Clinical Application of Cardiac Magnetic Resonance in ART-Treated AIDS Males with Short Disease Duration
Abstract
1. Introduction
2. Materials and Methods
2.1. Study Population
2.2. CMR Scanning Protocol and Imaging Postprocessing
2.3. Data Analyses
2.4. Statistical Analysis
3. Results
3.1. Baseline Characteristics
3.2. Comparison between the AIDS Group and the Healthy Control Group
3.3. Subgroup Analysis According to CD4+ T-Cell Counts
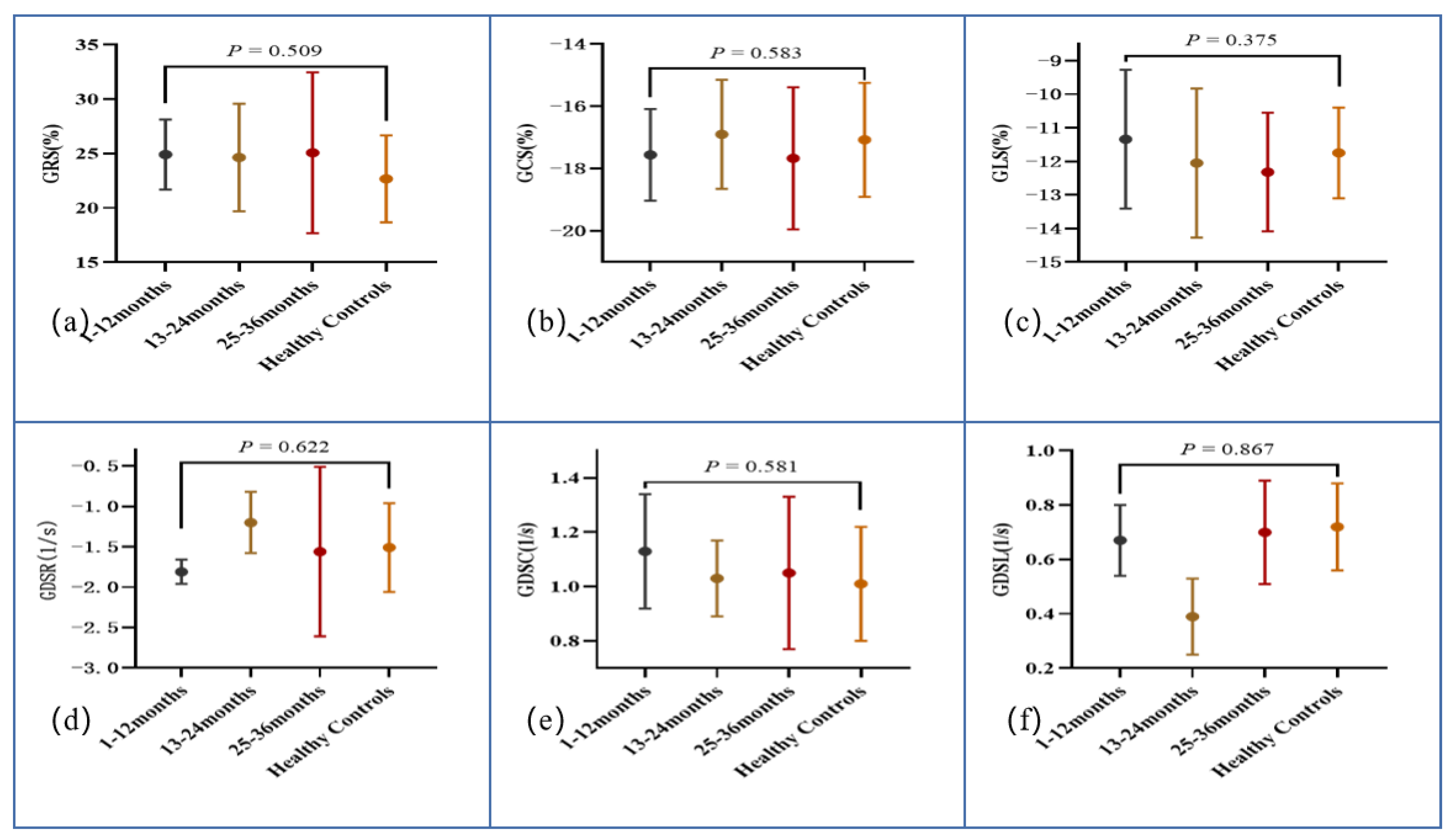
3.4. Subgroup Analysis According to Disease Duration
3.5. Correlation Analysis
4. Discussion
5. Conclusions
Author Contributions
Funding
Institutional Review Board Statement
Informed Consent Statement
Data Availability Statement
Conflicts of Interest
References
- De Filippi, C.R.; Grinspoon, S.K. Myocardial Dysfunction With Contemporary Management of HIV: Prevalence, Pathophysiology, and Opportunities for Prevention. JACC Heart Fail. 2019, 7, 109–111. [Google Scholar] [CrossRef]
- Anderson, D.W.; Virmani, R.; Reilly, J.M.; O’Leary, T.; Cunnion, R.E.; Robinowitz, M.; Macher, A.M.; Punja, U.; Villaflor, S.T.; Parrillo, J.E. Prevalent myocarditis at necropsy in the acquired immunodeficiency syndrome. J. Am. Coll. Cardiol. 1988, 11, 792–799. [Google Scholar] [CrossRef]
- D’Amati, G.; di Gioia, C.R.; Gallo, P. Pathological findings of HIV-associated cardiovascular disease. Ann. N. Y. Acad. Sci. 2001, 946, 23–45. [Google Scholar] [CrossRef]
- Lewis, W. AIDS: Cardiac findings from 115 autopsies. Prog. Cardiovasc. Dis. 1989, 32, 207–215. [Google Scholar] [CrossRef]
- Islam, F.M.; Wu, J.; Jansson, J.; Wilson, D.P. Relative risk of cardiovascular disease among people living with HIV: A systematic review and meta-analysis. HIV Med. 2012, 13, 453–468. [Google Scholar] [CrossRef]
- Shah, A.S.; Stelzle, D.; Lee, K.K.; Beck, E.J.; Alam, S.; Clifford, S.; Longenecker, C.T.; Strachan, F.; Bagchi, S.; Whiteley, W.; et al. Global burden of atherosclerotic cardiovascular disease in people living with HIV. Circulation 2018, 138, 1100–1112. [Google Scholar] [CrossRef] [PubMed]
- Wu, K.C.; Woldu, B.; Post, W.S.; Hays, A.G. Prevention of heart failure, tachyarrhythmias and sudden cardiac death in HIV. Curr. Opin. HIV AIDS 2022, 17, 261–269. [Google Scholar] [CrossRef] [PubMed]
- BMJ Publishing Group. Heart disease is the next hurdle for HIV positive Africans surviving concurrent infection. Sex. Transm. Infect. 2003, 79, 219. [Google Scholar] [CrossRef]
- Ntusi, N.; O’Dwyer, E.; Dorrell, L.; Wainwright, E.; Piechnik, S.; Clutton, G.; Hancock, G.; Ferreira, V.; Cox, P.; Badri, M.; et al. HIV-1-Related Cardiovascular Disease Is Associated With Chronic Inflammation, Frequent Pericardial Effusions, and Probable Myocardial Edema. Circ. Cardiovasc. Imaging 2016, 9, e004430. [Google Scholar] [CrossRef]
- Holloway, C.J.; Ntusi, N.; Suttie, J.; Mahmod, M.; Wainwright, E.; Clutton, G.; Hancock, G.; Beak, P.; Tajar, A.; Piechnik, S.K.; et al. Comprehensive cardiac magnetic resonance imaging and spectroscopy reveal a high burden of myocardial disease in HIV patients. Circulation 2013, 128, 814–822. [Google Scholar] [CrossRef]
