sFlt-1, Not PlGF, Is Related to Twin Gestation Choronicity in the First and Third Trimesters of Pregnancy
Abstract
1. Introduction
2. Materials and Methods
3. Results
4. Discussion
5. Conclusions
Author Contributions
Funding
Institutional Review Board Statement
Informed Consent Statement
Data Availability Statement
Conflicts of Interest
References
- Say, L.; Chou, D.; Gemmill, A.; Tunçalp, Ö.; Moller, A.B.; Daniels, J.; Gülmezoglu, A.M.; Temmerman, M.; Alkema, L. Global causes of maternal death: A WHO systematic analysis. Lancet Glob. Health 2014, 2, e323–e333. [Google Scholar] [CrossRef]
- Fox, R.; Kitt, J.; Leeson, P.; Aye, C.Y.L.; Lewandowski, A.J. Preeclampsia: Risk Factors, Diagnosis, Management, and the Cardiovascular Impact on the Offspring. J. Clin. Med. 2019, 8, 1625. [Google Scholar] [CrossRef] [PubMed]
- Redman, C.W.; Staff, A.C. Preeclampsia, biomarkers, syncytiotrophoblast stress, and placental capacity. Am. J. Obstet. Gynecol. 2015, 213, S9–S11. [Google Scholar] [CrossRef]
- Yagel, S.; Cohen, S.M.; Goldman-Wohl, D. An integrated model of preeclampsia: A multifaceted syndrome of the maternal cardiovascular-placental-fetal array. Am. J. Obstet. Gynecol. 2021. [Google Scholar] [CrossRef] [PubMed]
- Phipps, E.A.; Thadhani, R.; Benzing, T.; Karumanchi, S.A. Pre-eclampsia: Pathogenesis, novel diagnostics and therapies. Nat. Rev. Nephrol. 2019, 15, 275–289. [Google Scholar] [CrossRef] [PubMed]
- Birdir, C.; Droste, L.; Fox, L.; Frank, M.; Fryze, J.; Enekwe, A.; Köninger, A.; Kimmig, R.; Schmidt, B.; Gellhaus, A. Predictive value of sFlt-1, PlGF, sFlt-1/PlGF ratio and PAPP-A for late-onset preeclampsia and IUGR between 32 and 37 weeks of pregnancy. Pregnancy Hypertens. 2018, 12, 124–128. [Google Scholar] [CrossRef]
- Venkatesha, S.; Toporsian, M.; Lam, C.; Hanai, J.; Mammoto, T.; Kim, Y.M.; Bdolah, Y.; Lim, K.H.; Yuan, H.T.; Libermann, T.A.; et al. Soluble endoglin contributes to the pathogenesis of preeclampsia. Nat. Med. 2006, 12, 642–649. [Google Scholar] [CrossRef]
- Zeisler, H.; Llurba, E.; Chantraine, F.; Vatish, M.; Staff, A.C.; Sennström, M.; Olovsson, M.; Brennecke, S.P.; Stepan, H.; Allegranza, D.; et al. Predictive Value of the sFlt-1:PlGF Ratio in Women with Suspected Preeclampsia. N. Engl. J. Med. 2016, 374, 13–22. [Google Scholar] [CrossRef] [PubMed]
- Sánchez, O.; Llurba, E.; Marsal, G.; Domínguez, C.; Aulesa, C.; Sánchez-Durán, M.A.; Goya, M.M.; Alijotas-Reig, J.; Carreras, E.; Cabero, L. First trimester serum angiogenic/anti-angiogenic status in twin pregnancies: Relationship with assisted reproduction technology. Hum. Reprod. 2012, 27, 358–365. [Google Scholar] [CrossRef]
