.; Artis, A.K.; Ten Cate, T.; Powers, E.; Kim, C.; et al. Identification of patients and plaques vulnerable to future coronary events with near-infrared spectroscopy intravascular ultrasound imaging: A prospective, cohort study. Lancet 2019, 394, 1629–1637. [Google Scholar] [CrossRef]
- Goldstein, J.A.; Maini, B.; Dixon, S.R.; Brilakis, E.S.; Grines, C.L.; Rizik, D.G.; Powers, E.R.; Steinberg, D.H.; Shunk, K.A.; Weisz, G.; et al. Detection of lipid-core plaques by intracoronary near-infrared spectroscopy identifies high risk of periprocedural myocardial infarction. Circ. Cardiovasc. Interv. 2011, 4, 429–437. [Google Scholar] [CrossRef]
- Madder, R.D.; Smith, J.L.; Dixon, S.R.; Goldstein, J.A. Composition of target lesions by near-infrared spectroscopy in patients with acute coronary syndrome versus stable angina. Circ. Cardiovasc. Interv. 2012, 5, 55–61. [Google Scholar] [CrossRef]
- Powell-Wiley, T.M.; Poirier, P.; Burke, L.E.; Després, J.P.; Gordon-Larsen, P.; Lavie, C.J.; Lear, S.A.; Ndumele, C.E.; Neeland, I.J.; Sanders, P.; et al. Obesity and cardiovascular disease: A scientific statement from the American Heart Association. Circulation 2021, 143, e984–e1010. [Google Scholar] [CrossRef]
- Després, J.-P. Body fat distribution and risk of cardiovascular disease: An update. Circulation 2012, 126, 1301–1313. [Google Scholar] [CrossRef]
- Britton, K.A.; Fox, C.S. Ectopic fat depots and cardiovascular disease. Circulation 2011, 124, e837–e841. [Google Scholar] [CrossRef]
- Ding, J.; Hsu, F.-C.; Harris, T.B.; Liu, Y.; Kritchevsky, S.B.; Szklo, M.; Ouyang, P.; Espeland, M.A.; Lohman, K.K.; Criqui, M.H.; et al. The association of pericardial fat with incident coronary heart disease: The Multi-Ethnic Study of Atherosclerosis (MESA). Am. J. Clin. Nutr. 2009, 90, 499–504. [Google Scholar] [CrossRef]
- Thanassoulis, G.; Massaro, J.M.; O’Donnell, C.J.; Hoffmann, U.; Levy, D.; Ellinor, P.T.; Wang, T.J.; Schnabel, R.B.; Vasan, R.S.; Fox, C.S.; et al. Pericardial fat is associated with prevalent atrial fibrillation: The Framingham Heart Study. Circ. Arrhythm. Electrophysiol. 2010, 3, 345–350. [Google Scholar] [CrossRef]
- Kenchaiah, S.; Ding, J.; Carr, J.J.; Allison, M.A.; Budoff, M.J.; Tracy, R.P.; Burke, G.L.; McClelland, R.L.; Arai, A.E.; Bluemke, D.A. Pericardial fat and the risk of heart failure. J. Am. Coll. Cardiol. 2021, 77, 2638–2652. [Google Scholar] [CrossRef]
- Packer, M. Epicardial adipose tissue may mediate deleterious effects of obesity and inflammation on the myocardium. J. Am. Coll. Cardiol. 2018, 71, 2360–2372. [Google Scholar] [CrossRef]
- Gruzdeva, O.; Uchasova, E.; Dyleva, Y.; Borodkina, D.; Akbasheva, O.; Antonova, L.; Matveeva, V.; Belik, E.; Ivanov, S.; Sotnikov, A. Adipocytes directly affect coronary artery disease pathogenesis via induction of adipokine and cytokine imbalances. Front. Immunol. 2019, 10, 2163. [Google Scholar] [CrossRef]
- Hirata, Y.; Kurobe, H.; Akaike, M.; Chikugo, F.; Hori, T.; Bando, Y.; Nishio, C.; Higashida, M.; Nakaya, Y.; Kitagawa, T. Enhanced inflammation in epicardial fat in patients with coronary artery disease. Int. Heart J. 2011, 52, 139–142. [Google Scholar] [CrossRef]