- Soon, G.G.; Min, M.; Struble, K.A.; Chan-Tack, K.M.; Hammerstrom, T.; Qi, K.; Zhou, S.; Bhore, R.; Murray, J.S.; Birnkrant, D.B. Meta-analysis of gender differences in efficacy outcomes for HIV-positive subjects in randomized controlled clinical trials of antiretroviral therapy (2000–2008). AIDS Patient Care STDS 2012, 26, 444–453. [Google Scholar] [CrossRef] [PubMed]
- O’Neil, A.; Scovelle, A.J.; Milner, A.J.; Kavanagh, A. Gender/Sex as a Social Determinant of Cardiovascular Risk. Circulation 2018, 137, 854–864. [Google Scholar] [CrossRef] [PubMed]
- Hariri, S.; McKenna, M.T. Epidemiology of human immunodeficiency virus in the United States. Clin. Microbiol. Rev. 2007, 20, 478–488. [Google Scholar] [CrossRef]
- NCAIDS; NCSTD; China CDC. Update on the AIDS/STD epidemic in China in December 2017. Chin. J. AIDS STD 2018, 24, 111. [Google Scholar] [CrossRef]
- Reinsch, N.; Buhr, C.; Krings, P.; Kaelsch, H.; Kahlert, P.; Konorza, T.; Neumann, T.; Erbel, R.; Competence Network of Heart Failure. Effect of gender and highly active antiretroviral therapy on HIV-related pulmonary arterial hypertension: Results of the HIV-HEART Study. HIV Med. 2008, 9, 550–556. [Google Scholar] [CrossRef] [PubMed]
- Ten Freyhaus, H.; Vogel, D.; Lehmann, C.; Kümmerle, T.; Wyen, C.; Fätkenheuer, G.; Rosenkranz, S. Echocardiographic screening for pulmonary arterial hypertension in HIV-positive patients. Infection 2014, 42, 737–741. [Google Scholar] [CrossRef]
- Snopková, S.; Husa, P. Metabolický syndrom u onemocnìní HIV/AIDS [Metabolic syndrome and HIV/AIDS disorder]. Klin. Mikrobiol. A Infekcni Lek. 2006, 12, 108–116. [Google Scholar]
- De Leuw, P.; Arendt, C.T.; Haberl, A.E.; Froadinadl, D.; Kann, G.; Wolf, T.; Stephan, C.; Schuettfort, G.; Vasquez, M.; Arcari, L.; et al. Myocardial Fibrosis and Inflammation by CMR Predict Cardiovascular Outcome in People Living With HIV. JACC Cardiovasc. Imaging 2021, 14, 1548–1557. [Google Scholar] [CrossRef]
- Kalam, K.; Otahal, P.; Marwick, T.H. Prognostic implications of global LV dysfunction: A systematic review and meta-analysis of global longitudinal strain and ejection fraction. Heart 2014, 100, 1673–1680. [Google Scholar] [CrossRef] [PubMed]
- Andre, F.; Steen, H.; Matheis, P.; Westkott, M.; Breuninger, K.; Sander, Y.; Kammerer, R.; Galuschky, C.; Giannitsis, E.; Korosoglou, G.; et al. Age- and gender-related normal left ventricular deformation assessed by cardiovascular magnetic resonance feature tracking. J. Cardiovasc. Magn. Reson. 2015, 17, 25. [Google Scholar] [CrossRef]
- Luetkens, J.A.; Doerner, J.; Schwarze-Zander, C.; Wasmuth, J.C.; Boesecke, C.; Sprinkart, A.M.; Schmeel, F.C.; Homsi, R.; Gieseke, J.; Schild, H.H.; et al. Cardiac Magnetic Resonance Reveals Signs of Subclinical Myocardial Inflammation in Asymptomatic HIV-Infected Patients. Circ. Cardiovasc. Imaging 2016, 9, e004091. [Google Scholar] [CrossRef] [PubMed]
