Comparison of Longitudinal Changes in Refractive Error of Hyperopic Children with or without Refractive Accommodative Esotropia
Abstract
1. Introduction
2. Materials and Methods
2.1. Participants
2.2. Data Analysis and Statistics
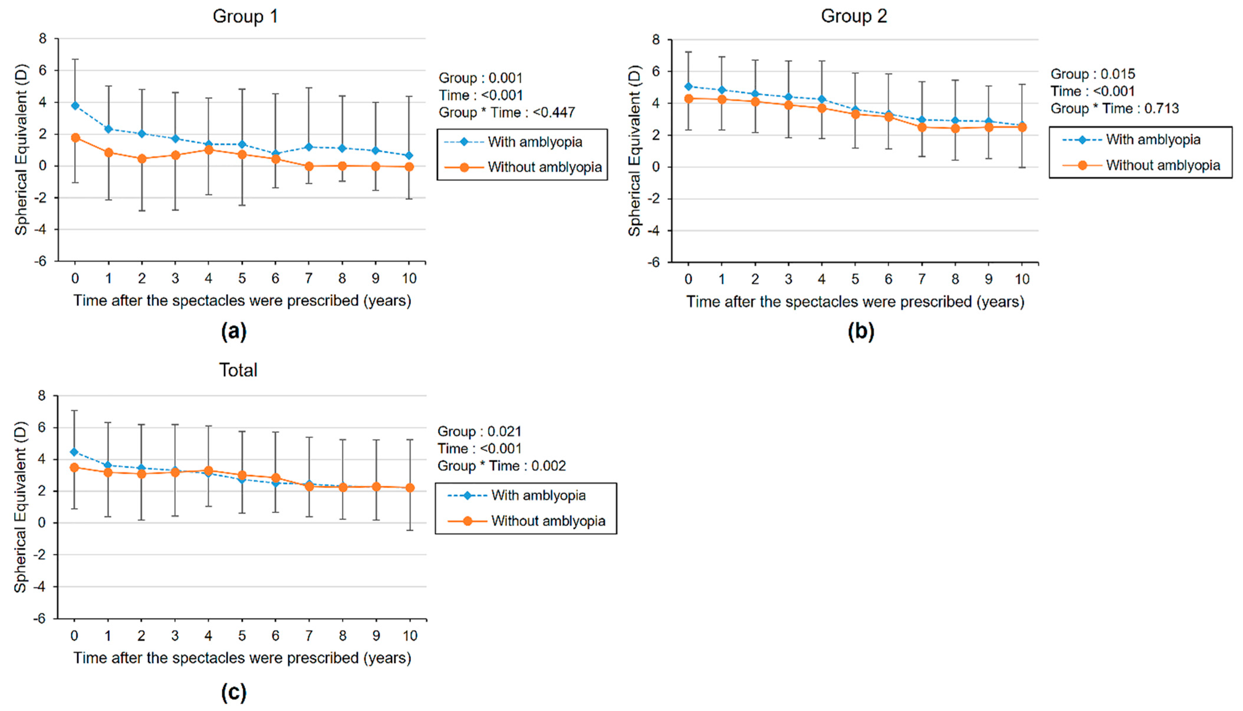
3. Results
4. Discussion
Supplementary Materials
Author Contributions
Funding
Institutional Review Board Statement
Informed Consent Statement
Data Availability Statement
Conflicts of Interest
References
- Mohney, B.G. Common forms of childhood esotropia. Ophthalmology 2001, 108, 805–809. [Google Scholar] [CrossRef]
- Graham, P.A. Epidemiology of strabismus. Br. J. Ophthalmol. 1974, 58, 224–231. [Google Scholar] [CrossRef] [PubMed]
- Matsuo, T.; Matsuo, C. The prevalence of strabismus and amblyopia in Japanese elementary school children. Ophthalmic. Epidemiol. 2005, 12, 31–36. [Google Scholar] [CrossRef] [PubMed]
- Raab, E.L. Etiologic factors in accommodative esodeviation. Trans. Am. Ophthalmol. Soc. 1982, 80, 657–694. [Google Scholar] [PubMed]
- Burton, T.C. The influence of refractive error and lattice degeneration on the incidence of retinal detachment. Trans. Am. Ophthalmol. Soc. 1989, 87, 143–155; discussion 147–155. [Google Scholar]
- Raab, E.L. Hypermetropia in accommodative esodeviation. J. Pediatr. Ophthalmol. Strabismus 1984, 21, P64–P68. [Google Scholar] [CrossRef]
- Raab, E.L.; Spierer, A. Persisting accommodative esotropia. Arch. Ophthalmol. 1986, 104, 1777–1779. [Google Scholar] [CrossRef]
- Mulvihill, A.; MacCann, A.; Flitcroft, I.; O’Keefe, M. Outcome in refractive accommodative esotropia. Br. J. Ophthalmol. 2000, 84, 746–749. [Google Scholar] [CrossRef]
- Raab, E.L. Follow-up monitoring of accommodative esotropia. J. AAPOS 2001, 5, 246–249. [Google Scholar] [CrossRef]
- Lambert, S.R.; Lynn, M.J. Longitudinal changes in the spherical equivalent refractive error of children with accommodative esotropia. Br. J. Ophthalmol. 2006, 90, 357–361. [Google Scholar] [CrossRef][Green Version]
- Berk, A.T.; Kocak, N.; Ellidokuz, H. Treatment outcomes in refractive accommodative esotropia. J. AAPOS 2004, 8, 384–388. [Google Scholar] [CrossRef]
- Park, K.A.; Kim, S.A.; Oh, S.Y. Long-term changes in refractive error in patients with accommodative esotropia. Ophthalmology 2010, 117, 2196–2207. [Google Scholar] [CrossRef]
- Verbeke, G. Linear mixed models for longitudinal data. In Linear Mixed Models in Practice; Springer: Berlin/Heidelberg, Germany, 1997; pp. 63–153. [Google Scholar]