- Iozzo, P. Myocardial, perivascular, and epicardial fat. Diabetes Care 2011, 34, S371–S379. [Google Scholar] [CrossRef]
- Oikonomou, E.K.; Marwan, M.; Desai, M.Y.; Mancio, J.; Alashi, A.; Centeno, E.H.; Thomas, S.; Herdman, L.; Kotanidis, C.P.; Thomas, K.E. Non-invasive detection of coronary inflammation using computed tomography and prediction of residual cardiovascular risk (the CRISP CT study): A post-hoc analysis of prospective outcome data. Lancet 2018, 392, 929–939. [Google Scholar] [CrossRef]
- Adam, C.A.; Salaru, D.L.; Prisacariu, C.; Marcu, D.T.M.; Sascău, R.A.; Stătescu, C. Novel biomarkers of atherosclerotic vascular disease-latest insights in the research field. Int. J. Mol. Sci. 2022, 23, 4998. [Google Scholar] [CrossRef]
- Keller, T.; Zeller, T.; Peetz, D.; Tzikas, S.; Roth, A.; Czyz, E.; Bickel, C.; Baldus, S.; Warnholtz, A.; Fröhlich, M. Sensitive troponin I assay in early diagnosis of acute myocardial infarction. N. Engl. J. Med. 2009, 361, 868–877. [Google Scholar] [CrossRef]
- Puleo, P.R.; Meyer, D.; Wathen, C.; Tawa, C.B.; Wheeler, S.; Hamburg, R.J.; Ali, N.; Obermueller, S.D.; Triana, F.J.; Zimmerman, J.L.; et al. Use of a rapid assay of subforms of creatine kinase MB to diagnose or rule out acute myocardial infarction. N. Engl. J. Med. 1994, 331, 561–566. [Google Scholar] [CrossRef]
- Lee, W.-Y.; Allison, M.A.; Kim, D.-J.; Song, C.H.; Barrett-Connor, E. Association of interleukin-6 and c-reactive protein with subclinical carotid atherosclerosis (the Rancho Bernardo Study). Am. J. Cardiol. 2007, 99, 99–102. [Google Scholar] [CrossRef]
- Pascual-Figal, D.A.; Januzzi, J.L. The biology of ST2: The international ST2 consensus panel. Am. J. Cardiol. 2015, 115, 3B–7B. [Google Scholar] [CrossRef]
- Amio, A.; Migliorini, P.; Vergaro, G.; Franzini, M.; Passino, C.; Maisel, A.; Emdin, M. The IL-33/ST2 pathway, inflammation and atherosclerosis: Trigger and target? Int. J. Cardiol. 2018, 267, 188–192. [Google Scholar] [CrossRef]
- Scicchitano, P.; Marzullo, A.; Santoro, A.; Zito, A.; Cortese, F.; Galeandro, C.; Ciccone, A.S.; Angiletta, D.; Manca, F.; Pulli, R.; et al. The prognostic role of ST2L and sST2 in patients who underwent carotid plaque endarterectomy: A five-year follow-up study. J. Clin. Med. 2022, 11, 3142. [Google Scholar] [CrossRef]
- Demyanets, S.; Speidl, W.S.; Tentzeris, I.; Jarai, R.; Katsaros, K.M.; Farhan, S.; Krychtiuk, K.A.; Wonnerth, A.; Weiss, T.W.; Huber, K.; et al. Soluble ST2 and interleukin-33 levels in coronary artery disease: Relation to disease activity and adverse outcome. PLoS ONE 2014, 9, e95055. [Google Scholar] [CrossRef]
- Garcia-Garcia, H.M.; Jang, I.-K.; Serruys, P.W.; Kovacic, J.C.; Narula, J.; Fayad, Z.A. Imaging plaques to predict and better manage patients with acute coronary events. Circ. Res. 2014, 114, 1904–1917. [Google Scholar] [CrossRef]
- Yang, H.-M.; Yoon, M.-H.; Lim, H.-S.; Seo, K.W.; Choi, B.J.; Choi, S.Y.; Hwang, G.S.; Tahk, S.J. Lipid-core plaque assessed by near-infrared spectroscopy and procedure related microvascular injury. Korean J. Cardiol. 2019, 49, 1010–1018. [Google Scholar] [CrossRef]