- Svirsky, R.; Levinsohn-Tavor, O.; Feldman, N.; Klog, E.; Cuckle, H.; Maymon, R. First- and second-trimester maternal serum markers of pre-eclampsia in twin pregnancy. Ultrasound Obstet. Gynecol. 2016, 47, 560–564. [Google Scholar] [CrossRef]
- Narang, K.; Szymanski, L.M. Multiple Gestations and Hypertensive Disorders of Pregnancy: What Do We Know? Curr. Hypertens. Rep. 2020, 23, 1. [Google Scholar] [CrossRef] [PubMed]
- Kosinska-Kaczynska, K.; Zgliczynska, M.; Kozlowski, S.; Wicherek, L. Maternal Serum Placental Growth Factor, Soluble Fms-Like Tyrosine Kinase-1, and Soluble Endoglin in Twin Gestations and the Risk of Preeclampsia—A Systematic Review. J. Clin. Med. 2020, 9, 183. [Google Scholar] [CrossRef] [PubMed]
- Laine, K.; Murzakanova, G.; Sole, K.B.; Pay, A.D.; Heradstveit, S.; Räisänen, S. Prevalence and risk of pre-eclampsia and gestational hypertension in twin pregnancies: A population-based register study. BMJ Open 2019, 9, e029908. [Google Scholar] [CrossRef] [PubMed]
- Bartnik, P.; Kosinska-Kaczynska, K.; Kacperczyk, J.; Ananicz, W.; Sierocińska, A.; Wielgos, M.; Szymusik, I. Twin Chorionicity and the Risk of Hypertensive Disorders: Gestational Hypertension and Pre-eclampsia. Twin Res. Hum. Genet. 2016, 19, 377–382. [Google Scholar] [CrossRef][Green Version]
- Sarno, L.; Maruotti, G.M.; Donadono, V.; Saccone, G.; Martinelli, P. Risk of preeclampsia: Comparison between dichorionic and monochorionic twin pregnancies. J. Matern. Fetal Neonatal Med. 2014, 27, 1080–1081. [Google Scholar] [CrossRef]
- Sparks, T.N.; Cheng, Y.W.; Phan, N.; Caughey, A.B. Does risk of preeclampsia differ by twin chorionicity? J. Matern. Fetal Neonatal Med. 2013, 26, 1273–1277. [Google Scholar] [CrossRef] [PubMed]
- Francisco, C.; Wright, D.; Benkő, Z.; Syngelaki, A.; Nicolaides, K.H. Competing-risks model in screening for pre-eclampsia in twin pregnancy according to maternal factors and biomarkers at 11–13 weeks’ gestation. Ultrasound Obstet. Gynecol. 2017, 50, 589–595. [Google Scholar] [CrossRef]
- ACOG Practice Bulletin No. 202: Gestational Hypertension and Preeclampsia. Obstet. Gynecol. 2019, 133, 1.
- Wender-Ożegowska, E.; Bomba-Opoń, D.; Brązert, J.; Celewicz, Z.; Czajkowski, K.; Gutaj, P.; Malinowska-Polubiec, A.; Zawiejska, A.; Wielgoś, M. Standards of Polish Society of Gynecologists and Obstetricians in management of women with diabetes. Ginekol. Pol. 2018, 89, 341–350. [Google Scholar] [CrossRef] [PubMed]
