Prevalence and Prognostic Significance of Chloride Levels in Patients with Acute Medical Conditions: A Prospective Observational Study
Abstract
1. Introduction
2. Materials and Methods
2.1. Study Design
2.2. Data Source
2.3. Participants
2.4. Collected Variables
2.5. Outcome Criteria
2.6. Statistical Analysis
2.7. Results
3. Discussion
3.1. Strengths of the Study
3.2. Limitations of the Study
3.3. Clinical Implications of the Findings
4. Conclusions
Supplementary Materials
Author Contributions
Funding
Institutional Review Board Statement
Informed Consent Statement
Data Availability Statement
Acknowledgments
Conflicts of Interest
References
- Bandak, G.; Kashani, K.B. Chloride in intensive care units: A key electrolyte. F1000Research 2017, 6, 1930. [Google Scholar] [CrossRef] [PubMed]
- Tani, M.; Morimatsu, H.; Takatsu, F.; Morita, K. The incidence and prognostic value of hypochloremia in critically ill patients. Sci. World J. 2012, 2012, 474185. [Google Scholar] [CrossRef] [PubMed]
- Kimura, S.; de la Hoz, M.A.A.; Raines, N.H.; Celi, L.A. Association of Chloride Ion and Sodium-Chloride Difference With Acute Kidney Injury and Mortality in Critically Ill Patients. Crit. Care Explor. 2020, 2, e0247. [Google Scholar] [CrossRef]
- Zandijk, A.J.L.; van Norel, M.R.; Julius, F.E.C.; Sepehrvand, N.; Pannu, N.; McAlister, F.A.; Voors, A.A.; Ezekowitz, J.A. Chloride in Heart Failure: The Neglected Electrolyte. JACC Heart Fail. 2021, 9, 904–915. [Google Scholar] [CrossRef] [PubMed]
- Kondo, T.; Yamada, T.; Tamaki, S.; Morita, T.; Furukawa, Y.; Iwasaki, Y.; Kawasaki, M.; Kikuchi, A.; Ozaki, T.; Sato, Y.; et al. Serial Change in Serum Chloride During Hospitalization Could Predict Heart Failure Death in Acute Decompensated Heart Failure Patients. Circ. J. 2018, 82, 1041–1050. [Google Scholar] [CrossRef]
- Thongprayoon, C.; Cheungpasitporn, W.; Petnak, T.; Mao, M.A.; Chewcharat, A.; Qureshi, F.; Medaura, J.; Bathini, T.; Vallabhajosyula, S.; Kashani, K.B. Hospital-Acquired Serum Chloride Derangements and Associated In-Hospital Mortality. Medicines 2020, 7, 38. [Google Scholar] [CrossRef]
- Ter Maaten, J.M.; Damman, K.; Hanberg, J.S.; Givertz, M.M.; Metra, M.; O’Connor, C.M.; Teerlink, J.R.; Ponikowski, P.; Cotter, G.; Davison, B.; et al. Hypochloremia, diuretic resistance, and outcome in patients with acute heart failure. Circ. Heart Fail. 2016, 9, e003109. [Google Scholar] [CrossRef]
- Mao, W.; Wu, J.; Zhang, H.; Zhou, J.; Ye, B.; Li, G.; Gao, L.; Li, X.; Ke, L.; Tong, Z.; et al. Increase in serum chloride and chloride exposure are associated with acute kidney injury in moderately severe and severe acute pancreatitis patients. Pancreatology 2019, 19, 136–142. [Google Scholar] [CrossRef]