- McCrary, A.W.; Nyandiko, W.M.; Ellis, A.M.; Chakraborty, H.; Muehlbauer, M.J.; Koech, M.M.; Daud, I.; Birgen, E.; Thielman, N.M.; Kisslo, J.A.; et al. Early cardiac dysfunction in children and young adults with perinatally acquired HIV. AIDS 2020, 34, 539–548. [Google Scholar] [CrossRef] [PubMed]
- Hansen, L.; Parker, I.; Roberts, L.M.; Sutliff, R.L.; Platt, M.O.; Gleason, R.L., Jr. Azidothymidine (AZT) leads to arterial stiffening and intima-media thickening in mice. J. Biomech. 2013, 46, 1540–1547. [Google Scholar] [CrossRef] [PubMed]
- Ho, J.E.; Deeks, S.G.; Hecht, F.M.; Xie, Y.; Schnell, A.; Martin, J.N.; Ganz, P.; Hsue, P.Y. Initiation of antiretroviral therapy at higher nadir CD4+ T-cell counts is associated with reduced arterial stiffness in HIV-infected individuals. AIDS 2010, 24, 1897–1905. [Google Scholar] [CrossRef]
- Volpe, G.E.; Tang, A.M.; Polak, J.F.; Mangili, A.; Skinner, S.C.; Wanke, C.A. Progression of carotid intima-media thickness and coronary artery calcium over 6 years in an HIV-infected cohort. J. Acquir. Immune Defic. Syndr. 2013, 64, 51–57. [Google Scholar] [CrossRef]
- Maloberti, A.; Giannattasio, C.; Dozio, D.; Betelli, M.; Villa, P.; Nava, S.; Cesana, F.; Facchetti, R.; Giupponi, L.; Castagna, F.; et al. Metabolic syndrome in human immunodeficiency virus-positive subjects: Prevalence, phenotype, and related alterations in arterial structure and function. Metab. Syndr. Relat. Disord. 2013, 11, 403–411. [Google Scholar] [CrossRef]
- Hansen, L.; Parker, I.; Sutliff, R.L.; Platt, M.O.; Gleason, R.L., Jr. Endothelial dysfunction, arterial stiffening, and intima-media thickening in large arteries from HIV-1 transgenic mice. Ann. Biomed. Eng. 2013, 41, 682–693. [Google Scholar] [CrossRef] [PubMed]
- Calza, L.; Manfredi, R.; Colangeli, V.; Trapani, F.F.; Salvadori, C.; Magistrelli, E.; Danese, I.; Verucchi, G.; Serra, C.; Viale, P. Two-year treatment with rosuvastatin reduces carotid intima-media thickness in HIV type 1-infected patients receiving highly active antiretroviral therapy with asymptomatic atherosclerosis and moderate cardiovascular risk. AIDS Res. Hum. Retrovir. 2013, 29, 547–556. [Google Scholar] [CrossRef] [PubMed]
- Ferraioli, G.; Tinelli, C.; Maggi, P.; Gervasoni, C.; Grima, P.; Viskovic, K.; Carerj, S.; Filice, G.; Filice, C.; Arterial Stiffness Evaluation in HIV-Infected Subjects Study Group. Arterial stiffness evaluation in HIV-positive patients: A multicenter matched control study. AJR Am. J. Roentgenol. 2011, 197, 1258–1262. [Google Scholar] [CrossRef]
- Cristofaro, M.; Cicalini, S.; Busi Rizzi, E.; Schininà, V.; Petrosillo, N.; Bibbolino, C. Ultrasonography in lesions of the carotid vessels in HIV positive patients. Radiol. Med. 2011, 116, 61–70. [Google Scholar] [CrossRef] [PubMed]
