Fabrication of Coaxial and Confocal Transducer Based on Sol-Gel Composite Material for Optical Resolution Photoacoustic Microscopy
Abstract
1. Introduction
2. Materials and Methods
2.1. Transducer Fabrication
2.2. Pulse-Echo Experimental Design
3. Results
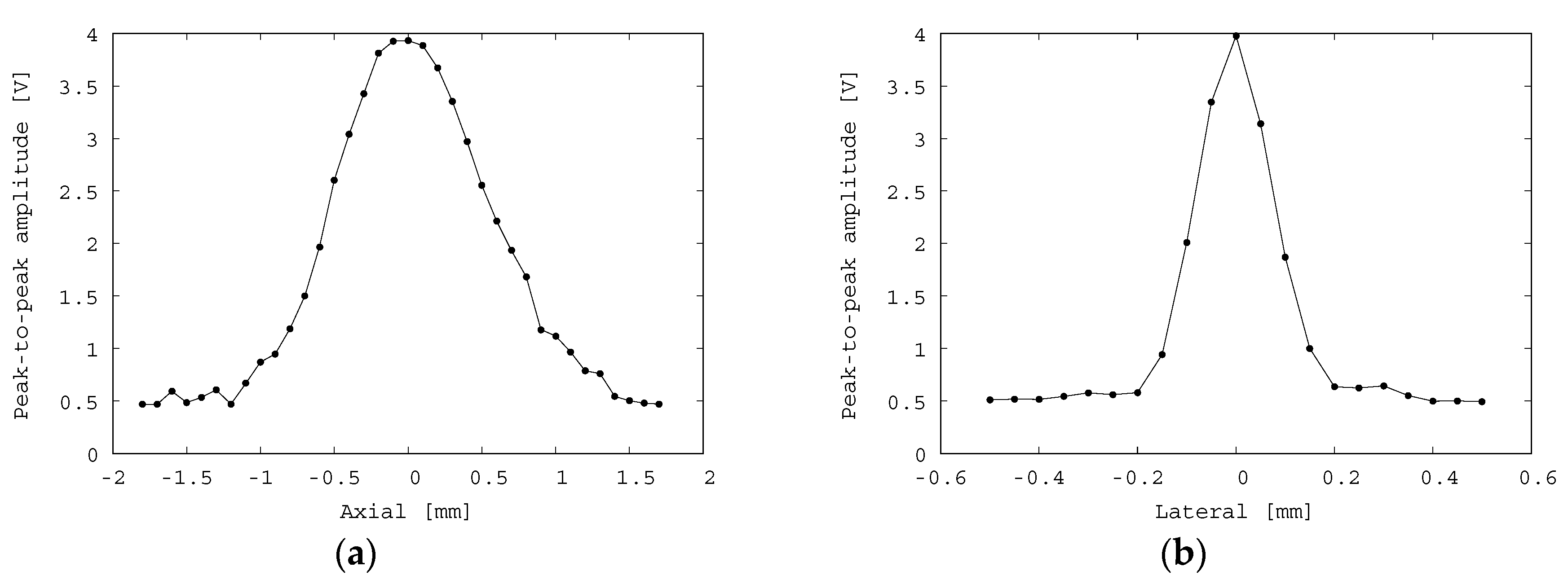
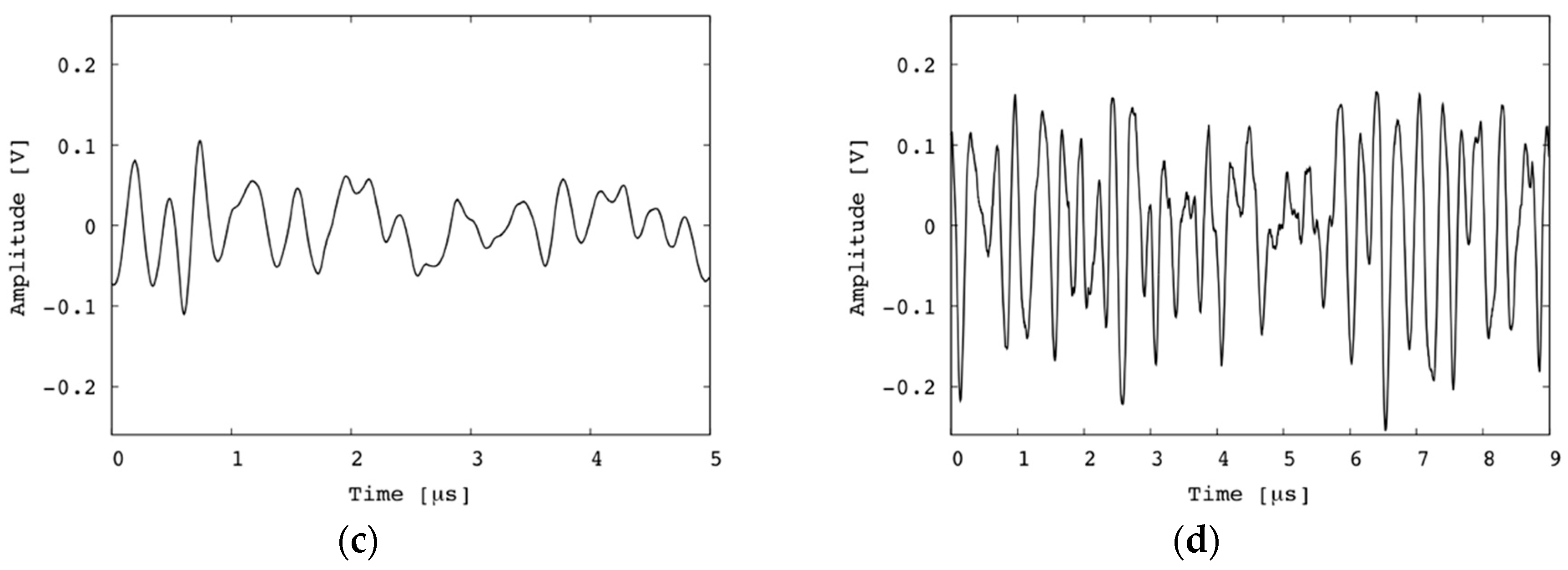
3.1. Fundamental Performance of Fabricated Transducer
3.2. Photoacoustic Visualization
4. Discussion and Conclusions
Author Contributions
Funding
Acknowledgments
Conflicts of Interest
References
- Hu, S.; Wang, L.V. Optical-resolution photoacoustic microscopy: Auscultation of biological systems at the cellular level. Biophys. J. 2013, 105, 841–847. [Google Scholar] [CrossRef] [PubMed]
- Wang, H.; Yang, X.; Liu, Y.; Jiang, B.; Luo, Q. Reflection-mode optical-resolution photoacoustic microscopy based on a reflective objective. Opt. Exp. 2013, 21, 24210–24218. [Google Scholar] [CrossRef] [PubMed]
- Estrada, H.; Turner, J.; Kneipp, M.; Razansky, D. Real-time optoacoustic brain microscopy with hybrid optical and acoustic resolution. Laser Phys. Lett. 2014, 11, 045601. [Google Scholar] [CrossRef]
- Wang, L.; Maslov, K.; Yao, J.; Rao, B.; Wang, L.V. Fast voice-coil scanning optical-resolution photoacoustic microscopy. Opt. Lett. 2011, 36, 139–141. [Google Scholar] [CrossRef] [PubMed]
- Strohm, E.M.; Moore, M.J.; Kolios, M.C. Single cell photoacoustic microscopy: A review. IEEE J. Select. Top. Quantum Electron. 2016, 22, 680121. [Google Scholar] [CrossRef]
- Yao, J.; Wang, L.V. Photoacoustic microscopy. Laser Photonics Rev. 2013, 7, 758–778. [Google Scholar] [CrossRef] [PubMed]
- Yao, J.; Wang, L.V. Sensitivity of photoacoustic microscopy. Photoacoustics 2014, 2, 87–101. [Google Scholar] [CrossRef] [PubMed]
- Cheng, C.; Chao, C.; Shi, X.; Leung, W.W.F. A flexible capacitive micromachined ultrasonic transducer (CMUT) array with increased effective capacitance from concave bottom electrodes for ultrasonic imaging applications. In Proceedings of the IEEE International Ultrasonics Symposium, Rome, Italy, 20–23 September 2009; pp. 996–999. [Google Scholar]
