Prediction of the Presence of Targetable Molecular Alteration(s) with Clinico-Metabolic 18 F-FDG PET Radiomics in Non-Asian Lung Adenocarcinoma Patients
Abstract
1. Introduction
2. Materials and Methods
2.1. Population
2.2. Immunohistochemistry
2.3. Next-Generation Sequencing Panel Colon and Lung Cancer Panel v3 Analysis [13]
- −
- Life Technologies: Torrent Suite (version 5.6), Variant Caller (version 5.6), Ion Reporter (version 5.6)
- −
- Nextgene (version 2.4.1.2, Softgenetics, State College, PA, USA).
2.4. Positron Emission Tomography Acquisition and Analysis
- (1)
- A TrueV analogic PET/CT (Siemens Healthineers, Erlangen, Germany) with three iterations and 21 subsets with point spread function (PSF) reconstruction (2.0 × 4.0 × 4.0 mm3 voxels). The PET emission acquisition was performed from skull to mid-thighs for 2 min and 40 s and 3 min and 40 s per bed position for normal-weight and overweight patients, respectively.
- (2)
- A Vereos digital PET/CT (Philips Medical Solutions, USA) with two iterations and 10 subsets with PSF reconstruction (2 mm3 voxels). The PET emission acquisition was performed from the skull to mid-thighs for 2 min per bed position regardless of the body habitus of the patients.
- −
- Conventional parameters: SUVmean, SUVmax, metabolic tumour volume, and total lesion glycolysis
- −
- Histogram parameters: skewness_HISTO, kurtosis_HISTO, excessKustosis_HISTO entropy_log2_HISTO, and uniformity_HISTO
- −
- Shape parameters: sphericity_SHAPE and compacity_SHAPE
- −
- Grey-Level Co-Occurrence Matrix (GLCM) parameters: inverse difference_GLCM, angular second moment_GLCM, variance_GLCM, correlation_GLCM, joint entropy_GLCM, and dissimilarity_GLCM
- −
- Neighbouring grey-level dependence matrix (NGLDM) parameters: coarseness_NGLDM, contrast_NGLDM, and busyness_NGLDM
- −
- Grey-level zone length matrix (GLZLM) parameters: SZE_GLZLM, LZE_GLZLM, LGZE_GLZLM, HGZE_GLZLM, SZLGE_GLZLM, SZHGE_GLZLM, LZLGE_GLZLM, LZHGE_GLZLM, GLNU_GLZLM, ZLNU_GLZLM, and ZP_GLZLM
2.5. Statistical Analysis
3. Results
3.1. Patients and Next-Generation Sequencing Characteristics of the Entire Data Population
3.2. Positron Emission Tomography Data Harmonisation
3.3. Construction of Prediction Model Using a Lasso Regression with a Cross-Validation on the Training Dataset (n = 87)
3.4. Relationship between Variables Included in the Lasso Regression Model
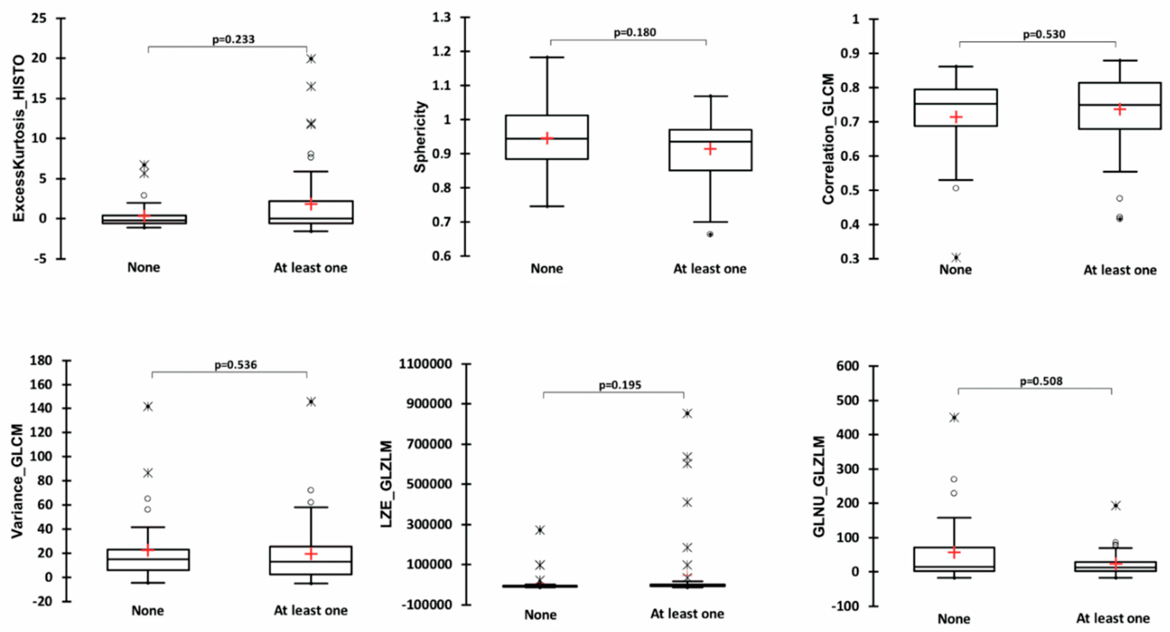
3.5. Comparison of Variables Included in the Lasso Regression Model between Patients with and without Molecular Alteration(s)
3.6. LASSO Regression Model Diagnostic Performances for Molecular Alteration(s) Detection in the Training Dataset (n = 87)
