Novel Ex Vivo DOAC Removal Methods Reduce Interference in Lupus Anticoagulant Testing
Abstract
1. Introduction
2. Materials and Methods
3. Results
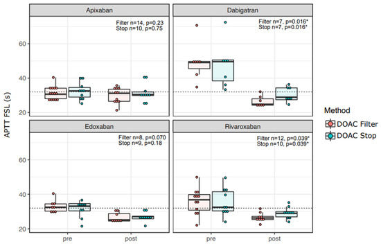
3.1. Effects of DOAC Removal Treatment on DOAC Concentrations and Coagulation Tests
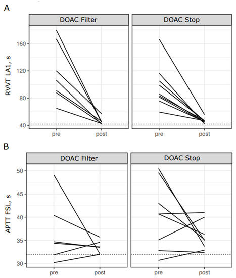
3.2. DOAC Concentration Correlates with RVVT-Based Coagulation Time
3.3. Positive Results after DOAC Removal: Real Lupus Anticoagulant?
4. Discussion
5. Conclusions
Supplementary Materials
Author Contributions
Funding
Institutional Review Board Statement
Informed Consent Statement
Data Availability Statement
Acknowledgments
Conflicts of Interest
References
- Steffel, J.; Collins, R.; Antz, M.; Cornu, P.; Desteghe, L.; Haeusler, K.G.; Oldgren, J.; Reinecke, H.; Roldan-Schilling, V.; Rowell, N.; et al. 2021 European Heart Rhythm Association Practical Guide on the Use of Non-Vitamin K Antagonist Oral Anticoagulants in Patients with Atrial Fibrillation. Europace 2021, 23, 1612–1676. [Google Scholar] [CrossRef] [PubMed]
- Seheult, J.N.; Meyer, M.P.; Bontempo, F.A.; Chibisov, I. The Effects of Indirect- and Direct-Acting Anticoagulants on Lupus Anticoagulant Assays. Am. J. Clin. Pathol. 2017, 147, 632–640. [Google Scholar] [CrossRef] [PubMed]
- Exner, T.; Michalopoulos, N.; Pearce, J.; Xavier, R.; Ahuja, M. Simple method for removing DOACs from plasma samples. Thromb. Res. 2018, 163, 117–122. [Google Scholar] [CrossRef] [PubMed]
- Exner, T.; Ahuja, M.; Ellwood, L. Effect of an activated charcoal product (DOAC StopTM) intended for extracting DOACs on various other APTT-prolonging anticoagulants. Clin. Chem. Lab. Med. CCLM 2019, 57, 690–696. [Google Scholar] [CrossRef]
- Favresse, J.; Lardinois, B.; Sabor, L.; Devalet, B.; Vandepapeliere, J.; Braibant, M.; Lessire, S.; Chatelain, B.; Jacqmin, H.; Douxfils, J.; et al. Evaluation of the DOAC-Stop® Procedure to Overcome the Effect of DOACs on Several Thrombophilia Screening Tests. TH Open 2018, 2, e202–e209. [Google Scholar] [CrossRef]
- Platton, S.; Hunt, C. Influence of DOAC Stop on coagulation assays in samples from patients on rivaroxaban or apixaban. Int. J. Lab. Hematol. 2019, 41, 227–233. [Google Scholar] [CrossRef]
- Tripodi, A.; Scalambrino, E.; Chantarangkul, V.; Paoletti, O.; Clerici, M.; Novembrino, C.; Boscolo-Anzoletti, M.; Peyvandi, F.; Testa, S. Impact of a commercially available DOAC absorbent on two integrated procedures for lupus anticoagulant detection. Thromb. Res. 2021, 204, 32–39. [Google Scholar] [CrossRef]
- Frans, G.; Meeus, P.; Bailleul, E. Resolving DOAC interference on aPTT, PT, and lupus anticoagulant testing by the use of activated carbon. J. Thromb. Haemost. 2019, 17, 1354–1362. [Google Scholar] [CrossRef]
- Jourdi, G.; Delrue, M.; Stepanian, A.; Valaize, J.; Foulon-Pinto, G.; Demagny, J.; Duchemin, J.; Nedelec-Gac, F.; Darnige, L.; Curis, E.; et al. Potential usefulness of activated charcoal (DOAC remove®) for dRVVT testing in patients receiving Direct Oral AntiCoagulants. Thromb. Res. 2019, 184, 86–91. [Google Scholar] [CrossRef]
- Sevenet, P.-O.; Cucini, V.; Hervé, T.; Depasse, F.; Carlo, A.; Contant, G.; Mathieu, O. Evaluation of DOAC Filter, a new device to remove direct oral anticoagulants from plasma samples. Int. J. Lab. Hematol. 2020, 42, 636–642. [Google Scholar] [CrossRef]
- R Core Team. R: A Language and Environment for Statistical Computing; R Foundation for Statistical Computing: Vienna, Austria, 2019. [Google Scholar]