- Grodin, J.L.; Sun, J.L.; Anstrom, K.J.; Chen, H.H.; Starling, R.C.; Testani, J.M.; Tang, W.H. Implications of serum chloride homeostasis in acute heart failure (from ROSE-AHF). Am. J. Cardiol. 2017, 119, 78–83. [Google Scholar] [CrossRef]
- Grodin, J.L.; Simon, J.; Hachamovitch, R.; Wu, Y.; Jackson, G.; Halkar, M.; Starling, R.C.; Testani, J.M.; Tang, W.H. Prognostic role of serum chloride levels in acute decompensated heart failure. J. Am. Coll. Cardiol. 2015, 66, 659–666. [Google Scholar] [CrossRef]
- Seo, M.; Watanabe, T.; Yamada, T.; Yano, M.; Hayashi, T.; Nakagawa, A.; Nakagawa, Y.; Tamaki, S.; Yasumura, Y.; Sotomi, Y.; et al. Prognostic significance of serum chloride level in heart failure patients with preserved ejection fraction. ESC Heart Fail. 2022, 9, 1444–1453. [Google Scholar] [CrossRef]
- Grodin, J.L.; Verbrugge, F.H.; Ellis, S.G.; Mullens, W.; Testani, J.M.; Tang, W.H. Importance of abnormal chloride homeostasis in stable chronic heart failure. Circ. Heart Fail. 2016, 9, e002453. [Google Scholar] [CrossRef] [PubMed]
- Bellino, M.C.; Massari, F.; Albanese, M.; Ursi, R.; Angelini, G.; Lisi, F.; Amato, L.; Scicchitano, P.; Guida, P.; Brunetti, N.D.; et al. Baseline and incident hypochloremia in chronic heart failure outpatients: Clinical correlates and prognostic role. Eur. J. Intern. Med. 2021, 84, 32–37. [Google Scholar] [CrossRef] [PubMed]
- Huang, H.; Liu, J.; Liang, Y.; Bao, K.; Qiao, L.; Liu, J.; Li, Q.; Wang, B.; Chen, S.; Lai, W.; et al. Prevalence and Mortality of Hypochloremia Among Patients Suffering From Coronary Artery Disease and Congestive Heart Failure: An Analysis of Patients in CIN-I and MIMIC-III Databases. Front. Med. 2021, 8, 769646. [Google Scholar] [CrossRef] [PubMed]
- Prins, K.W.; Kalra, R.; Rose, L.; Assad, T.R.; Archer, S.L.; Bajaj, N.S.; Weir, E.K.; Prisco, S.Z.; Pritzker, M.; Lutsey, P.L.; et al. Hypochloremia Is a Noninvasive Predictor of Mortality in Pulmonary Arterial Hypertension. J. Am. Heart Assoc. 2020, 9, e015221. [Google Scholar] [CrossRef]
- Jin, X.; Li, J.; Ren, J.; Gao, Y.; Li, R.; Zhang, J.; Wang, X.; Wang, G. Effect of initial serum chloride level on the association between intravenous chloride load and mortality in critically ill patients: A retrospective cohort study. J. Crit. Care 2022, 69, 154002. [Google Scholar] [CrossRef]
- Yılmaz, H.; Güney, B.Ç. Evaluation of the effect of hyperchloremia on the prognosis and mortality of medical intensive care patients: A single-center study. Turk. J. Med. Sci. 2022, 52, 1689–1696. [Google Scholar] [CrossRef]