3.7. Prediction Model Screening Performances on the Unseen Test Dataset (N = 22)
4. Discussion
Supplementary Materials
Author Contributions
Funding
Institutional Review Board Statement
Informed Consent Statement
Data Availability Statement
Conflicts of Interest
References
- de Groot, P.M.; Wu, C.C.; Carter, B.W.; Munden, R.F. The epidemiology of lung cancer. Transl. Lung Cancer Res. 2018, 7, 220–233. [Google Scholar] [CrossRef] [PubMed]
- Houdu, B.; Lasnon, C.; Licaj, I.; Thomas, G.; Do, P.; Guizard, A.V.; Desmonds, C.; Aide, N. Why harmonization is needed when using FDG PET/CT as a prognosticator: Demonstration with EARL-compliant SUV as an independent prognostic factor in lung cancer. Eur. J. Nucl. Med. Mol. Imaging 2019, 46, 421–428. [Google Scholar] [CrossRef]
- Jiang, M.; Zhang, Y.; Xu, J.; Ji, M.; Guo, Y.; Guo, Y.; Xiao, J.; Yao, X.; Shi, H.; Zeng, M. Assessing EGFR gene mutation status in non-small cell lung cancer with imaging features from PET/CT. Nucl. Med. Commun. 2019, 40, 842–849. [Google Scholar] [CrossRef] [PubMed]
- Zhu, L.; Yin, G.; Chen, W.; Li, X.; Yu, X.; Zhu, X.; Jiang, W.; Jia, C.; Chen, P.; Zhang, Y.; et al. Correlation between EGFR mutation status and F(18) -fluorodeoxyglucose positron emission tomography-computed tomography image features in lung adenocarcinoma. Thorac. Cancer 2019, 10, 659–664. [Google Scholar] [CrossRef]
- Koyasu, S.; Nishio, M.; Isoda, H.; Nakamoto, Y.; Togashi, K. Usefulness of gradient tree boosting for predicting histological subtype and EGFR mutation status of non-small cell lung cancer on (18)F FDG-PET/CT. Ann. Nucl. Med. 2020, 34, 49–57. [Google Scholar] [CrossRef] [PubMed]
- Garrido, P.; Conde, E.; de Castro, J.; Gómez-Román, J.J.; Felip, E.; Pijuan, L.; Isla, D.; Sanz, J.; Paz-Ares, L.; Lopez-Rios, F. Updated guidelines for predictive biomarker testing in advanced non-small-cell lung cancer: A National Consensus of the Spanish Society of Pathology and the Spanish Society of Medical Oncology. Clin. Transl. Oncol. 2020, 22, 989–1003. [Google Scholar] [CrossRef]
- Doble, B.; John, T.; Thomas, D.; Fellowes, A.; Fox, S.; Lorgelly, P. Cost-effectiveness of precision medicine in the fourth-line treatment of metastatic lung adenocarcinoma: An early decision analytic model of multiplex targeted sequencing. Lung Cancer 2017, 107, 22–35. [Google Scholar] [CrossRef]
- Johnston, K.M.; Sheffield, B.S.; Yip, S.; Lakzadeh, P.; Qian, C.; Nam, J. Comprehensive genomic profiling for non-small-cell lung cancer: Health and budget impact. Curr. Oncol. 2020, 27, 569–577. [Google Scholar] [CrossRef]