- Ząbczyk, M.; Kopytek, M.; Natorska, J.; Undas, A. The effect of DOAC-Stop on lupus anticoagulant testing in plasma samples of venous thromboembolism patients receiving direct oral anticoagulants. Clin. Chem. Lab. Med. (CCLM) 2019, 57, 1374–1381. [Google Scholar] [CrossRef] [PubMed]
- Dabit, J.Y.; Valenzuela-Almada, M.O.; Vallejo-Ramos, S.; Duarte-García, A. Epidemiology of Antiphospholipid Syndrome in the General Population. Curr. Rheumatol. Rep. 2021, 23, 85. [Google Scholar] [CrossRef]
- Slavik, L.; Jacova, J.; Friedecky, D.; Ulehlova, J.; Tauber, Z.; Prochazkova, J.; Hlusi, A.; Palova, M. Evaluation of the DOAC-Stop Procedure by LC-MS/MS Assays for Determining the Residual Activity of Dabigatran, Rivaroxaban, and Apixaban. Clin. Appl. Thromb. Hemost. 2019, 25, 107602961987255. [Google Scholar] [CrossRef] [PubMed]
- De Kesel, P.M.; Devreese, K.M.J. Direct oral anticoagulant adsorption: Impact on lupus anticoagulant testing. Review of the literature and evaluation on spiked and patient samples. J. Thromb. Haemost. 2020, 18, 2003–2017. [Google Scholar] [CrossRef] [PubMed]
- Riva, N.; Vella, K.; Hickey, K.; Gatt, P.; Grima, C.; Zammit, D.; Ageno, W.; Kitchen, S.; Makris, M.; Gatt, A. The effect of DOAC-Stop® on several oral and parenteral anticoagulants. Int. J. Lab. Hematol. 2021, 43, O171–O175. [Google Scholar] [CrossRef] [PubMed]
- Baker, S.A.; Jin, J.; Pfaffroth, C.; Vu, T.; Zehnder, J.L. DOAC-Stop in lupus anticoagulant testing: Direct oral anticoagulant interference removed in most samples. Res. Pract. Thromb. Haemost. 2021, 5, 314–325. [Google Scholar] [CrossRef] [PubMed]
- Linskens, E.A.; De Kesel, P.; Devreese, K.M.J. Direct Oral Anticoagulant removal by a DOAC filter: Impact on lupus anticoagulant testing—Evaluation on spiked and patient samples. Res. Pract. Thromb. Haemost. 2022, 6, e12633. [Google Scholar] [CrossRef]
- Farkh, C.; Ellouze, S.; Gounelle, L.; Sad Houari, M.; Duchemin, J.; Proulle, V.; Fontenay, M.; Delavenne, X.; Jourdi, G. A Diagnostic Solution for Lupus Anticoagulant Testing in Patients Taking Direct Oral FXa Inhibitors Using DOAC Filter. Front. Med. 2021, 8, 683357. [Google Scholar] [CrossRef]
- Exner, T.; Rigano, J.; Favaloro, E.J. The effect of DOACs on laboratory tests and their removal by activated carbon to limit interference in functional assays. Int. J. Lab. Hematol. 2020, 42, 41–48. [Google Scholar] [CrossRef]
- Siriez, R.; Dogné, J.-M.; Gosselin, R.; Laloy, J.; Mullier, F.; Douxfils, J. Comprehensive review of the impact of direct oral anticoagulants on thrombophilia diagnostic tests: Practical recommendations for the laboratory. Int. J. Lab. Hematol. 2021, 43, 7–20. [Google Scholar] [CrossRef]
- Helin, T.A.; Lemponen, M.; Hjemdahl, P.; Rönquist-Nii, Y.; Lassila, R.; Joutsi-Korhonen, L. From laboratory to clinical practice: Dabigatran effects on thrombin generation and coagulation in patient samples. Thromb. Res. 2015, 136, 154–160. [Google Scholar] [CrossRef] [PubMed]
- Helin, T.A.; Pakkanen, A.; Lassila, R.; Joutsi-Korhonen, L. Laboratory Assessment of Novel Oral Anticoagulants: Method Suitability and Variability between Coagulation Laboratories. Clin. Chem. 2013, 59, 807–814. [Google Scholar] [CrossRef] [PubMed]
- Monteyne, T.; De Kesel, P.; Devreese, K.M.J. Interference of DOAC stop and DOAC remove in the thrombin generation assay and coagulation assays. Thromb. Res. 2020, 192, 96–99. [Google Scholar] [CrossRef] [PubMed]