- Shrestha, B.M. The Declaration of Helsinki in relation to medical research: Historical and current perspectives. J. Nepal Health Res. Counc. 2012, 10, 254–257. [Google Scholar]
- Von Elm, E.; Altman, D.G.; Egger, M.; Pocock, S.J.; Gøtzsche, P.C.; Vandenbroucke, J.P. Strengthening the reporting of observational studies in epidemiology (strobe) statement: Guidelines for reporting observational studies. BMJ 2007, 335, 806–808. [Google Scholar] [CrossRef]
- Charlson, M.E.; Pompei, P.; Ales, K.L.; MacKenzie, C.R. A new method of classifying prognostic comorbidity in longitudinal studies: Development and validation. J. Chronic. Dis. 1987, 40, 373–383. [Google Scholar] [CrossRef]
- Ruan, X.; Gao, Y.; Lai, X.; Wang, B.; Wu, J.; Yu, X. Trimatch comparison of the prognosis of hypochloremia, normolchloremia and hyperchloremia in patients with septic shock. J. Formos. Med. Assoc. 2024; in press. [Google Scholar]
- Pfortmueller, C.A.; Uehlinger, D.; von Haehling, S.; Schefold, J.C. Serum chloride levels in critical illness-the hidden story. Intensive Care Med. Exp. 2018, 6, 10. [Google Scholar] [CrossRef] [PubMed]
- Soussi, S.; Ferry, A.; Chaussard, M.; Legrand, M. Chloride toxicity in critically ill patients: What’s the evidence? Anaesth. Crit. Care Pain Med. 2017, 36, 125–130. [Google Scholar] [CrossRef] [PubMed]
- Shaw, A.D.; Raghunathan, K.; Peyerl, F.W.; Munson, S.H.; Paluszkiewicz, S.M.; Schermer, C.R. Association between intravenous chloride load during resuscitation and in-hospital mortality among patients with SIRS. Intensive Care Med. 2014, 40, 1897–1905. [Google Scholar] [CrossRef] [PubMed]
- Evans, L.; Rhodes, A.; Alhazzani, W.; Antonelli, M.; Coopersmith, C.M.; French, C.; Machado, F.R.; McIntyre, L.; Ostermann, M.; Prescott, H.C.; et al. Surviving sepsis campaign: International guidelines for management of sepsis and septic shock 2021. Intensive Care Med. 2021, 47, 1181–1247. [Google Scholar] [CrossRef]
- Yang, H.; Huang, L.Y.; Zeng, D.Y.; Huang, E.W.; Liang, S.J.; Tang, Y.B.; Su, Y.X.; Tao, J.; Shang, F.; Wu, Q.Q.; et al. Decrease of intracellular chloride concentration promotes endothelial cell inflammation by activating nuclear factor-κB pathway. Hypertension 2012, 60, 1287–1293. [Google Scholar] [CrossRef]
- Kaptoge, S.; Seshasai, S.R.; Gao, P.; Freitag, D.F.; Butterworth, A.S.; Borglykke, A.; Di Angelantonio, E.; Gudnason, V.; Rumley, A.; Lowe, G.D.; et al. Inflammatory cytokines and risk of coronary heart disease: New prospective study and updated meta-analysis. Eur. Heart J. 2014, 35, 578–589. [Google Scholar] [CrossRef]
- Aiken, M.L.; Painter, R.G.; Zhou, Y.; Wang, G. Chloride transport in functionally active phagosomes isolated from Human neutrophils. Free. Radic. Biol. Med. 2012, 53, 2308–2317. [Google Scholar] [CrossRef]