- Yu, T.M.; Morrison, C.; Gold, E.J.; Tradonsky, A.; Arnold, R.J.G. Budget Impact of Next-Generation Sequencing for Molecular Assessment of Advanced Non-Small Cell Lung Cancer. Value Health 2018, 21, 1278–1285. [Google Scholar] [CrossRef]
- Bewicke-Copley, F.; Arjun Kumar, E.; Palladino, G.; Korfi, K.; Wang, J. Applications and analysis of targeted genomic sequencing in cancer studies. Comput. Struct. Biotechnol. J. 2019, 17, 1348–1359. [Google Scholar] [CrossRef]
- Schwartzberg, L.; Kim, E.S.; Liu, D.; Schrag, D. Precision Oncology: Who, How, What, When, and When Not? Am. Soc. Clin. Oncol. Educ. Book 2017, 37, 160–169. [Google Scholar] [CrossRef] [PubMed]
- Hofman, V.; Rouquette, I.; Long-Mira, E.; Piton, N.; Chamorey, E.; Heeke, S.; Vignaud, J.M.; Yguel, C.; Mazieres, J.; Lepage, A.-L.; et al. Multicenter Evaluation of a Novel ROS1 Immunohistochemistry Assay (SP384) for Detection of ROS1 Rearrangements in a Large Cohort of Lung Adenocarcinoma Patients. J. Thorac. Oncol. 2019, 14, 1204–1212. [Google Scholar] [CrossRef] [PubMed]
- D’Haene, N.; Le Mercier, M.; De Nève, N.; Blanchard, O.; Delaunoy, M.; El Housni, H.; Dessars, B.; Heimann, P.; Remmelink, M.; Demetter, P.; et al. Clinical Validation of Targeted Next Generation Sequencing for Colon and Lung Cancers. PLoS ONE 2015, 10, e0138245. [Google Scholar] [CrossRef] [PubMed]
- Boellaard, R.; Delgado-Bolton, R.; Oyen, W.J.G.; Giammarile, F.; Tatsch, K.; Eschner, W.; Verzijlbergen, F.J.; Barrington, S.F.; Pike, L.C.; Weber, W.A.; et al. FDG PET/CT: EANM procedure guidelines for tumour imaging: Version 2.0. Eur. J. Nucl. Med. Mol. Imaging. 2015, 42, 328–354. [Google Scholar] [CrossRef]
- Wanet, M.; Lee, J.A.; Weynand, B.; De Bast, M.; Poncelet, A.; Lacroix, V.; Coche, E.; Gregoire, V.; Geets, X. Gradient-based delineation of the primary GTV on FDG-PET in non-small cell lung cancer: A comparison with threshold-based approaches, CT and surgical specimens. Radiother. Oncol. 2011, 98, 117–125. [Google Scholar] [CrossRef]
- Nioche, C.; Orlhac, F.; Boughdad, S.; Reuzé, S.; Goya-Outi, J.; Robert, C.; Pellot-Barakat, C.; Soussan, M.; Frouin, F.; Buvat, I. LIFEx: A Freeware for Radiomic Feature Calculation in Multimodality Imaging to Accelerate Advances in the Characterization of Tumor Heterogeneity. Cancer Res. 2018, 78, 4786–4789. [Google Scholar] [CrossRef]
- Hatt, M.; Majdoub, M.; Vallières, M.; Tixier, F.; Le Rest, C.C.; Groheux, D.; Hindle, E.; Martineau, A.; Pradler, O.; Hustinx, R.; et al. 18 F-FDG PET uptake characterization through texture analysis: Investigating the complementary nature of heterogeneity and functional tumor volume in a multi-cancer site patient cohort. J. Nucl. Med. 2015, 56, 38–44. [Google Scholar] [CrossRef]