- Stöbe, S.; Tayal, B.; Tünnemann-Tarr, A.; Hagendorff, A. Dynamics in myocardial deformation as an indirect marker of myocardial involvement in acute myocarditis due to HIV infection: A case report. Eur. Heart J. Case Rep. 2021, 5, ytaa511. [Google Scholar] [CrossRef] [PubMed]
- Yan, C.; Li, R.; Guo, X.; Yu, H.; Li, W.; Li, W.; Ren, M.; Yang, M.; Li, H. Cardiac Involvement in Human Immunodeficiency Virus Infected Patients: An Observational Cardiac Magnetic Resonance Study. Front. Cardiovasc. Med. 2021, 8, 756162. [Google Scholar] [CrossRef] [PubMed]
- DAD Study Group; Friis-Møller, N.; SReiss, P.; VSabin, C.A.; VWeber, R.; Monforte Ad El-Sadr, W.; Thiébaut, R.; VDe Wit, S.; Kirk, O.; Fontas, E.; et al. Class of antiretroviral drugs and the risk of myocardial infarction. N. Engl. J. Med. 2007, 356, 1723–1735. [Google Scholar] [CrossRef]
- Blanco, F.; San Román, J.; Vispo, E.; López, M.; Salto, A.; Abad, V.; Soriano, V. Management of metabolic complications and cardiovascular risk in HIV-infected patients. AIDS Rev. 2010, 12, 231–241. [Google Scholar]
- Barbaro, G.; Fisher, S.D.; Lipshultz, S.E. Pathogenesis of HIV-associated cardiovascular complications. Lancet Infect Dis. 2001, 1, 115–124, Erratum in Lancet Infect Dis. 2004, 4, 533. [Google Scholar] [CrossRef]
- Chaves, A.A.; Mihm, M.J.; Schanbacher, B.L.; Basuray, A.; Liu, C.; Ayers, L.W.; Bauer, J.A. Cardiomyopathy in a murine model of AIDS: Evidence of reactive nitrogen species and corroboration in human HIV/AIDS cardiac tissues. Cardiovasc. Res. 2003, 60, 108–118. [Google Scholar] [CrossRef]




| Characteristics | AIDS Males (n = 37) | Healthy Controls (n = 18) | p-Value |
|---|---|---|---|
| General Characteristics | |||
| Age, y | 37.62 ± 11.10 | 39.56 ± 11.24 | 0.549 |
| Body mass index, kg/m2 | 21.88 ± 3.99 | 23.57 ± 2.53 | 0.106 |
| Systolic BP, mmHg | 126.41 ± 11.37 | 127.44 ± 10.03 | 0.743 |
| Diastolic BP, mmHg | 81.19 ± 6.79 | 83.11 ± 4.390 | 0.280 |
| Electrocardiogram | negative | ||
| Risk for HIV infection | |||
| Heterosexual, % | 19 (51.35) | MSM, % | 14 (37.84) |
| IVDU, % | 2 (5.41) | Other, % | 2 (5.41) |
| Complication for AIDS patients | |||
| Diabetes, % | 0 (0.00) | Cardiovascular disease, % | 0 (0.00) |
| Granulocytopenia, % | 3 (8.11) | Metabolic syndrome, % | 10 (27.03) |
| Erythra, % | 1 (2.70) | Oral fungal infections, % | 2 (5.41) |
| Pneumonia, % | 9 (24.32) | HBV co-infection, % | 3 (8.11) |
| HCV co-infection, % | 2 (5.41) | Liver dysfunction, % | 22 (59.46) |
| Renal dysfunction, % | 1 (2.70) | Tuberculosis, % | 6 (16.22) |
| Syphilis, % | 5 (13.51) | malignant tumor, % | 0 (0.00) |
| Plasma metabolites in AIDS patients | |||
| TSHD, months | 20.58 ± 3.72 | CD4+ T-cell counts, cells/µL | 358.21 ± 57.41 |
| Total duration of ART, % | 37 (100.00%) | CHOL, mmol/L | 4.57 ± 0.68 |
| Hs-cTnT < 3.00, ng/mL, % | 37 (100.00%) | CK-MB, ng/mL | 0.52 ± 0.14 |
| Myo < 21.00, ng/mL, % | 37 (100.00%) | TG, mmol/L | 1.58 ± 0.11 |
| CK-MB, μL | 21.45 ± 2.79 | LDH, μL | 187.06 ± 19.56 |
| HBDH, μL | 159.72 ± 21.34 | CK, μL | 80.19 ± 5.83 |
