Comparison of Guided Exercise and Self-Paced Exercise After Lumbar Spine Surgery: A Randomized Controlled Trial
Abstract
1. Introduction
2. Materials and Methods
2.1. Trial Design
2.2. Ethics
2.3. Aims
2.4. Sample Size
2.5. Participant Recruitment
2.6. Time Frame
2.7. Grading and Individualized Tailored Exercise
2.8. Protocol of Postoperative Exercise and Control Group
2.9. Outcome Assessment
2.10. Adjuvant Treatment
2.11. Statistical Analysis
3. Results
3.1. Baseline Characteristics
3.2. Change in Body Proportion
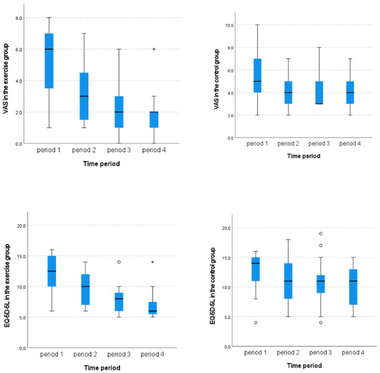
3.3. Clinical Outcome
3.4. Functional Activities’ Outcome
3.5. Side Effects
4. Discussion
5. Conclusions
Supplementary Materials
Author Contributions
Funding
Institutional Review Board Statement
Informed Consent Statement
Data Availability Statement
Acknowledgments
Conflicts of Interest
References
- Bogaert, L.; Thys, T.; Depreitere, B.; Dankaerts, W.; Amerijckx, C.; Van Wambeke, P.; Jacobs, K.; Boonen, H.; Brumagne, S.; Moke, L.; et al. Rehabilitation to improve outcomes of lumbar fusion surgery: A systematic review with meta-analysis. Eur. Spine J. 2022, 31, 1525–1545. [Google Scholar] [CrossRef]
- McGregor, A.H.; Probyn, K.; Cro, S.; Doré, C.J.; Burton, A.K.; Balagué, F.; Pincus, T.; Fairbank, J. Rehabilitation following surgery for lumbar spinal stenosis. A Cochrane review. Spine 2014, 39, 1044–1054. [Google Scholar] [CrossRef]
- Bredow, J.; Eysel, P.; Oikonomidis, S. Postoperative management of weight bearing and rehabilitation after lumbar spinal surgery. Der Orthop. 2020, 49, 201–210. [Google Scholar] [CrossRef]
- Terracina, S.; Robba, C.; Prete, A.; Sergi, P.G.; Bilotta, F. Prevention and Treatment of Postoperative Pain after Lumbar Spine Procedures: A Systematic Review. Pain Pract. 2018, 18, 925–945. [Google Scholar] [CrossRef]
- de Oliveira Silva, A.; Dutra, M.T.; de Moraes, W.; Funghetto, S.S.; Lopes de Farias, D.; Dos Santos, P.H.F.; Vieira, D.C.L.; Nascimento, D.D.C.; Orsano, V.S.M.; Schoenfeld, B.J.; et al. Resistance training-induced gains in muscle strength, body composition, and functional capacity are attenuated in elderly women with sarcopenic obesity. Clin. Interv. Aging 2018, 13, 411–417. [Google Scholar] [CrossRef]
- Kim, M.; Kim, M.; Oh, S.; Yoon, B. The Effectiveness of Hollowing and Bracing Strategies with Lumbar Stabilization Exercise in Older Adult Women with Nonspecific Low Back Pain: A Quasi-Experimental Study on a Community-based Rehabilitation. J. Manip. Physiol. Ther. 2018, 41, 1–9. [Google Scholar] [CrossRef]
- Kim, W.M.; Seo, Y.G.; Park, Y.J.; Cho, H.S.; Lee, C.H. Effect of Different Exercise Types on the Cross-Sectional Area and Lumbar Lordosis Angle in Patients with Flat Back Syndrome. Int. J. Environ. Res. Public Health 2021, 18, 10923. [Google Scholar] [CrossRef]
- Jentoft, E.S.; Kvåle, A.; Assmus, J.; Moen, V.P. Effect of information and exercise programmes after lumbar disc surgery: A randomized controlled trial. Physiother. Res. Int. J. Res. Clin. Phys. Ther. 2020, 25, e1864. [Google Scholar] [CrossRef]
- Hayden, J.A.; Ellis, J.; Ogilvie, R.; Malmivaara, A.; van Tulder, M.W. Exercise therapy for chronic low back pain. Cochrane Database Syst. Rev. 2021, 9, Cd009790. [Google Scholar] [CrossRef]
- van Middelkoop, M.; Rubinstein, S.M.; Kuijpers, T.; Verhagen, A.P.; Ostelo, R.; Koes, B.W.; van Tulder, M.W. A systematic review on the effectiveness of physical and rehabilitation interventions for chronic non-specific low back pain. Eur. Spine J. 2011, 20, 19–39. [Google Scholar] [CrossRef]