- Kopatz, W.F.; Brinkman, H.J.M.; Meijers, J.C.M. Use of DOAC Stop for elimination of anticoagulants in the thrombin generation assay. Thromb. Res. 2018, 170, 97–101. [Google Scholar] [CrossRef] [PubMed]
- Jacquemin, M.; Toelen, J.; Feyen, L.; Schoeters, J.; Van Horenbeeck, I.; Vanlinthout, I.; Debasse, M.; Vanassche, T.; Peerlinck, K.; Verhamme, P. The adsorption of dabigatran is as efficient as addition of idarucizumab to neutralize the drug in routine coagulation assays. Int. J. Lab. Hematol. 2018, 40, 442–447. [Google Scholar] [CrossRef] [PubMed]
- De Kesel, P.M.M.; Devreese, K.M.J. The effect of unfractionated heparin, enoxaparin, and danaparoid on lupus anticoagulant testing: Can activated carbon eliminate false-positive results? Res. Pract. Thromb. Haemost. 2020, 4, 161–168. [Google Scholar] [CrossRef] [PubMed]





| Before DOAC Removal | After DOAC Removal | Before DOAC Removal | After DOAC Removal | |||
|---|---|---|---|---|---|---|
| DOAC in Sample | Samples (n) | Concentration Median (Range), ng/mL | Concentration Median (Range), ng/mL | Positive Lupus Anticoagulant Screening | ||
| Patient samples: DOAC Filter® | Apixaban | 11 | 112 (68–297) | 0 (0–15) | 10/11 | 7/11 |
| Dabigatran | 4 | 103 (60–154) | 9 (0–18) | 4/4 | 1/4 | |
| Edoxaban | 4 | 134.5 (37–580) | 6 (5–7) | 4/4 | 0/4 | |
| Rivaroxaban | 9 | 163 (69–285) | 0 (0–4) | 9/9 | 3/9 | |
| Patient samples: DOAC-Stop™ | Apixaban | 7 | 162 (73–572) | 0 (0–48) | 6/7 | 4/7 |
| Dabigatran | 4 | 82 (47–128) | 4 (2–5) | 4/4 | 3/4 | |
| Edoxaban | 4 | 152 (35–283) | 7 (6–8) | 4/4 | 1/4 | |
| Rivaroxaban | 7 | 106 (83–265) | 0 (0–0) | 7/7 | 4/7 | |
| Calibrators and controls: DOAC Filter® | Apixaban | 3 | 285 (63–488) | 3 (0–6) | 2/3 | 0/3 |
| Dabigatran | 3 | 340 (85–651) | 16 (16–17) | 3/3 | 0/3 | |
| Edoxaban | 4 | 76.5 (32–112) | 0 (0–24) | 4/4 | 0/4 | |
| Rivaroxaban | 3 | 280 (69–495) | 0 (0–0) | 3/3 | 0/3 | |
| Calibrators and controls: DOAC-Stop™ | Apixaban | 3 | 261 (54–472) | 0 (0–0) | 2/3 | 0/3 |
| Dabigatran | 3 | 227 (54–549) | 3 (2–4) | 3/3 | 0/3 | |
| Edoxaban | 5 | 78 (29–131) | 5 (5–7) | 5/5 | 0/5 | |
| Rivaroxaban | 3 | 271 (65–473) | 0 (0–0) | 3/3 | 0/3 | |
Publisher’s Note: MDPI stays neutral with regard to jurisdictional claims in published maps and institutional affiliations. |
© 2022 by the authors. Licensee MDPI, Basel, Switzerland. This article is an open access article distributed under the terms and conditions of the Creative Commons Attribution (CC BY) license (https://creativecommons.org/licenses/by/4.0/).
Share and Cite
Savola, P.; Lemponen, M.; Joutsi-Korhonen, L.; Helin, T.A. Novel Ex Vivo DOAC Removal Methods Reduce Interference in Lupus Anticoagulant Testing. Diagnostics 2022, 12, 2520. https://doi.org/10.3390/diagnostics12102520
Savola P, Lemponen M, Joutsi-Korhonen L, Helin TA. Novel Ex Vivo DOAC Removal Methods Reduce Interference in Lupus Anticoagulant Testing. Diagnostics. 2022; 12(10):2520. https://doi.org/10.3390/diagnostics12102520
Chicago/Turabian StyleSavola, Paula, Marja Lemponen, Lotta Joutsi-Korhonen, and Tuukka A. Helin. 2022. "Novel Ex Vivo DOAC Removal Methods Reduce Interference in Lupus Anticoagulant Testing" Diagnostics 12, no. 10: 2520. https://doi.org/10.3390/diagnostics12102520
APA StyleSavola, P., Lemponen, M., Joutsi-Korhonen, L., & Helin, T. A. (2022). Novel Ex Vivo DOAC Removal Methods Reduce Interference in Lupus Anticoagulant Testing. Diagnostics, 12(10), 2520. https://doi.org/10.3390/diagnostics12102520