| Cardiac Function | ART-Treated AIDS Males (n = 37) | Healthy Controls (n = 18) | p-Value |
|---|---|---|---|
| LVEDV (mL) | 122.79 ± 21.95 | 124.39 ± 26.18 | 0.706 |
| LVESV (mL) | 47.35 ± 9.30 | 49.73 ± 13.29 | 0.603 |
| LVSV (mL) | 75.43 ± 15.72 | 74.67 ± 15.26 | 0.816 |
| LVEF (%) | 61.75 ± 4.90 | 60.33 ± 4.66 | 0.307 |
| LVM (g) | 78.14 ± 15.41 | 85.26 ± 15.13 | 0.053 |
| LVRI (mL/g) | 1.59 ± 0.24 | 1.48 ± 0.27 | 0.200 |
| RVEDV (mL) | 127.78 ± 26.31 | 127.09 ± 24.34 | 0.802 |
| RVESV (mL) | 62.22 ± 18.77 | 62.01 ± 11.72 | 0.957 |
| RVSV (mL) | 65.56 ± 14.06 | 65.08 ± 17.38 | 0.513 |
| RVEF (%) | 51.94 ± 8.75 | 50.89 ± 6.08 | 0.872 |
| LVEDVi (mL/m2) | 68.44 ± 14.84 | 65.83 ± 12.55 | 0.720 |
| LVESVi (mL/m2) | 26.39 ± 6.13 | 26.31 ± 6.64 | 0.914 |
| LVSVi (mL/m2) | 42.05 ± 10.13 | 39.53 ± 7.29 | 0.484 |
| LVMi (g/m2) | 43.37 ± 8.98 | 45.01 ± 6.34 | 0.236 |
| RVEDVi (mL/m2) | 71.29 ± 17.19 | 67.41 ± 12.19 | 0.554 |
| RVESVi (mL/m2) | 34.74 ± 11.53 | 32.95 ± 6.29 | 0.788 |
| RVSVi (mL/m2) | 36.55 ± 8.97 | 34.46 ± 8.57 | 0.441 |
| GRS (%) | 24.89 ± 5.60 | 22.67 ± 4.00 | 0.216 |
| GCS (%) | −17.39 ± 1.90 | −17.08 ± 1.83 | 0.518 |
| GLS (%) | −17.97 ± 1.99 | −11.75 ± 1.35 | 0.375 |
| BRS (%) | 31.23 ± 6.99 | 30.75 ± 7.26 | 0.693 |
| BCS (%) | −14.69 ± 2.20 | −14.58 ± 1.78 | 0.673 |
| BLS (%) | −8.73 ± 2.94 | −8.86 ± 2.24 | 0.851 |
| MRS (%) | 24.89 ± 5.67 | 20.12 ± 5.08 | 0.360 |
| MCS (%) | −17.30 ± 2.09 | −16.44 ± 2.40 | 0.159 |
| MLS (%) | −11.90 ± 2.82 | −11.33 ± 2.29 | 0.216 |
| ARS (%) | 25.00 ± 10.02 | 20.94 ± 9.86 | 0.441 |
| ACS (%) | −20.30 ± 2.95 | −20.48 ± 2.70 | 0.693 |
| ALS (%) | −14.65 ± 1.46 | −14.62 ± 1.60 | 0.425 |
| BDSR (1/s) | −2.43 ± 0.77 | −2.05 ± 0.48 | 0.060 |
| BDSC (1/s) | 0.91 ± 0.19 | 0.92 ± 0.22 | 0.828 |
| BDSL (1/s) | 0.49 ± 0.43 | 0.62 ± 0.22 | 0.206 |
| MDSR (1/s) | −1.57 ± 0.42 | −1.40 ± 0.53 | 0.215 |
| MDSC (1/s) | 1.58 ± 0.24 | 1.02 ± 0.29 | 0.066 |
| MDSL (1/s) | 0.74 ± 0.17 | 0.76 ± 1.67 | 0.663 |
| ADSR (1/s) | −2.06 ± 1.10 | −1.84 ± 1.14 | 0.504 |
| ADSC (1/s) | 1.44 ± 0.40 | 1.37 ± 0.37 | 0.500 |
| ADSL (1/s) | 0.88 ± 0.17 | 0.85 ± 0.15 | 0.532 |
| GDSR (1/s) | −1.67 ± 0.67 | −1.51 ± 0.55 | 0.368 |
| GDSC (1/s) | 1.07 ± 0.22 | 1.01 ± 0.21 | 0.360 |
| GDSL (1/s) | 0.69 ± 0.16 | 0.72 ± 0.16 | 0.459 |
| Cardiac Function | CD4 < 350 cells/μL (n = 17) | CD4 ≥ 350 cells/μL (n = 20) | Healthy Controls (n = 18) | p-Value |
|---|---|---|---|---|
| LVEDV (mL) | 117.04 ± 17.23 | 127.67 ± 24.66 | 124.39 ± 26.18 | 0.376 |
| LVESV (mL) | 46.14 ± 5.54 | 48.38 ± 11.65 | 49.73 ± 13.29 | 0.616 |
| LVSV (mL) | 70.89 ± 16.38 | 79.29 ± 14.42 | 74.67 ± 15.26 | 0.256 |
| LVEF (%) | 61.10 ± 6.18 | 62.30 ± 3.55 | 60.33 ± 4.66 | 0.456 |
| LVM (g) | 76.60 ± 12.60 | 79.44 ± 17.67 | 85.26 ± 15.13 | 0.245 |
| LVRI (mL/g) | 1.54 ± 0.19 | 1.64 ± 0.27 | 1.48 ± 0.27 | 0.151 |
| RVEDV (mL) | 125.18 ± 23.00 | 130.00 ± 29.24 | 127.09 ± 24.34 | 0.849 |
| RVESV (mL) | 61.76 ± 15.40 | 62.62 ± 21.63 | 62.01 ± 11.72 | 0.987 |