- Suh, W.M.; Seto, A.H.; Margey, R.J.; Cruz-Gonzalez, I.; Jang, I.K. Intravascular detection of the vulnerable plaque. Circ. Cardiovasc. Imaging 2011, 4, 169–178. [Google Scholar] [CrossRef]
- Jang, I.-K.; Tearney, G.J.; MacNeill, B.; Takano, M.; Moselewski, F.; Iftima, N.; Shishkov, M.; Houser, S.; Aretz, H.T.; Halpern, E.F.; et al. In vivo characterization of coronary atherosclerotic plaque by use of optical coherence tomography. Circulation 2005, 111, 1551–1555. [Google Scholar] [CrossRef]
- Sinclair, H.; Bourantas, C.; Bagnall, A.; Mintz, G.S.; Kunadian, V. OCT for the identification of vulnerable plaque in acute coronary syndrome. JACC Cardiovasc. Imaging 2015, 8, 198–209. [Google Scholar] [CrossRef]
- Stone, G.W.; Maehara, A.; Lansky, A.J.; De Bruyne, B.; Cristea, E.; Mintz, G.S.; Mehran, R.; McPherson, J.; Farhat, N.; Marso, S.P.; et al. A prospective natural-history study of coronary atherosclerosis. N. Engl. J. Med. 2011, 364, 226–235. [Google Scholar] [CrossRef]
- Romagnoli, E.; Gatto, L.; Prati, F. The CLIMA study: Assessing the risk of myocardial infarction with a new anatomical score. Eur. Heart J. Suppl. 2019, 21, B80–B83. [Google Scholar] [CrossRef]
- Biccire, F.G.; Buddassi, S.; Ozaki, Y.; Boi, A.; Romagnoli, E.; Di Pietro, R.; Bourantas, C.V.; Marco, V.; Paoletti, G.; Debelak, C.; et al. Optical coherence tomography-derived lipid core burden index and clinical outcomes: Results from the CLIMA registry. Eur. Heart J. Cardiovasc. Imaging 2022, 1–9. [Google Scholar] [CrossRef]
- Kang, S.-J.; Mintz, G.S.; Pu, J.; Sum, S.T.; Madden, S.P.; Burke, A.P.; Xu, K.; Goldstein, J.A.; Stone, G.W.; Muller, J.E.; et al. Combined IVUS and NIRS detection of fibroatheromas: Histopathological validation in human coronary arteries. JACC Cardiovasc. Imaging 2015, 8, 184–194. [Google Scholar] [CrossRef]
- Kilic, I.D.; Caiazzo, G.; Fabris, E.; Serdoz, R.; Abou-Sherif, S.; Madden, S.; Moreno, P.R.; Goldstein, J.; Di Mario, C. Near-infrared spectroscopy-intravascular ultrasound: Scientific basis and clinical applications. Eur. Heart J. Cardiovasc. Imaging 2015, 16, 1299–1306. [Google Scholar] [CrossRef]
- Madder, R.D.; Steinberg, D.H.; Anderson, R.D. Multimodality direct coronary imaging with combined near-infrared spectroscopy and intravascular ultrasound: Initial US experience. Catheter. Cardiovasc. Interv. 2013, 81, 551–557. [Google Scholar] [CrossRef]
- Hong, Y.J.; Mintz, G.S.; Kim, S.W.; Lee, S.Y.; Okabe, T.; Pichard, A.D.; Satler, L.F.; Waksman, R.; Kent, K.M.; Suddath, W.O.; et al. Impact of plaque composition on cardiac troponin elevation after percutaneous coronary intervention: An ultrasound analysis. JACC Cardiovasc. Imaging 2009, 2, 458–468. [Google Scholar] [CrossRef][Green Version]
- Erlinge, D.; Maehara, A.; Ben-Yehuda, O.; Bøtker, H.E.; Maeng, M.; Kjøller-Hansen, L.; Engstrøm, T.; Matsumura, M.; Crowley, A.; Dressler, O.; et al. Identification of vulnerable plaques and patients by intracoronary near-infrared spectroscopy and ultrasound (PROSPECT II): A prospective natural history study. Lancet 2021, 397, 985–995. [Google Scholar] [CrossRef]
- Park, J.-S.; Choi, S.-Y.; Zheng, M.; Yang, H.M.; Lim, H.S.; Choi, B.J.; Yoon, M.H.; Hwang, G.S.; Tahk, S.J.; Shin, J.H. Epicardial adipose tissue thickness is a predictor for plaque vulnerability in patients with significant coronary artery disease. Atherosclerosis 2013, 226, 134–139. [Google Scholar] [CrossRef]