- Sun, Y.T.; Shieh, C.C.; Delpire, E.; Shen, M.R. K–Cl cotransport mediates the bactericidal activity of neutrophils by regulating NADPH oxidase activation. J. Physiol. 2012, 590, 3231–3243. [Google Scholar] [CrossRef]
- Nauseef, W.M. Myeloperoxidase in human neutrophil host defence. Cell. Microbiol. 2014, 16, 1146–1155. [Google Scholar] [CrossRef]
- Painter, R.G.; Bonvillain, R.W.; Valentine, V.G.; Lombard, G.A.; LaPlace, S.G.; Nauseef, W.M.; Wang, G. The role of chloride anion and CFTR in killing of Pseudomonas aeruginosa by normal and CF neutrophils. J. Leukoc. Biol. 2008, 83, 1345–1353. [Google Scholar] [CrossRef]
- Radulović, B.; Potočnjak, I.; Dokoza Terešak, S.; Trbušić, M.; Vrkić, N.; Malogorski, D.; Starčević, N.; Milošević, M.; Frank, S.; Degoricija, V. Hypochloraemia as a predictor of developing hyponatraemia and poor outcome in acute heart failure patients. Int. J. Cardiol. 2016, 212, 237–241. [Google Scholar] [CrossRef] [PubMed]
- Marttinen, M.; Wilkman, E.; Petaja, L.; Suojaranta-Ylinen, R.; Pettila, V.; Vaara, S.T. Association of plasma chloride values with acute kidney injury in the critically ill—A prospective observational study. Acta Anaesthesiol. Scand. 2016, 60, 790–799. [Google Scholar] [CrossRef] [PubMed]
- Commereuc, M.; Nevoret, C.; Radermacher, P.; Katsahian, S.; Asfar, P.; Schortgen, F. Hyperchloremia is not associated with AKI or death in septic shock patients: Results of a post hoc analysis of the “HYPER2S” trial. Ann. Intensive Care 2019, 9, 95. [Google Scholar] [CrossRef] [PubMed]
- Boniatti, M.M.; Cardoso, P.R.; Castilho, R.K.; Vieira, S.R. Is hyperchloremia associated with mortality in critically ill patients? A prospective cohort study. J. Crit. Care 2011, 26, 175–179. [Google Scholar] [CrossRef]
- Neyra, J.A.; Canepa-Escaro, F.; Li, X.; Manllo, J.; Adams-Huet, B.; Yee, J.; Yessayan, L. Association of Hyperchloremia with Hospital Mortality in critically ill septic patients. Crit. Care Med. 2015, 43, 1938–1944. [Google Scholar] [CrossRef]
- leischmann-Struzek, C.; Mellhammar, L.; Rose, N.; Cassini, A.; Rudd, K.E.; Schlattmann, P.; Allegranzi, B.; Reinhart, K. Incidence and mortality of hospital- and ICUtreated sepsis: Results from an updated and expanded systematic review and meta-analysis. Intensive Care Med. 2020, 46, 1552–1562. [Google Scholar] [CrossRef]
- Riley, R.D.; Hayden, J.A.; Steyerberg, E.W.; Moons, K.G.; Abrams, K.; Kyzas, P.A.; Malats, N.; Briggs, A.; Schroter, S.; Altman, D.G.; et al. Prognosis Research Strategy (PROGRESS) 2: Prognostic factor research. PLoS Med. 2013, 10, e1001380. [Google Scholar] [CrossRef]




| Characteristics | (n = 798) |
|---|---|