| RVSV (mL) | 63.42 ± 13.00 | 67.38 ± 14.99 | 65.08 ± 17.38 | 0.730 |
| RVEF (%) | 51.07 ± 8.63 | 52.67 ± 9.01 | 50.89 ± 6.08 | 0.754 |
| LVEDVi (mL/m2) | 64.81 ± 10.31 | 71.52 ± 17.49 | 65.83 ± 12.55 | 0.290 |
| LVESVi (mL/m2) | 25.48 ± 2.80 | 27.16 ± 7.96 | 26.31 ± 6.64 | 0.722 |
| LVSVi (mL/m2) | 39.33 ± 9.68 | 44.36 ± 10.16 | 39.53 ± 7.29 | 0.169 |
| LVMi (g/m2) | 42.25 ± 6.00 | 44.32 ± 10.97 | 45.01 ± 6.34 | 0.593 |
| RVEDVi (mL/m2) | 69.40 ± 13.86 | 72.90 ± 19.81 | 67.41 ± 12.19 | 0.560 |
| RVESVi (mL/m2) | 34.19 ± 8.69 | 35.21 ± 13.71 | 32.95 ± 6.29 | 0.794 |
| RVSVi (mL/m2) | 35.21 ± 7.98 | 37.69 ± 9.79 | 34.46 ± 8.57 | 0.504 |
| GRS (%) | 23.57 ± 3.96 | 26.01 ± 6.57 | 22.67 ± 4.00 | 0.120 |
| GCS (%) | −17.32 ± 1.70 | −17.45 ± 2.10 | −17.08 ± 1.83 | 0.832 |
| GLS (%) | −11.73 ± 2.21 | −12.17 ± 1.82 | −11.75 ± 1.35 | 0.705 |
| BRS (%) | 29.27 ± 6.11 | 32.89 ± 7.40 | 30.75 ± 7.26 | 0.292 |
| BCS (%) | −14.74 ± 2.29 | −14.64 ± 2.19 | −14.58 ± 1.78 | 0.973 |
| BLS (%) | −8.77 ± 2.92 | −8.70 ± 3.03 | −8.86 ± 2.24 | 0.984 |
| MRS (%) | 21.13 ± 4.55 | 22.53 ± 6.53 | 20.12 ± 5.08 | 0.404 |
| MCS (%) | −16.93 ± 1.82 | −17.62 ± 2.30 | −16.44 ± 2.40 | 0.262 |
| MLS (%) | −11.43 ± 3.45 | −12.31 ± 2.17 | −11.33 ± 2.29 | 0.467 |
| ARS (%) | 23.67 ± 6.41 | 26.13 ± 12.37 | 20.94 ± 9.86 | 0.288 |
| ACS (%) | −20.54 ± 2.64 | −20.09 ± 3.25 | −20.48 ± 2.70 | 0.877 |
| ALS (%) | −14.31 ± 1.45 | −14.95 ± 1.43 | −14.62 ± 1.60 | 0.441 |
| BDSR (1/s) | −2.28 ± 0.60 | −2.55 ± 0.88 | −2.05 ± 0.48 | 0.088 |
| BDSC (1/s) | 0.94 ± 0.20 | 0.88 ± 0.19 | 0.92 ± 0.22 | 0.686 |
| BDSL (1/s) | 0.60 (0.49, 0.68) | 0.58 (−0.06, 0.64) | 0.59 (0.46, 0.72) | 0.067 |
| MDSR (1/s) | −1.52 ± 0.39 | −1.61 ± 0.45 | −1.40 ± 0.53 | 0.402 |
| MDSC (1/s) | 1.09 ± 0.19 | 1.21 ± 0.26 | 1.02 ± 0.29 | 0.063 |
| MDSL (1/s) | 0.70 ± 0.14 | 0.77 ± 0.19 | 0.76 ± 1.67 | 0.406 |
| ADSR (1/s) | −1.98 ± 0.68 | −2.12 ± 1.37 | −1.84 ± 1.14 | 0.745 |
| ADSC (1/s) | 1.39 ± 0.36 | 1.49 ± 0.44 | 1.37 ± 0.37 | 0.581 |
| ADSL (1/s) | 0.85 ± 0.16 | 0.91 ± 0.18 | 0.85 ± 0.15 | 0.426 |
| GDSR (1/s) | −1.68 ± 0.44 | −1.67 ± 0.84 | −1.51 ± 0.55 | 0.669 |
| GDSC (1/s) | 1.02 ± 0.20 | 1.11 ± 0.23 | 1.01 ± 0.21 | 0.294 |
| GDSL (1/s) | 0.67 ± 0.11 | 0.70 ± 0.19 | 0.72 ± 0.16 | 0.677 |
| Cardiac Function | 1–12 Months (n = 10) | 13–24 Months (n = 12) | 25–36 Months (n = 15) | Healthy Controls (n = 18) | p-Value |
|---|---|---|---|---|---|
| LVEDV (mL) | 116.12 ± 15.77 | 131.62 ± 25.00 | 120.16 ± 21.96 | 124.39 ± 26.18 | 0.496 |
| LVESV (mL) | 48.37 ± 5.76 | 48.67 ± 11.35 | 45.62 ± 9.72 | 49.73 ± 13.29 | 0.671 |
| LVSV (mL) | 67.75 ± 13.07 | 82.95 ± 16.12 | 74.55 ± 15.16 | 74.67 ± 15.26 | 0.176 |
| LVEF (%) | 58.05 ± 4.75 | 62.75 ± 3.38 | 63.41 ± 4.97 | 60.33 ± 4.66 | 0.050 |
| LVM (g) | 79.72 ± 14.86 | 79.69 ± 19.35 | 75.85 ± 12.84 | 85.26 ± 15.13 | 0.232 |
| LVRI (mL/g) | 1.48 ± 0.21 | 1.68 ± 0.23 | 1.60 ± 0.25 | 1.48 ± 0.27 | 0.171 |