- Davidovich, D.; Gastaldelli, A.; Sicari, R. Imaging cardiac fat. Eur. Heart Cariovasc. Imaging 2013, 14, 625–630. [Google Scholar] [CrossRef]
- Hwang, J.-W.; Choi, U.-J.; Ahn, S.-G.; Lim, H.S.; Kang, S.J.; Choi, B.J.; Choi, S.Y.; Yoon, M.H.; Hwang, G.S.; Tahk, S.J.; et al. Echocardiographic plains reflecting total amount of epicardial adipose tissue as risk factor of coronary artery disease. J. Cardiovasc. Ultrasound 2008, 16, 17–22. [Google Scholar] [CrossRef][Green Version]
- Iacobellis, G.; Willens, H.J. Echocardiographic epicardial fat: A review of research and clinical applications. J. Am. Soc. Echocardiogr. 2009, 22, 1311–1319. [Google Scholar] [CrossRef]




| Total (n = 331) | Thin EAT (n = 164) | Thick EAT (n = 167) | p Value | |
|---|---|---|---|---|
| Age, year (IQR) | 58 (51–64) | 55.5 (48–61) | 60 (55–68) | <0.001 1 |
| Male, n (%) | 254 (76.7) | 39 (84.8) | 115 (68.9) | <0.001 2 |
| Smoker, n (%) | 106 (32.0) | 56(34.1) | 50 (29.9) | 0.181 2 |
| BMI, kg/m2, (IQR) | 25.01 (23.31–27.35) | 24.51 (22.95–26.45) | 25.712 (23.94–27.86) | <0.001 1 |
| DM, n (%) | 91 (27.5) | 36 (22.0) | 55 (32.9) | 0.025 2 |
| Hypertension, n (%) | 168 (51.0) | 68 (41.5) | 100 (60.2) | 0.001 2 |
| CKD *, n (%) | 32 (9.7) | 4 (2.4) | 28 (1.2) | 0.001 2 |
| Previous PCI, n (%) | 31 (9.4) | 14 (8.5) | 17 (10.2) | 0.608 2 |
| Stroke, n (%) | 9 (2.7) | 3 (1.8) | 6 (3.6) | 0.502 2 |
| PAOD, n (%) | 2 (0.6) | 0 (0.0) | 2 (1.2) | 0.499 2 |
| Dyslipidemia, n (%) | 84 (25.4) | 37 (22.6) | 47 (28.1) | 0.298 2 |
| Total cholesterol, mg/dL (IQR) | 173 (143–204) | 176 (144–206) | 172 (143–199) | 0.747 1 |
| Triglyceride, mg/dL (IQR) | 118 (84–178) | 114 (79–156) | 125 (87–192) | 0.120 1 |
| HDL cholesterol, mg/dL (IQR) | 44 (38–53) | 46 (40–55) | 43 (36–50) | 0.001 1 |
| LDL cholesterol, mg/dL (IQR) | 102 (72–131) | 104 (76–133) | 102 (71–127) | 0.988 1 |
| LVEF, % (IQR) | 65 (58–71) | 65 (59–72) | 64 (58–70) | 0.265 1 |
| ACS, n (%) | 211 (63.7) | 95 (57.9) | 121 (69.5) | 0.019 2 |
| Total (n = 331) | Thin EAT (n = 164) | Thick EAT (n = 167) | p Value | |
|---|---|---|---|---|
| Symptom-related vessel, n (%) | 0.052 2 | |||
| LAD | 284 (85.8) | 143 (87.2) | 141 (84.4) | - |
| LCX | 15 (4.5) | 3 (1.8) | 12 (7.2) | - |
| RCA | 32 (9.7) | 18 (11.0) | 14 (8.4) | - |
| Vessel disease, n (%) | 0.036 2 | |||
| Intermediate | 34 (10.3) | 24 (14.6) | 10 (6.0) | - |
| 1VD | 132 (39.9) | 63 (38.4) | 69 (41.3) | - |
| 2VD | 98 (29.6) | 50 (30.5) | 48 (28.7) | - |
| 3VD | 67 (20.2) | 27 (16.5) | 40 (24.0) | - |
| Angiographic diameter stenosis, % (IQR) | 85.0 (74–95) | 84.0 (70.0–92.0) | 88.0 (76.0–98.0) | 0.007 1 |
| NIRS-IVUS analysis | ||||
| Minimum lumen area, mm2 (IQR) | 2.80 (2.14–3.67) | 2.94 (2.30–4.20) | 2.50 (2.07–3.50) | <0.001 1 |
| PB, % (IQR) | 75.3 (64.2–83.2) | 72.8 (59.8–82.2) | 76.5 (69.1–84.2) | 0.013 1 |
| maxLCBI4mm (IQR) | 386 (244–528) | 293 (154–429) | 437 (335–606) | <0.001 1 |
| maxLCBI4mm ≥ 400, n (%) | 156 (47.1) | 53 (32.3) | 103 (61.7) | <0.001 2 |