- Wright, K.W. Esodeviations. In Handbook of Pediatric Strabismus and Amblyopia; Springer: Berlin/Heidelberg, Germany, 2006; pp. 217–265. [Google Scholar]
- Parks, M.M. Abnormal accommodative convergence in squint. AMA Arch. Ophthalmol. 1958, 59, 364–380. [Google Scholar] [CrossRef]
- Morgan, I.G.; Ohno-Matsui, K.; Saw, S.M. Myopia. Lancet 2012, 379, 1739–1748. [Google Scholar] [CrossRef]
- French, A.N.; Morgan, I.G.; Burlutsky, G.; Mitchell, P.; Rose, K.A. Prevalence and 5- to 6-year incidence and progression of myopia and hyperopia in Australian schoolchildren. Ophthalmology 2013, 120, 1482–1491. [Google Scholar] [CrossRef]
- Fan, D.S.; Lam, D.S.; Lam, R.F.; Lau, J.T.; Chong, K.S.; Cheung, E.Y.; Lai, R.Y.; Chew, S.J. Prevalence, incidence, and progression of myopia of school children in Hong Kong. Invest Ophthalmol. Vis. Sci. 2004, 45, 1071–1075. [Google Scholar] [CrossRef]
- Atkinson, J.; Anker, S.; Bobier, W.; Braddick, O.; Durden, K.; Nardini, M.; Watson, P. Normal emmetropization in infants with spectacle correction for hyperopia. Invest Ophthalmol. Vis. Sci. 2000, 41, 3726–3731. [Google Scholar] [PubMed]
- Saunders, K.J.; Woodhouse, J.M.; Westall, C.A. Emmetropisation in Human Infancy—Rate of Change Is Related to Initial Refractive Error. Vis. Res. 1995, 35, 1325–1328. [Google Scholar] [CrossRef]
- Cook, R.C.; Glasscock, R.E. Refractive and ocular findings in the newborn. Am. J. Ophthalmol. 1951, 34, 1407–1413. [Google Scholar] [CrossRef]
- Luyckx, J. Measurement of the optic components of the eye of the newborn by ultrasonic echography. Arch. Ophtalmol. Rev. Gen. Ophtalmol. 1966, 26, 159–170. [Google Scholar] [PubMed]
- Goldschmidt, E. Refraction in the newborn. Acta Ophthalmol. 1969, 47, 570–578. [Google Scholar] [CrossRef]
- Zonis, S.; Miller, B. Refractions in the Israeli newborn. J. Pediatr. Ophthalmol. Strabismus 1974, 11, 77–81. [Google Scholar] [CrossRef]
- Baldwin, W.R. Refractive status of infants and children. In Principles Practice of Pediatric Optometry; Lippincott: Philadelphia, PA, USA, 1990; pp. 104–152. [Google Scholar]
- Ingram, R.M.; Arnold, P.E.; Dally, S.; Lucas, J. Emmetropisation, squint, and reduced visual acuity after treatment. Br. J. Ophthalmol. 1991, 75, 414–416. [Google Scholar] [CrossRef]