- Amaral, L.K.B.; Souza, M.B.; Campos, M.G.M.; Mendonça, V.A.; Bastone, A.; Pereira, L.S.M.; Mascarenhas, R.O.; Oliveira, V.C. Efficacy of conservative therapy in older people with nonspecific low back pain: A systematic review with meta-analysis and GRADE recommendations. Arch. Gerontol. Geriatr. 2020, 90, 104177. [Google Scholar] [CrossRef]
- Jacobi, S.; Beynon, A.; Dombrowski, S.U.; Wedderkopp, N.; Witherspoon, R.; Hébert, J.J. Effectiveness of Conservative Nonpharmacologic Therapies for Pain, Disability, Physical Capacity, and Physical Activity Behavior in Patients with Degenerative Lumbar Spinal Stenosis: A Systematic Review and Meta-Analysis. Arch. Phys. Med. Rehabil. 2021, 102, 2247–2260. [Google Scholar] [CrossRef]
- Minetama, M.; Kawakami, M.; Teraguchi, M.; Kagotani, R.; Mera, Y.; Sumiya, T.; Nakagawa, M.; Yamamoto, Y.; Matsuo, S.; Koike, Y. Supervised physical therapy vs. home exercise for patients with lumbar spinal stenosis: A randomized controlled trial. Spine J. 2019, 19, 1310–1318. [Google Scholar] [CrossRef]
- Wayment, H.A.; McDonald, R.L. Sharing a personal trainer: Personal and social benefits of individualized, small-group training. J. Strength Cond. Res. 2017, 31, 3137–3145. [Google Scholar] [CrossRef]
- Sweegers, M.G.; Altenburg, T.M.; Chinapaw, M.J.; Kalter, J.; Verdonck-de Leeuw, I.M.; Courneya, K.S.; Newton, R.U.; Aaronson, N.K.; Jacobsen, P.B.; Brug, J. Which exercise prescriptions improve quality of life and physical function in patients with cancer during and following treatment? A systematic review and meta-analysis of randomised controlled trials. Br. J. Sports Med. 2018, 52, 505–513. [Google Scholar] [CrossRef]
- Zhong, Y.; Ding, Y.; Fu, B.; Ma, G.; Cui, H.; Li, M.; Yu, Y.; Guan, L. The effectiveness of postoperative exercise based on gait analysis compared with conventional exercise in patients with lumbar spinal stenosis: A randomized clinical trial. J. Back Musculoskelet. Rehabil. 2023, 36, 1399–1409. [Google Scholar] [CrossRef]
- Ilves, O.; Häkkinen, A.; Dekker, J.; Wahlman, M.; Tarnanen, S.; Pekkanen, L.; Ylinen, J.; Kautiainen, H.; Neva, M. Effectiveness of postoperative home-exercise compared with usual care on kinesiophobia and physical activity in spondylolisthesis: A randomized controlled trial. J. Rehabil. Med. 2017, 49, 751–757. [Google Scholar] [CrossRef]
- Kernc, D.; Strojnik, V.; Vengust, R. Early initiation of a strength training based rehabilitation after lumbar spine fusion improves core muscle strength: A randomized controlled trial. J. Orthop. Surg. Res. 2018, 13, 151. [Google Scholar] [CrossRef]
- Oosterhuis, T.; Costa, L.O.; Maher, C.G.; de Vet, H.C.; van Tulder, M.W.; Ostelo, R.W. Rehabilitation after lumbar disc surgery. Cochrane Database Syst. Rev. 2014, 2014, Cd003007. [Google Scholar] [CrossRef]
- Janssen, E.R.C.; Punt, I.M.; Clemens, M.J.; Staal, J.B.; Hoogeboom, T.J.; Willems, P.C. Current Prehabilitation Programs Do Not Improve the Postoperative Outcomes of Patients Scheduled for Lumbar Spine Surgery: A Systematic Review with Meta-analysis. J. Orthop. Sports Phys. Ther. 2021, 51, 103–114. [Google Scholar] [CrossRef]