- Maynard, S.E.; Moore Simas, T.A.; Solitro, M.J.; Rajan, A.; Crawford, S.; Soderland, P.; Meyer, B.A. Circulating angiogenic factors in singleton vs multiple-gestation pregnancies. Am. J. Obstet. Gynecol. 2008, 198, 200.e1–200.e7. [Google Scholar] [CrossRef]
- Ruiz-Sacedón, N.; Perales-Puchalt, A.; Borras, D.; Gómez, R.; Perales, A. Angiogenic growth factors in maternal and fetal serum in concordant and discordant twin pregnancies. J. Matern. Fetal Neonatal Med. 2014, 27, 870–873. [Google Scholar] [CrossRef]
- Faupel-Badger, J.M.; McElrath, T.F.; Lauria, M.; Houghton, L.C.; Lim, K.H.; Parry, S.; Cantonwine, D.; Lai, G.; Karumanchi, S.A.; Hoover, R.N.; et al. Maternal circulating angiogenic factors in twin and singleton pregnancies. Am. J. Obstet. Gynecol. 2015, 212, 636.e1–636.e8. [Google Scholar] [CrossRef]
- Cowans, N.J.; Spencer, K. First trimester maternal serum placental growth factor levels in twin pregnancies. Prenat. Diagn. 2013, 33, 1260–1263. [Google Scholar] [CrossRef] [PubMed]
- Bdolah, Y.; Lam, C.; Rajakumar, A.; Shivalingappa, V.; Mutter, W.; Sachs, B.P.; Lim, K.H.; Bdolah-Abram, T.; Epstein, F.H.; Karumanchi, S.A. Twin pregnancy and the risk of preeclampsia: Bigger placenta or relative ischemia? Am. J. Obstet. Gynecol. 2008, 198, 428.e1–428.e6. [Google Scholar] [CrossRef] [PubMed]
- Wathén, K.A.; Tuutti, E.; Stenman, U.H.; Alfthan, H.; Halmesmäki, E.; Finne, P.; Ylikorkala, O.; Vuorela, P. Maternal serum-soluble vascular endothelial growth factor receptor-1 in early pregnancy ending in preeclampsia or intrauterine growth retardation. J. Clin. Endocrinol. Metab. 2006, 91, 180–184. [Google Scholar] [CrossRef] [PubMed][Green Version]
- Nagamatsu, T.; Fujii, T.; Kusumi, M.; Zou, L.; Yamashita, T.; Osuga, Y.; Momoeda, M.; Kozuma, S.; Taketani, Y. Cytotrophoblasts up-regulate soluble fms-like tyrosine kinase-1 expression under reduced oxygen: An implication for the placental vascular development and the pathophysiology of preeclampsia. Endocrinology 2004, 145, 4838–4845. [Google Scholar] [CrossRef] [PubMed]
- Saleh, L.; Tahitu, S.I.M.; Danser, A.H.J.; van den Meiracker, A.H.; Visser, W. The predictive value of the sFlt-1/PlGF ratio on short-term absence of preeclampsia and maternal and fetal or neonatal complications in twin pregnancies. Pregnancy Hypertens. 2018, 14, 222–227. [Google Scholar] [CrossRef]