- Ehrlich, D.L.; Braddick, O.J.; Atkinson, J.; Anker, S.; Weeks, F.; Hartley, T.; Wade, J.; Rudenski, A. Infant emmetropization: Longitudinal changes in refraction components from nine to twenty months of age. Optom. Vis. Sci. 1997, 74, 822–843. [Google Scholar] [CrossRef]
- Dobson, V.; Sebris, S.L.; Carlson, M.R. Do glasses prevent emmetropization in strabismic infants. Invest Ophthalmol. Vis. Sci. 1986, 27, 2. [Google Scholar]
- Koretz, J.F.; Rogot, A.; Kaufman, P.L. Physiological strategies for emmetropia. Trans. Am. Ophthalmol. Soc. 1995, 93, 105–118; discussion 118–122. [Google Scholar] [CrossRef][Green Version]
- Biler, E.D.; Uretmen, O.; Kose, S. The effect of optical correction on refractive development in children with accommodative esotropia. J. Aapos. 2010, 14, 305–310. [Google Scholar] [CrossRef] [PubMed]
- Lambert, S.R.; Lynn, M.; Sramek, J.; Hutcheson, K.A. Clinical features predictive of successfully weaning from spectacles those children with accommodative esotropia. J. Aapos. 2003, 7, 7–13. [Google Scholar] [CrossRef]
- Swan, K.C. Accommodative esotropia long range follow-up. Ophthalmology 1983, 90, 1141–1145. [Google Scholar] [CrossRef]
- Black, B.C. The influence of refractive error management on the natural history and treatment outcome of accommodative esotropia (an American Ophthalmological Society thesis). Trans. Am. Ophthalmol. Soc. 2006, 104, 303–321. [Google Scholar] [PubMed]
- Borchert, M.; Tarczy-Hornoch, K.; Cotter, S.A.; Liu, N.; Azen, S.P.; Varma, R.; Group, M. Anisometropia in Hispanic and african american infants and young children the multi-ethnic pediatric eye disease study. Ophthalmology 2010, 117, 148–153. [Google Scholar] [CrossRef] [PubMed]
- Huynh, S.C.; Wang, X.Y.; Ip, J.; Robaei, D.; Kifley, A.; Rose, K.A.; Mitchell, P. Prevalence and associations of anisometropia and aniso-astigmatism in a population based sample of 6 year old children. Br. J. Ophthalmol. 2006, 90, 597–601. [Google Scholar] [CrossRef] [PubMed]
- Kulp, M.T.; Foster, N.C.; Holmes, J.M.; Kraker, R.T.; Melia, B.M.; Repka, M.X.; Tien, D.R.; Pediatric Eye Disease Investigator Group. Effect of ocular alignment on emmetropization in children <10 years with amblyopia. Am. J. Ophthalmol. 2012, 154, 297–302. [Google Scholar] [CrossRef] [PubMed]




| Variables | Group 1 (n = 190) | Group 2 (n = 266) | p-Value |
|---|---|---|---|
| Age at initial spectacle use (years old) | 7.7 ± 3.2 | 8.1 ± 4.2 | 0.212 1 |
| Sex | 0.601 2 | ||
| Male | 96 (50.53) | 141 (53.01) | |
| Female | 94 (49.47) | 125 (46.99) | |