- Son, S.; Yoo, B.R.; Jeong, Y.M. Digital therapeutics-based lumbar core exercise for patients with low back pain: A prospective exploratory pilot study. Digit. Health 2024, 10, 20552076231218154. [Google Scholar] [CrossRef]
- Angelini, E.; Baranto, A.; Brisby, H.; Wijk, H. Healthcare practitioners’ experiences of postoperative pain management in lumbar spine surgery care-A qualitative study. J. Clin. Nurs. 2020, 29, 1662–1672. [Google Scholar] [CrossRef]
- Bandholm, T.; Wainwright, T.W.; Kehlet, H. Rehabilitation strategies for optimisation of functional recovery after major joint replacement. J. Exp. Orthop. 2018, 5, 44. [Google Scholar] [CrossRef]
- Hlaing, S.S.; Puntumetakul, R.; Khine, E.E.; Boucaut, R. Effects of core stabilization exercise and strengthening exercise on proprioception, balance, muscle thickness and pain related outcomes in patients with subacute nonspecific low back pain: A randomized controlled trial. BMC Musculoskelet. Disord. 2021, 22, 998. [Google Scholar] [CrossRef]
- Liao, J.; Qi, Z.; Chen, B.; Lei, P. Association between early ambulation exercise and short-term postoperative recovery after open transforaminal lumbar interbody fusion: A single center retrospective analysis. BMC Musculoskelet. Disord. 2023, 24, 345. [Google Scholar] [CrossRef]
- Lachin, J.M. Biostatistical Methods: The Assessment of Relative Risks; John Wiley & Sons: Hoboken, NJ, USA, 2009. [Google Scholar]
- Park, S.H.; Lee, M.M. Effects of a Progressive Stabilization Exercise Program Using Respiratory Resistance for Patients with Lumbar Instability: A Randomized Controlled Trial. Med. Sci. Monit. 2019, 25, 1740–1748. [Google Scholar] [CrossRef]
- Kim, J.C.; Lim, J.H. The effects of coordinative locomotor training on coordination and gait in chronic stroke patients: A randomized controlled pilot trial. J. Exerc. Rehabil. 2018, 14, 1010–1016. [Google Scholar] [CrossRef]
- Mandsager, K.; Harb, S.; Cremer, P.; Phelan, D.; Nissen, S.E.; Jaber, W. Association of cardiorespiratory fitness with long-term mortality among adults undergoing exercise treadmill testing. JAMA Netw. Open 2018, 1, e183605. [Google Scholar] [CrossRef]
- Obradovic, M.; Lal, A.; Liedgens, H. Validity and responsiveness of EuroQol-5 dimension (EQ-5D) versus Short Form-6 dimension (SF-6D) questionnaire in chronic pain. Health Qual. Life Outcomes 2013, 11, 110. [Google Scholar] [CrossRef]
- Wilson-Smith, A.R.; Muralidaran, S.; Maharaj, M.; Pelletier, M.H.; Beshara, P.; Rao, P.; Pearce, L.M.; Wang, T.; Mobbs, R.J.; Walsh, W.R. Validation of a novel range of motion assessment tool for the cervical spine: The HALO© digital goniometer. J. Spine Surg. 2022, 8, 93. [Google Scholar] [CrossRef]
- Deodato, M.; Saponaro, S.; Šimunič, B.; Martini, M.; Murena, L.; Buoite Stella, A. Trunk muscles’ characteristics in adolescent gymnasts with low back pain: A pilot study on the effects of a physiotherapy intervention including a postural reeducation program. J. Man. Manip. Ther. 2024, 32, 310–324. [Google Scholar] [CrossRef]
- García-Vaquero, M.P.; Barbado, D.; Juan-Recio, C.; Lopez-Valenciano, A.; Vera-Garcia, F.J. Isokinetic trunk flexion–extension protocol to assess trunk muscle strength and endurance: Reliability, learning effect, and sex differences. J. Sport Health Sci. 2020, 9, 692–701. [Google Scholar] [CrossRef]
- Yoo, K.-T. The effect of flexibility of bridge and plank exercises using sling suspension on an unstable surface on while standing in healthy young adults. J. Korean Soc. Phys. Med. 2016, 11, 1–9. [Google Scholar] [CrossRef]