- Boucoiran, I.; Thissier-Levy, S.; Wu, Y.; Wei, S.Q.; Luo, Z.C.; Delvin, E.; Fraser, W.D.; Audibert, F.; MIROS Study Group. Risks for preeclampsia and small for gestational age: Predictive values of placental growth factor, soluble fms-like tyrosine kinase-1, and inhibin A in singleton and multiple-gestation pregnancies. Am. J. Perinatol. 2013, 30, 607–612. [Google Scholar] [PubMed]


| Study Group N = 79 | Monochorionic Pregnancies N = 43 | Dichorionic Pregnancies N = 36 | p | |
|---|---|---|---|---|
| N (%) | N (%) | N (%) | ||
| Age (years) * | 31.5 ± 4.3 | 31.8 ± 4.3 | 31.3 ± 4.3 | 0.7 |
| Primiparity | 39 (49.4) | 23 (53.5) | 16 (44.4) | 0.3 |
| Smoking status | 0.8 | |||
| current | 3 (3.8) | 2 (4.7) | 1 (2.8) | |
| past | 45 (57) | 23 (53.4) | 22 (61.1) | |
| never | 28 (35.4) | 16 (37.2) | 12 (33.3) | |
| unknown | 3 (3.8) | 2 (4.7) | 1 (2.8) | |
| Pre-gravid BMI (kg/m2) * | 23.8 ± 4.6 | 23.1 ± 4.6 | 24.6 ± 4.6 | 0.08 |
| Obesity | 8 (10.1) | 4 (9.3) | 4 (11.1) | 0.4 |
| Gestational weight gain * | 18.7 ± 8.6 | 17.8 ± 8.9 | 19.6 ± 8.4 | 0.3 |
| ART | 17 (21.5) | 7 (16.3) | 10 (27.8) | 0.3 |
| Gestational hypertension | 9 (11.4) | 4 (9.3) | 5 (13.9) | 0.7 |
| Early PE | 2 (2.5) | 0 | 2 (5.6) | 0.3 |
| Late PE | 1 (1.3) | 0 | 1 (2.8) | 0.8 |
| GDM | 21 (26.6) | 11 (25.6) | 10 (27.8) | 0.5 |
| Gestational age at delivery (weeks) * | 35.7 ± 1.9 | 35.5 ± 1.7 | 35.9 ± 2.2 | 0.4 |
| Cesarean delivery | 46 (58.2) | 24 (55.8) | 22 (61.1) | 0.8 |
| First twin birthweight (g) * | 2423 ± 465 | 2383 ± 488 | 2472 ± 441 | 0.7 |
| First twin 5th minute Apgar ≤ 7 points | 3 (3.8) | 2 (4.6) | 1 (2.8) | 0.6 |
| Second twin birthweight (g) * | 2360 ± 409 | 2314 ± 420 | 2417 ± 397 | 0.3 |
| Second twin 5th minute Apgar ≤ 7 points | 6 (7.6) | 3 (7) | 3 (8.3) | 0.9 |
| Discordant inter-twin birthweight | 7 (8.9) | 4 (9.3) | 3 (8.3) | 0.4 |
| 1st Trimester | 3rd Trimester | p | 1st Trimester | 3rd Trimester | p | |
|---|---|---|---|---|---|---|
| Median (Interquartile Range) | Median (Interquartile Range) | Median (Interquartile Range) | Median (Interquartile Range) | |||
| Monochorionic | Dichorionic | |||||
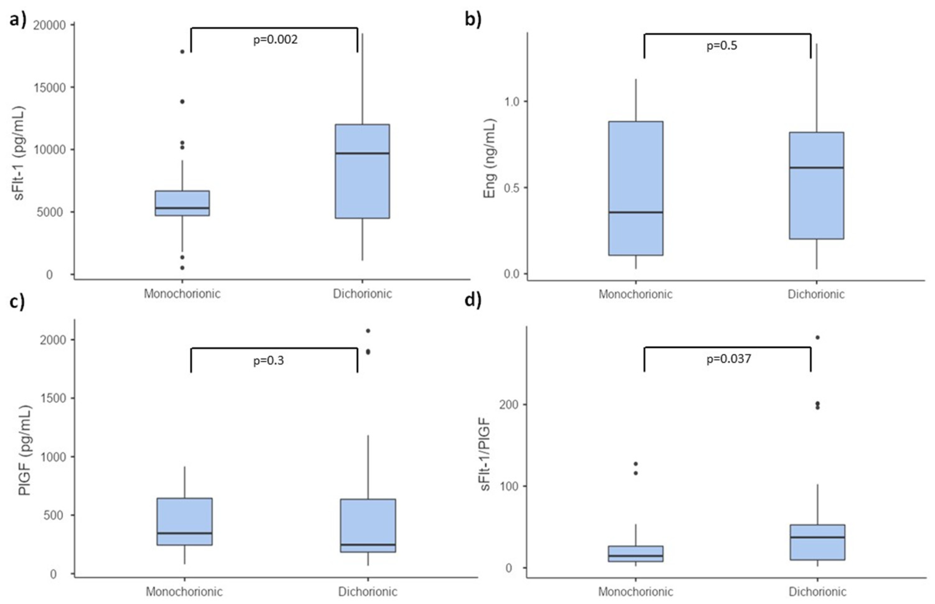
| PlGF (pg/mL) | 36.3 (17.8–53.2) | 345 (243–644) | <0.001 | 44.3 (21.5–77.8) | 246.7 (184–635) | <0.001 |
| sFlt-1 (pg/mL) | 2830.9 (2140–4042) | 5306 (4706–6679) | <0.001 | 4156.4 (2668–7099) | 9692 (4489–12004) | <0.001 |
| sFlt-1/PlGF | 99.1 (45.1–160.1) | 14.5 (7.7–26.5) | <0.001 | 108.1 (45.3–288.2) | 37.3 (9.7–52.6) | <0.001 |
| Eng (ng/mL) | 0.1 (0.1–0.4) | 0.36 (0.1–0.9) | 0.046 | 0.17 (0.1–0.4) | 0.62 (0.2–0.8) | 0.001 |