| Variables | Univariate Logistic Regression Analysis | Multiple Logistic Regression Analysis | ||||||||
|---|---|---|---|---|---|---|---|---|---|---|
| B ± SE | Odds Ratio | 95% CI | p Value | B ± SE | Odds Ratio | 95% CI | p Value | |||
| Lower | Upper | Lower | Upper | |||||||
| Age | 0.040 ± 0.011 | 1.041 | 1.018 | 1.065 | <0.001 | 0.031 ± 0.013 | 1.032 | 1.006 | 1.059 | 0.017 |
| Male | 0.312 ± 0.221 | 1.377 | 0.826 | 2.303 | 0.221 | - | - | - | - | - |
| Smoking | 0.206 ± 0.221 | 1.228 | 0.798 | 1.895 | 0.351 | - | - | - | - | - |
| BMI | 0.022 ± 0.036 | 1.022 | 0.952 | 1.098 | 0.543 | - | - | - | - | - |
| DM | 0.189 ± 0.247 | 1.208 | 0.745 | 1.961 | 0.443 | - | - | - | - | - |
| HTN | 0.248 ± 0.221 | 1.282 | 0.831 | 1.980 | 0.262 | - | - | - | - | - |
| CKD * | 0.413 ± 0.375 | 1.511 | 0.725 | 3.150 | 0.271 | |||||
| Dyslipidemia | 0.505 ± 0.254 | 1.658 | 1.008 | 2.726 | 0.046 | 0.373 ± 0.292 | 1.452 | 0.819 | 2.574 | 0.202 |
| HDL | −0.013 ± 0.009 | 0.987 | 0.969 | 1.005 | 0.149 | - | - | - | - | - |
| LDL | 0.008 ± 0.003 | 1.008 | 1.002 | 1.013 | 0.008 | 0.010 ± 0.003 | 1.010 | 1.003 | 1.017 | 0.003 |
| ACS | 1.065 ± 0.242 | 2.902 | 1.818 | 4.695 | <0.001 | 1.003 ± 0.282 | 2.728 | 1.568 | 4.745 | <0.001 |
| MLA | −0.271 ± 0.075 | 0.763 | 0.652 | 0.876 | <0.001 | −0.028 ± 0.088 | 0.972 | 0.818 | 1.156 | 0.752 |
| PB | 0.034 ± 0.007 | 1.034 | 1.020 | 1.050 | <0.001 | 0.021 ± 0.012 | 1.018 | 1.001 | 1.037 | 0.048 |
| EAT | 0.366 ± 0.078 | 1.442 | 1.244 | 1.686 | <0.001 | 0.340 ± 0.090 | 1.405 | 1.177 | 1.678 | <0.001 |
Publisher’s Note: MDPI stays neutral with regard to jurisdictional claims in published maps and institutional affiliations. |
© 2022 by the authors. Licensee MDPI, Basel, Switzerland. This article is an open access article distributed under the terms and conditions of the Creative Commons Attribution (CC BY) license (https://creativecommons.org/licenses/by/4.0/).
Share and Cite
Park, S.S.; Jung, J.; Mintz, G.S.; Jin, U.; Park, J.-S.; Park, B.; Shin, H.-B.; Seo, K.-W.; Yang, H.-M.; Lim, H.-S.; et al. Epicardial Adipose Tissue Thickness Is Related to Plaque Composition in Coronary Artery Disease. Diagnostics 2022, 12, 2836. https://doi.org/10.3390/diagnostics12112836
Park SS, Jung J, Mintz GS, Jin U, Park J-S, Park B, Shin H-B, Seo K-W, Yang H-M, Lim H-S, et al. Epicardial Adipose Tissue Thickness Is Related to Plaque Composition in Coronary Artery Disease. Diagnostics. 2022; 12(11):2836. https://doi.org/10.3390/diagnostics12112836
Chicago/Turabian StylePark, Soon Sang, Jisung Jung, Gary S. Mintz, Uram Jin, Jin-Sun Park, Bumhee Park, Han-Bit Shin, Kyoung-Woo Seo, Hyoung-Mo Yang, Hong-Seok Lim, and et al. 2022. "Epicardial Adipose Tissue Thickness Is Related to Plaque Composition in Coronary Artery Disease" Diagnostics 12, no. 11: 2836. https://doi.org/10.3390/diagnostics12112836
APA StylePark, S. S., Jung, J., Mintz, G. S., Jin, U., Park, J.-S., Park, B., Shin, H.-B., Seo, K.-W., Yang, H.-M., Lim, H.-S., Choi, B.-J., Yoon, M.-H., Shin, J.-H., Tahk, S.-J., & Choi, S.-Y. (2022). Epicardial Adipose Tissue Thickness Is Related to Plaque Composition in Coronary Artery Disease. Diagnostics, 12(11), 2836. https://doi.org/10.3390/diagnostics12112836