- Liu, W.-Y.; Spruit, M.A.; Delbressine, J.M.; Willems, P.J.; Franssen, F.M.; Wouters, E.F.; Meijer, K. Spatiotemporal gait characteristics in patients with COPD during the Gait Real-time Analysis Interactive Lab-based 6-minute walk test. PLoS ONE 2017, 12, e0190099. [Google Scholar] [CrossRef]
- Lubetzky, A.V.; Soroka, A.; Harel, D.; Errico, T.; Bendo, J.; Leitner, J.; Shabat, S.; Ashkenazi, E.; Floman, Y.; Moffat, M.; et al. Static and Dynamic Balance in Adults Undergoing Lumbar Spine Surgery: Screening and Prediction of Postsurgical Outcomes. J. Am. Acad. Orthop. Surg. 2020, 28, e553–e559. [Google Scholar] [CrossRef]
- Storm, F.A.; Cesareo, A.; Reni, G.; Biffi, E. Wearable inertial sensors to assess gait during the 6-minute walk test: A systematic review. Sensors 2020, 20, 2660. [Google Scholar] [CrossRef]
- Oliveira, P.M.V.D. NeuroGait: Mobile Recording of Gait in Patients with Neurological Diseases; Universidade do Porto: Porto, Portugal, 2014. [Google Scholar]
- Geneen, L.J.; Moore, R.A.; Clarke, C.; Martin, D.; Colvin, L.A.; Smith, B.H. Physical activity and exercise for chronic pain in adults: An overview of Cochrane Reviews. Cochrane Database Syst. Rev. 2017, 1, Cd011279. [Google Scholar] [CrossRef]
- Saragiotto, B.T.; Maher, C.G.; Yamato, T.P.; Costa, L.O.; Menezes Costa, L.C.; Ostelo, R.W.; Macedo, L.G. Motor control exercise for chronic non-specific low-back pain. Cochrane Database Syst. Rev. 2016, 2016, Cd012004. [Google Scholar] [CrossRef]
- van Dillen, L.R.; Lanier, V.M.; Steger-May, K.; Wallendorf, M.; Norton, B.J.; Civello, J.M.; Czuppon, S.L.; Francois, S.J.; Roles, K.; Lang, C.E. Effect of Motor Skill Training in Functional Activities vs Strength and Flexibility Exercise on Function in People with Chronic Low Back Pain: A Randomized Clinical Trial. JAMA Neurol. 2021, 78, 385–395. [Google Scholar] [CrossRef]
- Ostelo, R.W.; de Vet, H.C.; Waddell, G.; Kerckhoffs, M.R.; Leffers, P.; van Tulder, M.W. Rehabilitation after lumbar disc surgery. Cochrane Database Syst. Rev. 2002, 2, CD003007. [Google Scholar] [CrossRef]
- Yílmaz, F.; Yílmaz, A.; Merdol, F.; Parlar, D.; Sahin, F.; Kuran, B. Efficacy of dynamic lumbar stabilization exercise in lumbar microdiscectomy. J. Rehabil. Med. 2003, 35, 163–167. [Google Scholar] [CrossRef]
- Aboufazeli, M.; Afshar-Mohajer, N.; Jafarpisheh, M.S.; Heidari, M.; Akbari, M. Recovery of the lumbar multifidus muscle size in chronic low back pain patients by strengthening hip abductors: A randomized clinical trial. J. Bodyw. Mov. Ther. 2021, 26, 147–152. [Google Scholar] [CrossRef]
- Narouei, S.; Barati, A.H.; Akuzawa, H.; Talebian, S.; Ghiasi, F.; Akbari, A.; Alizadeh, M.H. Effects of core stabilization exercises on thickness and activity of trunk and hip muscles in subjects with nonspecific chronic low back pain. J. Bodyw. Mov. Ther. 2020, 24, 138–146. [Google Scholar] [CrossRef]
- Horsak, B.; Wunsch, R.; Bernhart, P.; Gorgas, A.M.; Bichler, R.; Lampel, K. Trunk muscle activation levels during eight stabilization exercises used in the functional kinetics concept: A controlled laboratory study. J. Back Musculoskelet. Rehabil. 2017, 30, 497–508. [Google Scholar] [CrossRef]
- Coulombe, B.J.; Games, K.E.; Neil, E.R.; Eberman, L.E. Core Stability Exercise Versus General Exercise for Chronic Low Back Pain. J. Athl. Train. 2017, 52, 71–72. [Google Scholar] [CrossRef]