| Socio-demographic characteristics | |
| Age, years | 57.3 ± 18.6 |
| Age > 65 years | 294 (36.8%) |
| Sex, male n (%) | 414 (51.9%) |
| Comorbidities, n (%) | |
| Chronic diseases | 509 (63.8%) |
| High blood pressure, mmhg | 237 (29.7%) |
| Heart failure | 149 (18.7%) |
| Diabetes mellitus | 239 (29.9%) |
| Chronic kidney injury | 68 (8.5%) |
| Cancer | 28 (3.5%) |
| Diuretics use | 138 (17.3%) |
| Clinical characteristics | |
| Charlson score | 2 [0–3] |
| Mean arterial pressure, mmHg | 87.4 ± 15.6 |
| Heart rate, beats/minute | 91 ± 18.3 |
| Respiratory rate, cycles/minute | 22.6 ± 5.6 |
| Temperature, °C | 37.3 ± 0.7 |
| Characteristics | n = 798 |
|---|---|
| Biological characteristics | |
| Chloride, mmol/L | 101 ± 6.9 |
| Sodium, mmol/L | 136 ± 6.2 |
| Bicarbonate, mmol/L | 21.3 ± 5.7 |
| Urea, mmol/L | 6.6 [5–13.3] |
| Creatinine, µmol/L | 81.3 [64.5–135.2] |
| Evolutionary criteria | |
| AMU length of stay, days | 7 [4–11] |
| Hospital length of stay, days | 8 [5–14] |
| AMU mortality, n (%) | 82 (10.3%) |
| Hospital mortality, n (%) | 102 (12.8%) |
| Variables | Hypochloremia <98 mmol/L n = 215 (26.9%) | Normochloremia ≤98–106 mmol/L≤ n = 471 (59%) | Hyperchloremia >106 mmol/L n = 112 (14%) | p-Value |
|---|---|---|---|---|
| Demographic Data | ||||
| Age (mean ± SD) ** | 59.3 ± 17.1 | 56.5 ± 18.9 | 56.8 ± 19.9 | 0.183 |
| Age > 65 years (%) * | 38.6% | 36.1% | 36.6% | 0.817 |
| Male sex (%) * | 54.9% b | 53.9% | 37.5% b | 0.004 |
| Comorbidities (%) | ||||
| Chronic diseases * | 27.9% a | 39.5% a | 38.4% | 0.012 |
| Hypertension * | 32.6% | 28.3% | 30.4% | 0.521 |
| Heart failure * | 21.9% | 18.7% | 12.5% | 0.119 |
| Diabetes * | 36.7% a | 27% a | 29.5% | 0.034 |
| Chronic kidney disease * | 10.2% | 7% | 11.6% | 0.168 |
| Cance r * | 1.9% | 3% | 8.9% c | 0.003 |
| Diuretic use * | 25.6% a,b | 14.6% a | 12.5% b | <0.001 |
| Clinical Parameters | ||||
| Charlson Score *** | 2 [1–4] a | 2 [0–3] a | 2 [0–4] | 0.049 |
| Mean arterial pressure (mmHg) ** | 86.1 ± 15.5 | 88 ± 16 | 87.5 ± 14.4 | 0.370 |
| Heart rate (bpm) ** | 93.1 ± 18.1 | 90 ± 17.2 | 91.1 ± 20.7 | 0.130 |
| Respiratory rate (breaths/min) ** | 23.4 ± 5.6 b | 22.4 ± 5.5 | 21.7 ± 5.1 b | 0.014 |
| Body temperature (°C) ** | 37.5 ± 0.8 b | 37.3 ± 0.6 | 37.2 ± 0.6 b | 0.001 |
| Biological Parameters | ||||
| Chloride (mmol/L) ** | 92.3 ± 5.6 a,b | 101.9 ± 2.5 a,c | 110.1 ± 4.3 b,c | <0.001 |
| Sodium (mmol/L) ** | 131.2 ± 6.8 a,b | 136.5 ± 3.9 a,c | 141.1 ± 7.2 b,c | <0.001 |
| Bicarbonate (mmol/L) ** | 23.5 ± 6.9 a,b | 20.9 ± 4.7 a,c | 18.1 ± 5.3 b,c | <0.001 |
| Urea (mmol/L) *** | 10 [5–19.9] a | 6.6 [3.3–11.6] a,c | 8.3 [5–16.6] c | <0.001 |