- Zwanenburg, A.; Vallières, M.; Abdalah, M.A.; Aerts, H.J.W.L.; Andrearczyk, V.; Apte, A.; Ashrafinia, S.; Bakas, S.; Beukinga, R.J.; Boellaard, R.; et al. The Image Biomarker Standardization Initiative: Standardized Quantitative Radiomics for High-Throughput Image-based Phenotyping. Radiology 2020, 295, 328–338. [Google Scholar] [CrossRef]
- Image Features. Available online: https://ibsi.readthedocs.io/en/latest/03_Image_features.html (accessed on 26 September 2022).
- Orlhac, F.; Lecler, A.; Savatovski, J.; Goya-Outi, J.; Nioche, C.; Charbonneau, F.; Ayache, N.; Frouin, F.; Duron, L.; Buvat, I. How can we combat multicenter variability in MR radiomics? Validation of a correction procedure. Eur. Radiol. 2021, 31, 2272–2280. [Google Scholar] [CrossRef]
- Black, W.C.; Armstrong, P. Communicating the significance of radiologic test results: The likelihood ratio. AJR Am. J. Roentgenol. 1986, 147, 1313–1318. [Google Scholar] [CrossRef]
- Grimes, D.A.; Schulz, K.F. Refining clinical diagnosis with likelihood ratios. Lancet 2005, 365, 1500–1505. [Google Scholar] [CrossRef]
- Calvayrac, O.; Pradines, A.; Pons, E.; Mazières, J.; Guibert, N. Molecular biomarkers for lung adenocarcinoma. Eur. Respir. J. 2017, 49, 601734. [Google Scholar] [CrossRef] [PubMed]
- Toyooka, S.; Matsuo, K.; Shigematsu, H.; Kosaka, T.; Tokumo, M.; Yatabe, Y.; Ichihara, S.; Inukai, M.; Sueshisa, H.; Soh, J.; et al. The impact of sex and smoking status on the mutational spectrum of epidermal growth factor receptor gene in non small cell lung cancer. Clin. Cancer Res. 2007, 13, 5763–5768. [Google Scholar] [CrossRef] [PubMed][Green Version]
- Shigematsu, H.; Lin, L.; Takahashi, T.; Nomura, M.; Suzuki, M.; Wistuba, I.I.; Fong, K.M.; Lee, H.; Toyooka, S.; Shimizu, N.; et al. Clinical and biological features associated with epidermal growth factor receptor gene mutations in lung cancers. J. Natl. Cancer Inst. 2005, 97, 339–346. [Google Scholar] [CrossRef]
- Kosaka, T.; Yatabe, Y.; Endoh, H.; Kuwano, H.; Takahashi, T.; Mitsudomi, T. Mutations of the epidermal growth factor receptor gene in lung cancer: Biological and clinical implications. Cancer Res. 2004, 64, 8919–8923. [Google Scholar] [CrossRef]
- Thomas, L.; Doyle, L.A.; Edelman, M.J. Lung cancer in women: Emerging differences in epidemiology, biology, and therapy. Chest 2005, 128, 370–381. [Google Scholar] [CrossRef]
- Dogan, S.; Shen, R.; Ang, D.C.; Johnson, M.L.; D’Angelo, S.P.; Paik, P.K.; Brostowski, E.B.; Riely, G.J.; Kris, M.G.; Zakowski, M.F.; et al. Molecular epidemiology of EGFR and KRAS mutations in 3,026 lung adenocarcinomas: Higher susceptibility of women to smoking-related KRAS-mutant cancers. Clin. Cancer Res. 2012, 18, 6169–6177. [Google Scholar] [CrossRef]