- Namnaqani, F.I.; Mashabi, A.S.; Yaseen, K.M.; Alshehri, M.A. The effectiveness of McKenzie method compared to manual therapy for treating chronic low back pain: A systematic review. J. Musculoskelet Neuronal. Interact. 2019, 19, 492–499. [Google Scholar]
- Kulig, K.; Beneck, G.J.; Selkowitz, D.M.; Popovich, J.M., Jr.; Ge, T.T.; Flanagan, S.P.; Poppert, E.M.; Yamada, K.A.; Powers, C.M.; Azen, S.; et al. An intensive, progressive exercise program reduces disability and improves functional performance in patients after single-level lumbar microdiskectomy. Phys. Ther. 2009, 89, 1145–1157. [Google Scholar] [CrossRef]
- Zhang, R.; Zhang, S.J.; Wang, X.J. Postoperative functional exercise for patients who underwent percutaneous transforaminal endoscopic discectomy for lumbar disc herniation. Eur. Rev. Med. Pharmacol. Sci. 2018, 22, 15–22. [Google Scholar] [CrossRef]
- Abdi, A.; Bagheri, S.R.; Shekarbeigi, Z.; Usefvand, S.; Alimohammadi, E. The effect of repeated flexion-based exercises versus extension-based exercises on the clinical outcomes of patients with lumbar disk herniation surgery: A randomized clinical trial. Neurol. Res. 2023, 45, 28–40. [Google Scholar] [CrossRef]
- Rasmussen-Barr, E.; Held, U.; Grooten, W.J.; Roelofs, P.D.; Koes, B.W.; van Tulder, M.W.; Wertli, M.M. Non-steroidal anti-inflammatory drugs for sciatica. Cochrane Database Syst. Rev. 2016, 10, CD012382. [Google Scholar] [CrossRef]
- Migliorini, F.; Maffulli, N.; Eschweiler, J.; Betsch, M.; Catalano, G.; Driessen, A.; Tingart, M.; Baroncini, A. The pharmacological management of chronic lower back pain. Expert Opin. Pharmacother. 2021, 22, 109–119. [Google Scholar] [CrossRef]


| Exercise Group (n = 20) | Control Group (n = 17) | p Value | ||
|---|---|---|---|---|
| Sex, male/female | 7/13 | 5/12 | 0.717 a | |
| Age | 59.50 ± 13.65 | 66.41 ± 9.69 | 0.090 b | |
| Diagnosis | 0.213 | |||
| Disc herniation | 13 | 9 | ||
| Spinal stenosis | 7 | 6 | ||
| Spondylolisthesis | 0 | 2 | ||
| Level | 0.612 a | |||
| L1–L4 | 3 | 3 | ||
| L4–S1 | 17 | 14 | ||
| Surgery | 0.132 a | |||
| Discectomy | 13 | 9 | ||
| Laminectomy | 7 | 5 | ||
| Fusion | 0 | 3 | ||
| Medical history | ||||
| Diabetes | 5 | 8 | 0.161 a | |
| Hypertension | 8 | 9 | 0.431 a | |
| Others | 2 | 1 | 0.562 c | |
| Affected side of leg, right/left | 11:9 | 7:10 | 0.402 a | |
| Alcohol, yes/no | 9/11 | 4/13 | 0.300 c | |
| Smoking, yes/no | 6/14 | 1/16 | 0.097 | |
| Interval from surgery to treatment initiation (days) | 17.0 (IQR, 13.5–29.0) | 12.0 (IQR, 6.0–28.0) | 0.125 d |
| Exercise Group (n = 20) | Control Group (n = 17) | p Value | |
|---|---|---|---|
| Serum glucose (mg/dL) | 107.15 ± 14.57 | 128.14 ± 44.29 | 0.108 a |
| High density lipoprotein cholesterol (mg/dL) | 51.95 ± 14.24 | 50.78 ± 10.65 | 0.808 a |
| Total cholesterol (mg/dL) | 167.75 ± 24.02 | 154.82 ± 31.81 | 0.256 a |
| Triglyceride (mg/dL) | 146.55 ± 105.86 | 150.67 ± 139.62 | 0.939 a |
| Blood urea nitrogen (mg/dL) | 14.55 ± 7.39 | 16.15 ± 7.30 | 0.520 a |
| Creatinine (mg/dL) | 0.85 ± 0.46 | 0.079 ± 0.34 | 0.658 a |
| Aspartate aminotransferase (U/L) | 26.20 ± 10.73 | 21.69 ± 6.94 | 0.137 a |
| Alanine aminotransferase (U/L) | 21.60 ± 11.15 | 21.19 ± 11.47 | 0.914 a |
| Gamma-glutamyltranspeptidase (U/L) | 31.10 ± 22.19 | 27.88 ± 25.39 | 0.692 a |
| Hemoglobin (g/dL) | 12.37 ± 1.29 | 11.51 ± 1.55 | 0.110 a |