| 1st Trimester | 3rd Trimester | p | 1st Trimester | 3rd Trimester | p | |
|---|---|---|---|---|---|---|
| Median (Interquartile Range) | Median (Interquartile Range) | Median (Interquartile Range) | Median (Interquartile Range) | |||
| Monochorionic | Dichorionic | |||||
| PlGF (pg/mL) | 36.5 (17.8–54.1) | 348 (245–652) | <0.001 | 48.7 (23.5–79.1) | 257 (184–644) | <0.001 |
| sFlt-1 (pg/mL) | 2829.2 (2140–4041) | 5300 (4703–6671) | <0.001 | 4112.1 (2651–7083) | 9653 (4411–11752) | <0.001 |
| sFlt-1/PlGF | 98.2 (45–159.1) | 14.4 (7.5–26.5) | <0.001 | 103.9 (42.8–265.7) | 35.9 (9.2–49.6) | <0.001 |
| Eng (ng/mL) | 0.1 (0.1–0.4) | 0.35 (0.1–0.9) | 0.049 | 0.14 (0.1–0.4) | 0.6 (0.2–0.9) | 0.001 |
Publisher’s Note: MDPI stays neutral with regard to jurisdictional claims in published maps and institutional affiliations. |
© 2021 by the authors. Licensee MDPI, Basel, Switzerland. This article is an open access article distributed under the terms and conditions of the Creative Commons Attribution (CC BY) license (https://creativecommons.org/licenses/by/4.0/).
Share and Cite
Kozłowski, S.; Stelmaszczyk-Emmel, A.; Szymusik, I.; Saletra-Bielińska, A.; Brawura-Biskupski-Samaha, R.; Pietruski, P.; Osińska, A.; Kosińska-Kaczyńska, K. sFlt-1, Not PlGF, Is Related to Twin Gestation Choronicity in the First and Third Trimesters of Pregnancy. Diagnostics 2021, 11, 1181. https://doi.org/10.3390/diagnostics11071181
Kozłowski S, Stelmaszczyk-Emmel A, Szymusik I, Saletra-Bielińska A, Brawura-Biskupski-Samaha R, Pietruski P, Osińska A, Kosińska-Kaczyńska K. sFlt-1, Not PlGF, Is Related to Twin Gestation Choronicity in the First and Third Trimesters of Pregnancy. Diagnostics. 2021; 11(7):1181. https://doi.org/10.3390/diagnostics11071181
Chicago/Turabian StyleKozłowski, Szymon, Anna Stelmaszczyk-Emmel, Iwona Szymusik, Aleksandra Saletra-Bielińska, Robert Brawura-Biskupski-Samaha, Paweł Pietruski, Agnieszka Osińska, and Katarzyna Kosińska-Kaczyńska. 2021. "sFlt-1, Not PlGF, Is Related to Twin Gestation Choronicity in the First and Third Trimesters of Pregnancy" Diagnostics 11, no. 7: 1181. https://doi.org/10.3390/diagnostics11071181
APA StyleKozłowski, S., Stelmaszczyk-Emmel, A., Szymusik, I., Saletra-Bielińska, A., Brawura-Biskupski-Samaha, R., Pietruski, P., Osińska, A., & Kosińska-Kaczyńska, K. (2021). sFlt-1, Not PlGF, Is Related to Twin Gestation Choronicity in the First and Third Trimesters of Pregnancy. Diagnostics, 11(7), 1181. https://doi.org/10.3390/diagnostics11071181