| Creatinine (µmol/L) *** | 92 [69–169] a | 77 [62–119] a | 87 [65–173] | <0.001 |
| Evolutionary Criteria | ||||
| AMU length of stay *** (days) | 8 [5–13] b | 7 [4–11] | 6 [4–10] b | 0.039 |
| Hospital length of stay (days) *** | 9 [6–17] b | 8 [5–13] | 7 [4–13] b | 0.012 |
| AMU mortality (%) * | 16.7% (a,b) | 7.9% a | 8% b | 0.001 |
| Hospital mortality (%) * | 21.4% (a,b) | 10% a | 8% b | <0.001 |
| In-Hospital Mortality | Hospital Length of Stay | |
|---|---|---|
| OR (95% CI) p-Value | β (95% CI) p-Value | |
| Middle chloride level (98–106 mmol/L) | Ref | Ref |
| High chloride level (>106 mmol/L) | 0.79 (0.35; 1.76) 0.570 | −0.34 (−2.94; 2.27) 0.800 |
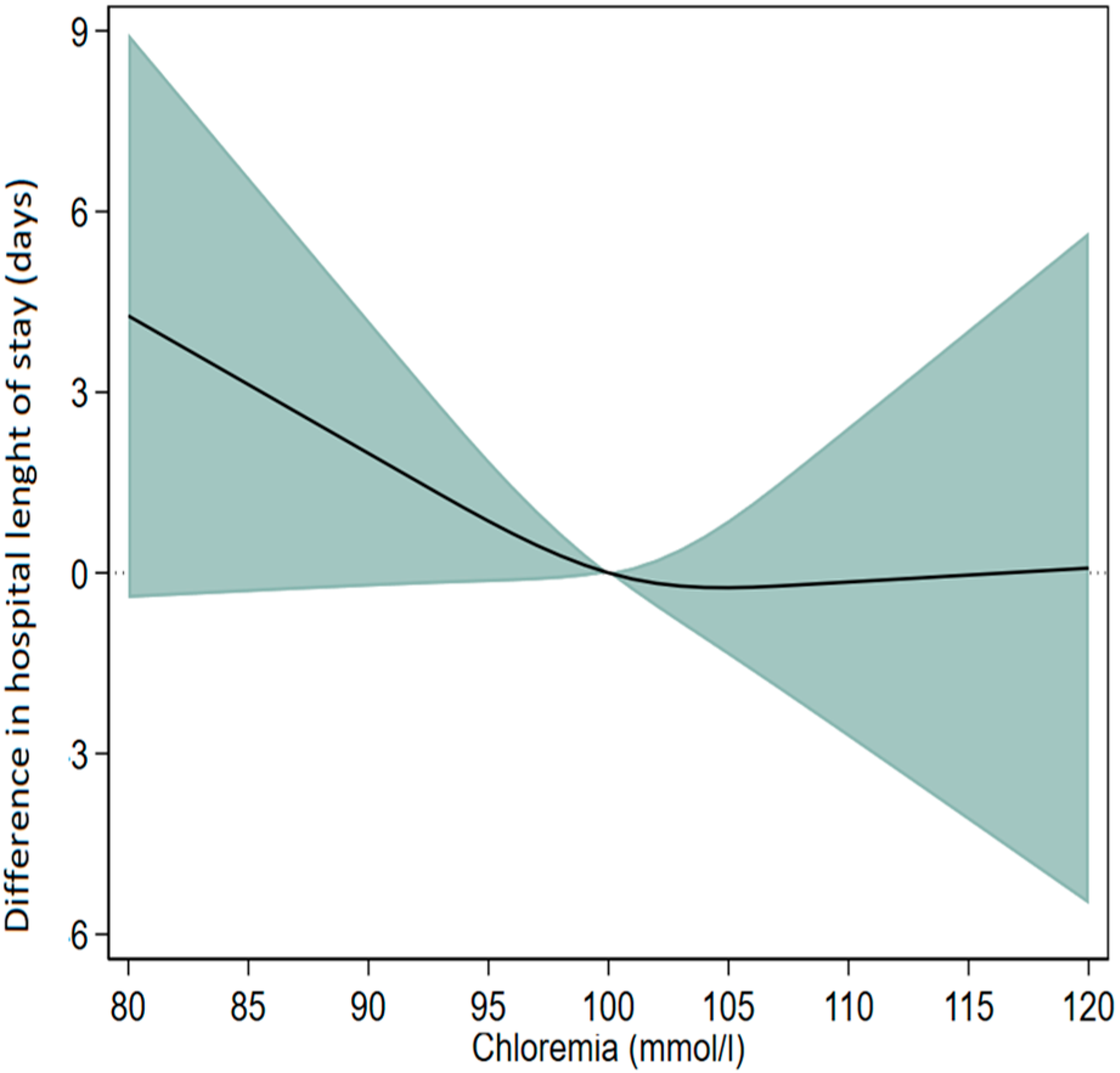
| Low chloride level (<98 mmol/L) | 2.23 (1.29; 3.86) 0.010 | 2.19 (−0.01; 4.39) 0.050 |
Disclaimer/Publisher’s Note: The statements, opinions and data contained in all publications are solely those of the individual author(s) and contributor(s) and not of MDPI and/or the editor(s). MDPI and/or the editor(s) disclaim responsibility for any injury to people or property resulting from any ideas, methods, instructions or products referred to in the content. |
© 2025 by the authors. Licensee MDPI, Basel, Switzerland. This article is an open access article distributed under the terms and conditions of the Creative Commons Attribution (CC BY) license (https://creativecommons.org/licenses/by/4.0/).
Share and Cite
Bennis Nechba, R.; Belayachi, J.; Agrou, M.; El Fahime, E.; Meknassi, N.; Louriz, M.; Madani, N.; Abouqal, R. Prevalence and Prognostic Significance of Chloride Levels in Patients with Acute Medical Conditions: A Prospective Observational Study. Life 2025, 15, 676. https://doi.org/10.3390/life15040676
Bennis Nechba R, Belayachi J, Agrou M, El Fahime E, Meknassi N, Louriz M, Madani N, Abouqal R. Prevalence and Prognostic Significance of Chloride Levels in Patients with Acute Medical Conditions: A Prospective Observational Study. Life. 2025; 15(4):676. https://doi.org/10.3390/life15040676
Chicago/Turabian StyleBennis Nechba, Rhita, Jihane Belayachi, Mina Agrou, Elmostapha El Fahime, Nawal Meknassi, Maha Louriz, Naoufel Madani, and Redouane Abouqal. 2025. "Prevalence and Prognostic Significance of Chloride Levels in Patients with Acute Medical Conditions: A Prospective Observational Study" Life 15, no. 4: 676. https://doi.org/10.3390/life15040676
APA StyleBennis Nechba, R., Belayachi, J., Agrou, M., El Fahime, E., Meknassi, N., Louriz, M., Madani, N., & Abouqal, R. (2025). Prevalence and Prognostic Significance of Chloride Levels in Patients with Acute Medical Conditions: A Prospective Observational Study. Life, 15(4), 676. https://doi.org/10.3390/life15040676