| Hematocrit (%) | 37.02 ± 4.02 | 34.75 ± 4.64 | 0.133 a |
| White blood cell (/mm3) | 7027.50 ± 2926.94 | 6088.80 ± 1441.43 | 0.219 a |
| Platelet (/mm3) | 247.85 ± 49.50 | 293.00 ± 110.19 | 0.123 a |
| High-sensitivity C-reactive protein (mg/dL) | 0.21 (IQR, 0.06–10.50) | 0.05 (IQR, 0.05–0.06) | 0.651 b |
| Erythrocyte sedimentation rate (mm/h) | 5.50 (IQR 2.00–10.50) | 4.00 (IQR, 2.00–6.00) | 0.277 b |
| Exercise Group (n = 20) | Control Group (n = 17) | p Value | ||
|---|---|---|---|---|
| Height (cm) | 161.91 ± 7.54 | 160.18 ± 8.67 | 0.525 | |
| Weight (kg) | ||||
| Baseline | 64.09 ± 10.81 | 65.24 ± 10.04 | 0.743 | |
| 4 weeks | 64.19 ± 10.49 | 65.35 ± 9.58 | 0.730 | |
| 8 weeks | 64.31 ± 10.61 | 64.85 ± 10.95 | 0.888 | |
| 12 weeks | 64.46 ± 10.90 | 65.54 ± 10.38 | 0.762 | |
| Change (%) | 0.62 ± 2.32 | 1.26 ± 4.43 | 0.616 | |
| Body mass index (kg/m2) | ||||
| Baseline | 24.35 ± 2.64 | 25.49 ± 331 | 0.272 | |
| 4 weeks | 24.39 ± 2.57 | 26.55 ± 3.22 | 0.249 | |
| 8 weeks | 24.42 ± 2.63 | 24.91 ± 3.53 | 0.674 | |
| 12 weeks | 24.48 ± 2.75 | 25.48 ± 3.47 | 0.354 | |
| Change (%) | 0.62 ± 2.33 | 1.26 ± 4.43 | 0.616 | |
| Total muscle mass (kg) | ||||
| Baseline | 24.02 ± 5.26 | 24.11 ± 4.19 | 0.951 | |
| 4 weeks | 23.95 ± 5.03 | 24.26 ± 4.08 | 0.838 | |
| 8 weeks | 24.11 ± 5.02 | 24.47 ± 4.69 | 0.834 | |
| 12 weeks | 24.19 ± 5.07 | 24.33 ± 4.59 | 0.934 | |
| Change (%) | 0.74 ± 2.38 | 0.91 ± 5.06 | 0.461 | |
| Total body fat (kg) | ||||
| Baseline | 19.75 ± 4.88 | 20.26 ± 8.03 | 0.828 | |
| 4 weeks | 19.98 ± 5.07 | 20.19 ± 7.16 | 0.919 | |
| 8 weeks | 19.90 ± 4.82 | 19.53 ± 7.05 | 0.870 | |
| 12 weeks | 19.96 ± 4.95 | 20.47 ± 6.20 | 0.791 | |
| Change (%) | 1.06 ± 7.94 | 1.03 ± 6.56 | 0.145 | |
| Total body fat percentage (%) | ||||
| Baseline | 30.39 ± 6.73 | 30.38 ± 9.48 | 0.997 | |
| 4 weeks | 31.14 ± 6.46 | 30.46 ± 8.66 | 0.796 | |
| 8 weeks | 30.94 ± 5.89 | 29.74 ± 8.29 | 0655 | |
| 12 weeks | 30.96 ± 5.81 | 31.02 ± 7.32 | 0.979 | |
| Change (%) | 3.10 ± 11.51 | 7.66 ± 14.23 | 0.330 |
| Exercise Group (n = 20) | Control Group (n = 17) | p Value | ||
|---|---|---|---|---|
| VAS | ||||
| Baseline | 6.0 (IQR 3.25–7.0) | 5.0 (IQR 4.0–7.0) | 0.916 | |
| 4 weeks | 3.0 (IQR 1.25–4.75) | 4.0 (IQR 3.0–5.5) | 0.125 | |
| 8 weeks | 2.0 (IQR 1.0–3.0) | 3.0 (IQR 3.0–6.0) | 0.005 | |
| 12 weeks | 2.0 (IQR 1.0–2.0) | 4.0 (IQR 3.0–5.0) | <0.001 | |
| Improvement (%) | 66.67 (IQR, 57.14–86.46) | 20.00 (IQR, 0.00–53.57) | <0.001 | |
| EQ-5D-5L | ||||
| Baseline | 12.5 (IQR, 10.0–15.0) | 14.0 (IQR, 10.0–15.0) | 0.598 | |
| 4 weeks | 10.0 (IQR, 7.0–12.0) | 11.0 (IQR, 8.0–14.0) | 0.220 | |
| 8 weeks | 8.0 (IQR, 6.0–9.0) | 11.0 (IQR, 9.0–12.5) | 0.004 | |
| 12 weeks | 6.0 (IQR, 5.25–7.75) | 11.0 (IQR, 6.5–13.0) | 0.017 | |
| Improvement (%) | 45.56 (IQR, 31.43–53.85) | 20.00 (IQR, 6.46–43.75) | 0.039 |
| Exercise Group (n = 20) | Control Group (n = 17) | p Value * | ||
|---|---|---|---|---|
| ROM flexion (°) | ||||
| Baseline | 43.0 (IQR, 28.0–54.0) | 30.5(IQR, 26. –36.0) | 0.104 | |
| 4 weeks | 58.0 (IQR, 49.0–65.0) | 40.0 (IQR, 33.0–50.5) | 0.002 | |
| 8 weeks | 65.0 (IQR, 54.0–77.0) | 43.5 (IQR, 38.2–52.5) | 0.002 | |
| 12 weeks | 80.0 (IQR, 60.0–85.0) | 51.0 (IQR, 43.0–68.7) | <0.001 | |
| Change (%) | 77.0 (IQR, 32.2–163.6) | 64.7 (IQR, 19.4–132.1) | 0.369 | |
| p value † | <0.001 | 0.001 | ||
| ROM extension (°) | ||||