| RVEDV (mL) | 121.65 ± 26.58 | 139.47 ± 28.33 | 122.52 ± 22.84 | 127.09 ± 24.34 | 0.398 |
| RVESV (mL) | 61.33 ± 18.59 | 67.36 ± 16.62 | 58.71 ± 20.76 | 62.01 ± 11.72 | 0.524 |
| RVSV (mL) | 60.32 ± 12.83 | 72.12 ± 17.40 | 63.81 ± 10.25 | 65.08 ± 17.38 | 0.334 |
| RVEF (%) | 50.24 ± 8.77 | 51.72 ± 6.78 | 52.23 ± 10.37 | 50.89 ± 6.08 | 0.709 |
| LVEDVi (mL/m2) | 65.05 ± 11.69 | 73.09 ± 16.82 | 66.97 ± 15.06 | 65.83 ± 12.55 | 0.661 |
| LVESVi (mL/m2) | 27.03 ± 4.11 | 27.01 ± 7.20 | 25.47 ± 6.61 | 26.31 ± 6.64 | 0.807 |
| LVSVi (mL/m2) | 38.02 ± 8.80 | 46.09 ± 10.82 | 41.50 ± 9.81 | 39.53 ± 7.29 | 0.254 |
| LVMi (g/m2) | 44.30 ± 7.46 | 44.15 ± 11.63 | 42.12 ± 7.89 | 45.01 ± 6.34 | 0.571 |
| RVEDVi (mL/m2) | 68.02 ± 16.36 | 77.56 ± 18.61 | 68.47 ± 16.31 | 67.41 ± 12.19 | 0.482 |
| RVESVi (mL/m2) | 34.13 ± 10.50 | 37.58 ± 10.92 | 32.88 ± 12.91 | 32.95 ± 6.29 | 0.500 |
| RVSVi (mL/m2) | 33.88 ± 8.65 | 39.68 ± 10.49 | 35.58 ± 7.49 | 34.46 ± 8.57 | 0.453 |
| GRS (%) | 24.91 ± 3.22 | 24.64 ± 4.94 | 25.07 ± 7.39 | 22.67 ± 4.00 | 0.509 |
| GCS (%) | −17.56 ± 1.47 | −16.90 ± 1.75 | −17.67 ± 2.28 | −17.08 ± 1.83 | 0.583 |
| GLS (%) | −11.34 ± 2.07 | −12.05 ± 2.22 | −12.32 ± 1.77 | −11.75 ± 1.35 | 0.600 |
| BRS (%) | 28.39 ± 6.31 | 32.69 ± 8.56 | 31.95 ± 5.84 | 30.75 ± 7.26 | 0.527 |
| BCS (%) | −14.54 ± 1.76 | −13.54 ± 2.60 | −15.71 ± 1.71 | −14.58 ± 1.78 | 0.156 |
| BLS (%) | −8.03 ± 2.23 | −8.63 ± 3.41 | −9.28 ± 3.03 | −8.86 ± 2.24 | 0.809 |
| MRS (%) | 21.94 ± 3.74 | 22.51 ± 1.78 | 21.35 ± 7.07 | 20.12 ± 5.08 | 0.598 |
| MCS (%) | −17.39 ± 1.79 | −16.97 ± 1.78 | −17.51 ± 2.57 | −16.44 ± 2.40 | 0.543 |
| MLS (%) | −11.18 ± 3.23 | −11.83 ± 2.47 | −12.45 ± 2.89 | −11.33 ± 2.29 | 0.458 |
| ARS (%) | 26.87 ± 4.26 | 21.69 ± 7.91 | 26.40 ± 13.55 | 20.94 ± 9.86 | 0.405 |
| ACS (%) | −20.85 ± 2.67 | −20.00 ± 2.57 | −20.17 ± 3.57 | −20.48 ± 2.70 | 0.744 |
| ALS (%) | −14.26 ± 2.35 | −15.02 ± 1.66 | −14.62 ± 0.97 | −14.62 ± 1.60 | 0.814 |
| BDSR (1/s) | −2.22 ± 0.75 | −2.52 ± 0.85 | −2.49 ± 0.74 | −2.05 ± 0.48 | 0.198 |
| BDSC (1/s) | 0.96 ± 0.16 | 0.80 ± 0.17 | 0.96 ± 0.20 | 0.92 ± 0.219 | 0.122 |
| BDSL (1/s) | 0.60 (0.47, 0.69) | 0.52 (−0.06, 0.67) | 0.60 (0.51, 0.67) | 0.59 (0.46, 0.72) | 0.237 |
| MDSR (1/s) | −1.66 ± 0.34 | −1.56 ± 0.30 | −1.51 ± 0.55 | −1.40 ± 0.53 | 0.549 |
| MDSC (1/s) | 1.24 ± 0.22 | 1.10 ± 0.16 | 1.15 ± 0.29 | 1.02 ± 0.29 | 0.183 |
| MDSL (1/s) | 0.76 ± 0.16 | 0.72 ± 0.16 | 0.73 ± 0.19 | 0.76 ± 1.67 | 0.914 |
| ADSR (1/s) | −2.31 ± 0.63 | −1.75 ± 0.84 | −2.13 ± 1.47 | −1.84 ± 1.14 | 0.593 |
| ADSC (1/s) | 1.52 ± 0.48 | 1.41 ± 0.22 | 1.42 ± 0.46 | 1.37 ± 0.37 | 0.812 |
| ADSL (1/s) | 0.87 ± 0.15 | 0.88 ± 0.13 | 0.89 ± 0.22 | 0.85 ± 0.15 | 0.932 |
| GDSR (1/s) | −1.81 ± 0.15 | −1.72 ± 0.38 | −1.56 ± 1.05 | −1.51 ± 0.55 | 0.622 |
| GDSC (1/s) | 1.13 ± 0.21 | 1.03 ± 0.14 | 1.05 ± 0.28 | 1.01 ± 0.21 | 0.581 |
| GDSL (1/s) | 0.67 ± 0.13 | 0.39 ± 0.14 | 0.70 ± 0.19 | 0.72 ± 0.16 | 0.867 |