- Go, H.; Kim, D.W.; Kim, D.; Keam, B.; Kim, T.M.; Lee, S.H.; Heo, D.S.; Bang, Y.-J.; Chung, D.H. Clinicopathologic analysis of ROS1-rearranged non-small-cell lung cancer and proposal of a diagnostic algorithm. J. Thorac. Oncol. 2013, 8, 1445–1450. [Google Scholar] [CrossRef]
- Warth, A.; Muley, T.; Dienemann, H.; Goeppert, B.; Stenzinger, A.; Schnabel, P.A.; Schirmacher, P.; Penzel, R.; Weichert, W. ROS1 expression and translocations in non-small-cell lung cancer: Clinicopathological analysis of 1478 cases. Histopathology 2014, 65, 187–194. [Google Scholar] [CrossRef]
- Mitchell, K.G.; Parra, E.R.; Zhang, J.; Nelson, D.B.; Corsini, E.M.; Villalobos, P.; Moran, C.A.; Skoulidis, F.; Wistuba, I.I.; Fujimoto, J.; et al. LKB1/STK11 Expression in Lung Adenocarcinoma and Associations With Patterns of Recurrence. Ann. Thorac. Surg. 2020, 110, 1131–1138. [Google Scholar] [CrossRef]
- Barta, J.A.; Powell, C.A.; Wisnivesky, J.P. Global Epidemiology of Lung Cancer. Ann. Glob. Health 2019, 85, 8. [Google Scholar] [CrossRef] [PubMed]
- Chapman, A.M.; Sun, K.Y.; Ruestow, P.; Cowan, D.M.; Madl, A.K. Lung cancer mutation profile of EGFR, ALK, and KRAS: Meta-analysis and comparison of never and ever smokers. Lung Cancer 2016, 102, 122–134. [Google Scholar] [CrossRef] [PubMed]
- Rivera, G.A.; Wakelee, H. Lung Cancer in Never Smokers. Adv. Exp. Med. Biol. 2016, 893, 43–57. [Google Scholar] [PubMed]
- Lasnon, C.; Majdoub, M.; Lavigne, B.; Do, P.; Madelaine, J.; Visvikis, D.; Hatt, M.; Aide, N. (18)F-FDG PET/CT heterogeneity quantification through textural features in the era of harmonisation programs: A focus on lung cancer. Eur. J. Nucl. Med. Mol. Imaging 2016, 43, 2324–2335. [Google Scholar] [CrossRef] [PubMed]
- Kaalep, A.; Burggraaff, C.N.; Pieplenbosch, S.; Verwer, E.E.; Sera, T.; Zijlstra, J.; Hoekstra, O.S.; Oprea-Lager, D.E.; Boellaard, R. Quantitative implications of the updated EARL 2019 PET-CT performance standards. EJNMMI Phys. 2019, 6, 28. [Google Scholar] [CrossRef] [PubMed]
- Aide, N.; Lasnon, C.; Veit-Haibach, P.; Sera, T.; Sattler, B.; Boellaard, R. EANM/EARL harmonization strategies in PET quantification: From daily practice to multicentre oncological studies. Eur. J. Nucl. Med. Mol. Imaging 2017, 44 (Suppl. S1), 17–31. [Google Scholar] [CrossRef]
- Aide, N.; Salomon, T.; Blanc-Fournier, C.; Grellard, J.M.; Levy, C.; Lasnon, C. Implications of reconstruction protocol for histo-biological characterisation of breast cancers using FDG-PET radiomics. EJNMMI Res. 2018, 8, 114. [Google Scholar] [CrossRef]