| Baseline | 19.0 (IQR, 15.0–23.0) | 16.0 (IQR, 11.0–20.7) | 0.341 | |
| 4 weeks | 22.0 (IQR, 18.0–26.0) | 20.5 (IQR, 10.75–25.5) | 0.442 | |
| 8 weeks | 26.0 (IQR, 20.0–30.0) | 20.5 (IQR, 15.7–24.0) | 0.200 | |
| 12 weeks | 29.0 (IQR, 26.0–32.0) | 22.5 (IQR, 17.2–25.5) | <0.001 | |
| Change (%) | 57.8 (IQR, 26.0–111.1) | 43.9 (IQR, 17.2–88.6) | 0.178 | |
| p value † | <0.001 | 0.024 | ||
| Flexion strength (kg) | ||||
| Baseline | 13.9 (IQR, 12.2–15.8) | 13.0 (IQR, 9.65–16.8) | 0.537 | |
| 4 weeks | 16.4 (IQR, 13.5–19.0) | 15.9 (IQR, 13.9–17.2) | 0.407 | |
| 8 weeks | 17.1 (IQR, 14.2–21.4) | 16.65 (IQR, 16.0–20.2) | 0.305 | |
| 12 weeks | 17.5 (IQR, 15.1–21.9) | 17.5 (IQR, 15.0–20.6) | 0.168 | |
| Change (%) | 20.8 (IQR, 9.5–49.5) | 39.1 (IQR, 9.1–74.9) | 0.912 | |
| p value † | 0.002 | 0.031 | ||
| Extension strength (kg) | ||||
| Baseline | 15.1 (IQR, 13.8–20.85) | 16.5 (IQR, 12.35–20.65) | 0.619 | |
| 4 weeks | 19.5 (IQR, 17.5–22.6) | 19.8 (IQR, 14.4–22.7) | 0311 | |
| 8 weeks | 22.2 (IQR, 18.2–25.0) | 22.75 (IQR, 20.8–25.4) | 0.626 | |
| 12 weeks | 23.2 (IQR, 19.8–24.3) | 22.9 (IQR, 19.8–27.0) | 0.626 | |
| Change (%) | 42.3 (IQR, 6.5–68.2) | 47.4 (IQR, 17.3–71.0) | 0.741 | |
| p value † | <0.001 | 0.013 | ||
| Flexion endurance (second) | ||||
| Baseline | 78.2 (IQR, 18.4–120.0) | 90.0 (IQR, 37.1–120.0) | 0.298 | |
| 4 weeks | 120.0 (IQR, 65.0–120.0) | 62.0 (IQR, 28.1–120.0) | 0.987 | |
| 8 weeks | 120.0 (IQR, 66.0–120.0) | 120.0 (IQR, 56.8–120.0) | 0.912 | |
| 12 weeks | 120.0 (IQR, 90.0–120.0) | 120.0 (IQR, 93.1–120.0) | 1.000 | |
| Change (%) | 53.4 (IQR, 0–140.0) | 0.0 (IQR, 0–147.3) | 0.169 | |
| p value † | 0.003 | 0.263 | ||
| Extension endurance (second) | ||||
| Baseline | 110.4 (IQR, 43.0–120.0) | 90.5 (IQR, 28.7–120.0) | 0.987 | |
| 4 weeks | 120.0 (IQR, 64.0–120.0) | 97.1 (IQR, 25.9–120.0) | 0.730 | |
| 8 weeks | 120.0 (IQR, 94.0–120.0) | 120.0 (IQR, 71.8–120.0) | 0.838 | |
| 12 weeks | 120.0 (IQR, 100.0–120.0) | 120.0 (IQR, 81.3–120.0) | 0.962 | |
| Change (%) | 8.7 (IQR, 0–79.34) | 6.1 (IQR, 0–219.6) | 0.743 | |
| p value † | 0.039 | 0.221 | ||
| Flexibility (cm) | ||||
| Baseline | 0.8 (IQR, −17.0–8.6) | −4.7 (IQR, −11.0–1.15) | 0.464 | |
| 4 weeks | 1.0 (IQR, −6.6–10.5) | 0.25 (IQR, −6.10–5.60) | 0.369 | |
| 8 weeks | 2.3 (IQR, −1.9–14.4) | −1.1 (IQR, −4.7–7.0) | 0.305 | |
| 12 weeks | 7.1 (IQR, 0.1–10.2) | 2.3 (IQR, −3.8–9.2) | 0.320 | |
| Change (cm) | 7.75 (IQR, 0.13–17.60) | 5.70 (IQR, 1.35–10.95) | 0.537 | |
| p value † | 0.233 | 0.089 | ||
| 6-min walking (m) | ||||
| Baseline | 420.0 (IQR, 390.0–455.0) | 376.5 (IQR, 240.0–413.2) | 0.028 | |
| 4 weeks | 480.0 (IQR, 450.0–533.0) | 409.5 (IQR, 312.5–501.1) | 0.009 | |
| 8 weeks | 513.0 (IQR, 486.0–548.0) | 403.5 (IQR, 337.5–496.8) | 0.002 | |
| 12 weeks | 553.0 (IQR, 506.0–620.0) | 388.8(IQR, 337.5–520.9) | <0.001 | |
| Change (%) | 34.6 (IQR, 23.4–46.1) | 24.3 (IQR, −9.4–61.4) | 0.542 | |
| p value † | <0.001 | 0.272 | ||
| Single stance_normal side (second) | ||||
| Baseline | 28.1 (IQR, 5.8–47.5) | 4.0 (IQR, 1.67–19.18) | 0.002 | |
| 4 weeks | 63.0 (IQR, 8.68–120.0) | 7.4 (IQR, 3.81–20.65) | 0.008 | |
| 8 weeks | 80.0 (IQR, 713.0–120.0) | 5.3 (IQR, 3.07–25.53) | <0.001 | |
| 12 weeks | 58.9 (IQR, 22.4–120.0) | 7.9 (IQR, 2.56–21.92) | 0.002 | |
| Change (%) | 128.8 (IQR, 23.7–326.7) | 62.2 (IQR, −22.0–254.0) | 0.400 | |
| p value † | 0.214 | 0.280 | ||