| Cardiac Function | CD4+ T-Cell Counts (Cells/ μL) | Cardiac Function | CD4+ T-Cell Counts (Cells/ μL) | ||
|---|---|---|---|---|---|
| r | p-Value | r | p-Value | ||
| LVEDV (mL) | 0.157 | 0.355 | BCS (%) | −0.156 | 0.358 |
| LVESV (mL) | 0.075 | 0.659 | BLS (%) | −0.086 | 0.614 |
| LVSV (mL) | 0.174 | 0.302 | MRS (%) | −0.059 | 0.727 |
| LVEF (%) | 0.102 | 0.546 | MCS (%) | 0.009 | 0.960 |
| LVM (g) | 0.110 | 0.518 | MLS (%) | −0.023 | 0.892 |
| LVRI (mL/g) | 0.025 | 0.883 | ARS (%) | 0.080 | 0.639 |
| RVEDV (mL) | 0.034 | 0.841 | ACS (%) | −0.078 | 0.645 |
| RVESV (mL) | 0.022 | 0.899 | ALS (%) | 0.014 | 0.937 |
| RVSV (mL) | 0.035 | 0.836 | BDSR (1/s) | 0.014 | 0.936 |
| RVEF (%) | 0.009 | 0.958 | BDSC (1/s) | −0.144 | 0.395 |
| LVEDVi (mL/m2) | 0.118 | 0.488 | BDSL (1/s) | −0.085 | 0.618 |
| LVESVi (mL/m2) | 0.062 | 0.714 | MDSR (1/s) | −0.069 | 0.684 |
| LVSVi (mL/m2) | 0.135 | 0.427 | MDSC (1/s) | 0.026 | 0.877 |
| LVMi (g/m2) | 0.143 | 0.397 | MDSL (1/s) | 0.013 | 0.941 |
| RVEDVi (mL/m2) | 0.027 | 0.875 | ADSR (1/s) | 0.091 | 0.591 |
| RVESVi (mL/m2) | 0.029 | 0.867 | ADSC (1/s) | 0.000 | 0.999 |
| RVSVi (mL/m2) | 0.015 | 0.931 | ADSL (1/s) | 0.041 | 0.810 |
| GRS (%) | 0.046 | 0.787 | GDSR (1/s) | −0.009 | 0.959 |
| GCS (%) | −0.072 | 0.670 | GDSC (1/s) | −0.011 | 0.948 |
| GLS (%) | −0.094 | 0.581 | GDSL (1/s) | −0.088 | 0.603 |
| BRS (%) | 0.085 | 0.618 | |||
Publisher’s Note: MDPI stays neutral with regard to jurisdictional claims in published maps and institutional affiliations. |
© 2022 by the authors. Licensee MDPI, Basel, Switzerland. This article is an open access article distributed under the terms and conditions of the Creative Commons Attribution (CC BY) license (https://creativecommons.org/licenses/by/4.0/).
Share and Cite
Hou, K.; Fu, H.; Xiong, W.; Gao, Y.; Xie, L.; He, J.; Feng, X.; Zeng, T.; Cai, L.; Xiong, L.; et al. Clinical Application of Cardiac Magnetic Resonance in ART-Treated AIDS Males with Short Disease Duration. Diagnostics 2022, 12, 2417. https://doi.org/10.3390/diagnostics12102417
Hou K, Fu H, Xiong W, Gao Y, Xie L, He J, Feng X, Zeng T, Cai L, Xiong L, et al. Clinical Application of Cardiac Magnetic Resonance in ART-Treated AIDS Males with Short Disease Duration. Diagnostics. 2022; 12(10):2417. https://doi.org/10.3390/diagnostics12102417
Chicago/Turabian StyleHou, Keke, Hang Fu, Wei Xiong, Yueqin Gao, Liqiu Xie, Jianglin He, Xianbiao Feng, Tao Zeng, Lin Cai, Lei Xiong, and et al. 2022. "Clinical Application of Cardiac Magnetic Resonance in ART-Treated AIDS Males with Short Disease Duration" Diagnostics 12, no. 10: 2417. https://doi.org/10.3390/diagnostics12102417
APA StyleHou, K., Fu, H., Xiong, W., Gao, Y., Xie, L., He, J., Feng, X., Zeng, T., Cai, L., Xiong, L., Jiang, N., Jiang, M., Kang, B., Zheng, H., Zhang, N., & Guo, Y. (2022). Clinical Application of Cardiac Magnetic Resonance in ART-Treated AIDS Males with Short Disease Duration. Diagnostics, 12(10), 2417. https://doi.org/10.3390/diagnostics12102417