- Fei, C.; Yang, Y.; Guo, F.; Lin, P.; Chen, Q.; Zhou, Q.; Sun, L. PMN-PT single crystal ultrasonic transducer with half-concave geometric design for IVUS imaging. IEEE Trans. Biomed. Eng. 2018, 65, 2087–2092. [Google Scholar] [CrossRef] [PubMed]
- Igarashi, S.; Morishita, T.; Takeuchi, S. Experimental evaluation of high intensity ultrasound source system using acoustic waveguide and concave transducer with 100 mm diameter for calibration of hydrophone. In Proceedings of the IEEE International Ultrasonics Symposium, Kobe, Japan, 22–25 October 2018; pp. 1–4. [Google Scholar]
- Woo, J.; Roh, Y. Design and fabrication of an annular array high intensity focused ultrasound transducer with an optimal electrode pattern. Sens. Actuator. A Phys. 2019, 290, 156–161. [Google Scholar] [CrossRef]
- Kobayashi, M.; Jen, C.K.; Levesque, D. Flexible Ultrasonic Transducers. IEEE Trans. Ultrason. Ferroelectr. Freq. Control. 2006, 53, 1478–1486. [Google Scholar] [CrossRef] [PubMed]
- Fujimoto, S.; Namihira, T.; Iwata, K.; Kobayashi, M. Curie temperature and high temperature behavior of Pb (Zr,Ti)O3/Pb (Zr,Ti)O3 Sol-gel composites. Jpn. J. Appl. Phys. 2015, 54, 07HB04. [Google Scholar] [CrossRef]
- Tanabe, M.; Wu, T.C.; Hirata, K.; Kobayashi, M.; Nishimoto, M.; Yang, C.H. A Sol-gel PZT/PZT transducer for coaxial photoacoustic imaging. In Proceedings of the IEEE International Ultrasonic Symposium, Tours, France, 18–21 September 2016; pp. 1–4. [Google Scholar]
- Tanabe, M.; Wu, T.C.; Hirata, K.; Kobayashi, M.; Nshimoto, M.; Yang, C.H. Development of transducer for photoacoustic imaging employing Sol-Gel composite spraying technique. In Proceedings of the Symposium on Ultrasonic Electronics, Busan, Korea, 16–18 November 2016. [Google Scholar]
- Ono, Y.; Kobayashi, M.; Moisan, O.; Jen, C.K. High-temperature and broadband immersion ultrasonic probes. IEEE Sens. J. 2006, 6, 580–587. [Google Scholar] [CrossRef]
- Liu, S.H.; Wu, T.C.; Tanabe, M.; Kobayashi, M.; Yang, C.H. Fiber laser based optical-resolution photoacoustic microscopy. In Proceedings of the 15th Asia Pacific Conference for Non-Destructive Testing, Singapore, 13–17 November 2017; p. 293. [Google Scholar]
- Luginbuhl, P.; Racine, G.-A.; Lerch, P.; Romanowicz, B.; Brooks, K.G.; de Rooij, N.F.; Renaud, P.; Setter, N. Piezoelectric cantilever beams actuated by PZT Sol-gel thin film. Sens. Actuator A Phys. 1996, 54, 530–535. [Google Scholar] [CrossRef]