- Dai, W.; Luo, B.; Wu, Z.; Chen, J.; Feng, G.; Guan, P. A multi-center phase II study of nintedanib as second-line therapy for patients with advanced non-small-cell lung cancer in China. Am. J. Cancer Res. 2015, 5, 3270–3275. [Google Scholar]
- Dearden, S.; Stevens, J.; Wu, Y.L.; Blowers, D. Mutation incidence and coincidence in non small-cell lung cancer: Meta-analyses by ethnicity and histology (mutMap). Ann. Oncol. 2013, 24, 2371–2376. [Google Scholar] [CrossRef]
- Youlden, D.R.; Cramb, S.M.; Baade, P.D. The International Epidemiology of Lung Cancer: Geographical distribution and secular trends. J. Thorac. Oncol. 2008, 3, 819–831. [Google Scholar] [CrossRef]
- Swanton, C.; McGranahan, N.; Starrett, G.J.; Harris, R.S. APOBEC Enzymes: Mutagenic Fuel for Cancer Evolution and Heterogeneity. Cancer Discov. 2015, 5, 704–712. [Google Scholar] [CrossRef] [PubMed]
- Pelosi, G.; Pellegrinelli, A.; Fabbri, A.; Tamborini, E.; Perrone, F.; Settanni, G.; Busico, A.; Picciani, B.; Testi, M.A.; Militti, L.; et al. Deciphering intra-tumor heterogeneity of lung adenocarcinoma confirms that dominant, branching, and private gene mutations occur within individual tumor nodules. Virchows Arch. 2016, 468, 651–662. [Google Scholar] [CrossRef] [PubMed]
- Colomer, R.; Mondejar, R.; Romero-Laorden, N.; Alfranca, A.; Sanchez-Madrid, F.; Quintela-Fandino, M. When should we order a next generation sequencing test in a patient with cancer? EClinicalMedicine 2020, 25, 100487. [Google Scholar] [CrossRef] [PubMed]





| Training Group (n = 87) | Test Group (n = 22) | ||||
|---|---|---|---|---|---|
| Variable | Categories | Frequencies | % | Frequencies | % |
| Molecular alterations | None | 34 | 39.1 | 12 | 54.5 |
| At least one | 53 | 60.9 | 10 | 45.5 | |
| Gender | Female | 25 | 28.7 | 9 | 40.9 |
| Male | 62 | 71.3 | 13 | 59.1 | |
| Smoking history | No | 8 | 9.2 | 5 | 22.7 |
| Yes | 79 | 90.8 | 17 | 77.3 | |
| AJCC stage | I or II | 17 | 19.5 | 2 | 9.1 |
| III | 28 | 32.2 | 9 | 40.9 | |
| IV | 42 | 48.3 | 11 | 50.0 | |
| Variable | Min | Max | Mean | p Value * | Min | Max | Mean | p Value * |
|---|---|---|---|---|---|---|---|---|
| Shape parameters | ||||||||
| Compacity | TrueV | 0.735 | 8.699 | 2.401 | 0.492 | 7.707 | 3.058 | ||
| Compacity | Vereos | 1.311 | 11.225 | 4.439 | <0.0001 | 1.027 | 7.727 | 3.048 | 0.963 |
| GLCM parameters | ||||||||
| Variance | TrueV | 2.169 | 207.117 | 28.928 | 0.383 | 145.670 | 19.352 | ||
| Variance | Vereos | 1.019 | 60.837 | 10.932 | <0.0001 | −4.923 | 141.562 | 19.352 | 0.854 |
| Correlation | TrueV | 0.211 | 0.789 | 0.651 | 0.278 | 0.861 | 0.721 | ||