| Single stance_affected side (second) | ||||
| Baseline | 9.76 (IQR, 2.82–63.8) | 3.61 (IQR, 1.66–23.66) | 0.028 | |
| 4 weeks | 62.00 (IQR, 4.32–112.0) | 4.02 (IQR, 1.71–13.34) | <0.001 | |
| 8 weeks | 70.00 (IQR, 8.29–100.79) | 4.71 (IQR, 2.42–30.06) | <0.001 | |
| 12 weeks | 70.00 (IQR, 7.20–120.0) | 4.74 (IQR, 2.72–8.03) | <0.001 | |
| Change (%) | 280.9 (IQR, 23.7–326.7) | 48.7 (IQR, −22.0–254.0) | <0.001 | |
| p value † | 0.028 | 0.834 | ||
| Coordination (second) | ||||
| Baseline | 7.44 (IQR, 6.60–9.12) | 8.42 (IQR, 6.53–15.25) | 0.017 | |
| 4 weeks | 6.52 (IQR, 6.16–7.33) | 7.47 (IQR, 6.54–11.79) | 0.012 | |
| 8 weeks | 6.11 (IQR, 5.50–6.39) | 7.38 (IQR, 6.32–11.63) | <0.001 | |
| 12 weeks | 5.94 (IQR, 5.42–6.26) | 7.09 (IQR, 6.12–10.06) | <0.001 | |
| Change (%) | −21.1 (IQR, −31.1–−7.2) | −15.7 (IQR, −48.8–4.0) | 0.888 | |
| p value † | <0.001 | 0.134 | ||
| Gait pattern_normal side (% of gait cycle) | ||||
| Baseline | 40.0 (IQR, 36.0–46.0) | 39.0 (IQR, 36.0–43.5) | 0.472 | |
| 4 weeks | 41.0 (IQR, 40.0–44.0) | 38.5 (IQR, 35.0–39.7) | 0.254 | |
| 8 weeks | 41.0 (IQR, 39.0–43.0) | 40.0 (IQR, 38.5–42.0) | 0.723 | |
| 12 weeks | 42.0 (IQR, 41.0–43.0) | 40.0 (IQR, 38.25–43.0) | 0.179 | |
| Change (%) | 2.38 (IQR, −7.50–11.11) | 2.54 (IQR, −4.76–16.01) | 0.826 | |
| p value † | 0.731 | 0.453 | ||
| Gait pattern_affected side (% of gait cycle) | ||||
| Baseline | 36.0 (IQR, 32.0–37.0) | 35.5 (IQR, 33.5–37.0) | 0.791 | |
| 4 weeks | 37.0 (IQR, 36.0–40.0) | 38.0 (IQR, 35.5–39.7) | 0.623 | |
| 8 weeks | 39.0 (IQR, 36.0–41.0) | 37.0 (IQR, 36.0–38.7) | 0.950 | |
| 12 weeks | 41.0 (IQR, 40.0–42.0) | 39.0 (IQR, 36.2–40.7) | 0.190 | |
| Change (%) | 16.2 (IQR, 5.2–25.0) | 10.1 (IQR, 1.3–18.4) | 0.535 | |
| p value † | 0.001 | 0.172 |
Disclaimer/Publisher’s Note: The statements, opinions and data contained in all publications are solely those of the individual author(s) and contributor(s) and not of MDPI and/or the editor(s). MDPI and/or the editor(s) disclaim responsibility for any injury to people or property resulting from any ideas, methods, instructions or products referred to in the content. |
© 2025 by the authors. Licensee MDPI, Basel, Switzerland. This article is an open access article distributed under the terms and conditions of the Creative Commons Attribution (CC BY) license (https://creativecommons.org/licenses/by/4.0/).
Share and Cite
Son, S.; Park, H.B.; Kong, K.S.; Yoo, B.R.; Kim, W.K.; Sim, J.A. Comparison of Guided Exercise and Self-Paced Exercise After Lumbar Spine Surgery: A Randomized Controlled Trial. Life 2025, 15, 1070. https://doi.org/10.3390/life15071070
Son S, Park HB, Kong KS, Yoo BR, Kim WK, Sim JA. Comparison of Guided Exercise and Self-Paced Exercise After Lumbar Spine Surgery: A Randomized Controlled Trial. Life. 2025; 15(7):1070. https://doi.org/10.3390/life15071070
Chicago/Turabian StyleSon, Seong, Han Byeol Park, Kyeong Sik Kong, Byung Rhae Yoo, Woo Kyung Kim, and Jae Ang Sim. 2025. "Comparison of Guided Exercise and Self-Paced Exercise After Lumbar Spine Surgery: A Randomized Controlled Trial" Life 15, no. 7: 1070. https://doi.org/10.3390/life15071070
APA StyleSon, S., Park, H. B., Kong, K. S., Yoo, B. R., Kim, W. K., & Sim, J. A. (2025). Comparison of Guided Exercise and Self-Paced Exercise After Lumbar Spine Surgery: A Randomized Controlled Trial. Life, 15(7), 1070. https://doi.org/10.3390/life15071070