- Lefki, K.; Dormans, G.J.M. Measurement of piezoelectric coefficients of ferroelectric thin films. J. Appl. Phys. 1994, 76, 1764–1767. [Google Scholar] [CrossRef]
- Ren, W.; Zhou, H.-J.; Wu, X.-Q.; Zhang, L.-Y.; Yao, X. Measurement of piezoelectric coefficients of lead zirconate titanate thin films by the normal load method using a composite tip. Mater. Lett. 1997, 31, 185–188. [Google Scholar] [CrossRef]
- Hayashi Chemical Industry Co. Ltd. Available online: https://www.hayashi-chemical.co.jp/en/product/fine_ceramic/#fc_02 (accessed on 7 November 2019).
- Piedade, A.P.; Nanes, J.; Vieira, M.T. Thin films with chemically graded functionality based on fluorine polymers and stainless steel. Acta Biomater. 2008, 4, 1073–1080. [Google Scholar] [CrossRef] [PubMed]















© 2019 by the authors. Licensee MDPI, Basel, Switzerland. This article is an open access article distributed under the terms and conditions of the Creative Commons Attribution (CC BY) license (http://creativecommons.org/licenses/by/4.0/).
Share and Cite
Tanabe, M.; Wu, T.C.; Kobayashi, M.; Yang, C.H. Fabrication of Coaxial and Confocal Transducer Based on Sol-Gel Composite Material for Optical Resolution Photoacoustic Microscopy. Diagnostics 2020, 10, 6. https://doi.org/10.3390/diagnostics10010006
Tanabe M, Wu TC, Kobayashi M, Yang CH. Fabrication of Coaxial and Confocal Transducer Based on Sol-Gel Composite Material for Optical Resolution Photoacoustic Microscopy. Diagnostics. 2020; 10(1):6. https://doi.org/10.3390/diagnostics10010006
Chicago/Turabian StyleTanabe, Masayuki, Tai Chieh Wu, Makiko Kobayashi, and Che Hua Yang. 2020. "Fabrication of Coaxial and Confocal Transducer Based on Sol-Gel Composite Material for Optical Resolution Photoacoustic Microscopy" Diagnostics 10, no. 1: 6. https://doi.org/10.3390/diagnostics10010006
APA StyleTanabe, M., Wu, T. C., Kobayashi, M., & Yang, C. H. (2020). Fabrication of Coaxial and Confocal Transducer Based on Sol-Gel Composite Material for Optical Resolution Photoacoustic Microscopy. Diagnostics, 10(1), 6. https://doi.org/10.3390/diagnostics10010006