| Correlation | Vereos | 0.356 | 0.945 | 0.784 | <0.0001 | 0.305 | 0.879 | 0.721 | 0.892 |
| Dissimilarity | TrueV | 0.952 | 10.475 | 3.422 | 0.839 | 8.457 | 2.815 | ||
| Dissimilarity | Vereos | 0.715 | 6411 | 2.281 | 0.0002 | 0.685 | 8.429 | 2.815 | 0.839 |
| NGLDM parameters | ||||||||
| Coarseness | TrueV | 0.001 | 0.070 | 0.018 | −0.001 | 0.057 | 0.014 | ||
| Coarseness | Vereos | 0.000 | 0.054 | 0.009 | 0.001 | 0.002 | 0.070 | 0.014 | 0.674 |
| Contrast | TrueV | 0.014 | 0.878 | 0.198 | 0.000 | 0.664 | 0.141 | ||
| Contrast | Vereos | 0.008 | 0.618 | 0.091 | <0.0001 | 0.014 | 0.942 | 0.141 | 0.774 |
| GLZLM parameters | ||||||||
| SZE | TrueV | 0.229 | 0.775 | 0.536 | 0.211 | 0.723 | 0.499 | ||
| SZE | Vereos | 0.230 | 0.704 | 0.466 | 0.0004 | 0.252 | 0.748 | 0.499 | 0.802 |
| LZE | TrueV | 4.368 | 18,386.635 | 1127.261 | −13,631.716 | 635,105.336 | 25,996.822 | ||
| LZE | Vereos | 3.600 | 1,191,735.375 | 47,864.883 | <0.0001 | −8620.105 | 853,331.114 | 25,996.822 | 0.0002 |
| LGZE | TrueV | 0.004 | 0.225 | 0.034 | 0.002 | 0.166 | 0.024 | ||
| LGZE | Vereos | 0.001 | 0.087 | 0.016 | <0.0001 | −0.001 | 0.148 | 0.024 | 0.631 |
| SZLGE | TrueV | 0.003 | 0.103 | 0.013 | 0.002 | 0.076 | 0.010 | ||
| SZLGE | Vereos | 0.001 | 0.045 | 0.007 | <0.0001 | −0.001 | 0.080 | 0.010 | 0.353 |
| LZHGE | TrueV | 666.714 | 1,258,030.400 | 50,296.736 | −155,560.617 | 43,339,050.699 | 156,236.634 | ||
| LZHGE | Vereos | 1793.265 | 55,736,935.663 | 2,889,821.717 | <0.0001 | −527,621.307 | 39,784,583.618 | 1,561,236.634 | <0.0001 |
| ZP | TrueV | 0.033 | 0.616 | 0.255 | −0.014 | 0.537 | 0.196 | ||
| ZP | Vereos | 0.007 | 0.625 | 0.144 | <0.0001 | 0.054 | 0.695 | 0.196 | 0.839 |
| Variables | Age | ExcessKurtosis_ HISTO | Sphericity_SHAPE | Variance_GLCM | Correlation_GLCM | LZE_ GLZLM | GLNU_GLZLM |
|---|---|---|---|---|---|---|---|
| Age | 1 | −0.176 | 0.059 | −0.105 | 0.067 | 0.169 | 0.083 |
| ExcessKurtosis_ HISTO | −0.176 | 1 | −0.344 | −0.369 | −0.075 | 0.401 | −0.232 |
| Sphericity_SHAPE | 0.059 | −0.344 | 1 | 0.212 | −0.318 | −0.307 | −0.367 |
| Variance_GLCM | −0.105 | −0.369 | 0.212 | 1 | −0.153 | −0.702 | 0.167 |
| Correlation_GLCM | 0.067 | −0.075 | −0.318 | −0.153 | 1 | 0.362 | 0.574 |
| LZE_ GLZLM | 0.169 | 0.401 | −0.307 | −0.702 | 0.362 | 1 | 0.263 |
| GLNU_GLZLM | 0.083 | −0.232 | −0.367 | 0.167 | 0.574 | 0.263 | 1 |
| Variables | ExcessKurtosis_ HISTO | Sphericity_SHAPE | Variance_GLCM | Correlation_GLCM | LZE_ GLZLM | GLNU_GLZLM | |
|---|---|---|---|---|---|---|---|
| Sex, mean (SD) | Females (n = 25) | 1.849 (4.830) | 0.904 (0.096) | 20.010 (30.118) | 0.743 (0.104) | 35343.472 (133495.181) | 19.109 (23.159) |