| Axial length (mm) in more hyperopic eye | 22.79 ± 1.57 | 21.98 ± 1.19 | 0.001 1 |
| Cycloplegic refraction (spherical equivalent) (diopter) | 3.11 ± 3.04 | 4.70 ± 2.11 | 0.001 1 |
| Baseline esodeviation angle without spectacle (PD) | |||
| Near | 1.52 ± 2.87 | 24.37 ± 12.79 | <0.001 1 |
| Distance | 0.54 ± 1.63 | 18.85 ± 11.63 | <0.001 1 |
| Baseline esodeviation angle with spectacle (PD) | |||
| Near | 0.73 ± 2.24 | 6.88 ± 8.05 | <0.001 1 |
| Distance | 0.43 ± 1.53 | 4.00 ± 7.18 | <0.001 1 |
| Amblyopia | 102 (58.95) | 132 (49.62) | 0.057 |
| Anisometropia | 42 (22.11) | 69 (25.94) | 0.347 |
| Good stereopsis (<100 arc seconds) | 117 ± 101.51 | 131 ± 116.69 | 0.183 |
| Worth-4-dot test fusion | 187 (98.42) | 260 (97.74) | >0.999 2 |
| Bagolini Striated Glasses Test fusion | 179 (98.35) | 259 (97.37) | >0.999 2 |
| Follow-up period (years) | 5.46 ± 3.08 | 8.08 ± 3.25 | <0.001 1 |
Publisher’s Note: MDPI stays neutral with regard to jurisdictional claims in published maps and institutional affiliations. |
© 2021 by the authors. Licensee MDPI, Basel, Switzerland. This article is an open access article distributed under the terms and conditions of the Creative Commons Attribution (CC BY) license (https://creativecommons.org/licenses/by/4.0/).
Share and Cite
Song, J.E.; Han, H.J.; Choi, C.Y.; Khoramnia, R.; Chang, H.R.; Han, S.Y. Comparison of Longitudinal Changes in Refractive Error of Hyperopic Children with or without Refractive Accommodative Esotropia. Diagnostics 2021, 11, 1547. https://doi.org/10.3390/diagnostics11091547
Song JE, Han HJ, Choi CY, Khoramnia R, Chang HR, Han SY. Comparison of Longitudinal Changes in Refractive Error of Hyperopic Children with or without Refractive Accommodative Esotropia. Diagnostics. 2021; 11(9):1547. https://doi.org/10.3390/diagnostics11091547
Chicago/Turabian StyleSong, Ji Eun, Hyo Ji Han, Chul Young Choi, Ramin Khoramnia, Hae Ran Chang, and So Young Han. 2021. "Comparison of Longitudinal Changes in Refractive Error of Hyperopic Children with or without Refractive Accommodative Esotropia" Diagnostics 11, no. 9: 1547. https://doi.org/10.3390/diagnostics11091547
APA StyleSong, J. E., Han, H. J., Choi, C. Y., Khoramnia, R., Chang, H. R., & Han, S. Y. (2021). Comparison of Longitudinal Changes in Refractive Error of Hyperopic Children with or without Refractive Accommodative Esotropia. Diagnostics, 11(9), 1547. https://doi.org/10.3390/diagnostics11091547