| Males (n = 62) | 0.967 (3.213) | 0.936 (0.094) | 20.979 (25.708) | 0.722 (0.113) | 30955.319 (145426.809) | 44.254 (80.101) | |
| p value | 0.685 | 0.140 | 0.611 | 0.453 | 0.476 | 0.748 | |
| Smoking history, mean (SD) | No (n = 8) | −0.270 (0.653) | 0.930 (0.078) | 19.039 (15.733) | 0.744 (0.083) | −4966.920 (9276.960) | 26.023 (27.943) |
| Yes (n = 79) | 1.372 (3.891) | 0.927 (0.097) | 20.869 (27.814) | 0.726 (0.113) | 35981.670 (147862.953) | 38.143 (72.412) | |
| p value | 0.260 | 0.891 | 0.670 | 0.903 | 0.608 | 0.812 | |
| AJCC stage, mean (SD) | I (n = 5) | 4.180 (7.410) | 0.969 (0.090) | 14.265 (22.681) | 0.574 (0.151) | −6434.922 (2239.339) | 2.494 (1.497) |
| II (n = 12) | 1.271 (3.842) | 0.886 (0.083) | 15.924 (15.299) | 0.755 (0.095) | −6371.951 (8811.401) | 44.015 (57.732) | |
| III (n = 28) | 0.426 (2.868) | 0.950 (0.084) | 21.956 (30.266) | 0.736 (0.120) | 29371.230 (119,758.438) | 41.815 (62.151) | |
| IV (n = 42) | 1.384 (3.619) | 0.918 (0.102) | 21.995 (27.999) | 0.733 (0.091) | 49,739.528 (17,7486.562) | 35.952 (80.746) | |
| p value | 0.092 | 0.186 | 0.862 | 0.066 | 0.329 | 0.195 |
Publisher’s Note: MDPI stays neutral with regard to jurisdictional claims in published maps and institutional affiliations. |
© 2022 by the authors. Licensee MDPI, Basel, Switzerland. This article is an open access article distributed under the terms and conditions of the Creative Commons Attribution (CC BY) license (https://creativecommons.org/licenses/by/4.0/).
Share and Cite
Aide, N.; Weyts, K.; Lasnon, C. Prediction of the Presence of Targetable Molecular Alteration(s) with Clinico-Metabolic 18 F-FDG PET Radiomics in Non-Asian Lung Adenocarcinoma Patients. Diagnostics 2022, 12, 2448. https://doi.org/10.3390/diagnostics12102448
Aide N, Weyts K, Lasnon C. Prediction of the Presence of Targetable Molecular Alteration(s) with Clinico-Metabolic 18 F-FDG PET Radiomics in Non-Asian Lung Adenocarcinoma Patients. Diagnostics. 2022; 12(10):2448. https://doi.org/10.3390/diagnostics12102448
Chicago/Turabian StyleAide, Nicolas, Kathleen Weyts, and Charline Lasnon. 2022. "Prediction of the Presence of Targetable Molecular Alteration(s) with Clinico-Metabolic 18 F-FDG PET Radiomics in Non-Asian Lung Adenocarcinoma Patients" Diagnostics 12, no. 10: 2448. https://doi.org/10.3390/diagnostics12102448
APA StyleAide, N., Weyts, K., & Lasnon, C. (2022). Prediction of the Presence of Targetable Molecular Alteration(s) with Clinico-Metabolic 18 F-FDG PET Radiomics in Non-Asian Lung Adenocarcinoma Patients. Diagnostics, 12(10), 2448. https://doi.org/10.3390/diagnostics12102448

