Next Article in Journal
Origin of the RNA World in Cold Hadean Geothermal Fields Enriched in Zinc and Potassium: Abiogenesis as a Positive Fallout from the Moon-Forming Impact?
Next Article in Special Issue
Possible Enantioseparation of Racemic Ribose on Chiral Surface Formed by Adsorption of Nucleobases
Previous Article in Journal
Production of Aloe vera Phytoplacenta Extract and Potential Applications in Skincare
Previous Article in Special Issue
The Origin(s) of LUCA: Computer Simulation of a New Theory
 
 
Font Type:
Arial Georgia Verdana
Font Size:
Aa Aa Aa
Line Spacing:
Column Width:
Background:
Article

Biological, Equilibrium and Photochemical Signatures of C, N and S Isotopes in the Early Earth and Exoplanet Atmospheres

Planetary Science Institute, 1700 Fort Lowell, Tucson, AZ 85719, USA
Life 2025, 15(3), 398; https://doi.org/10.3390/life15030398
Submission received: 20 December 2024 / Revised: 24 February 2025 / Accepted: 27 February 2025 / Published: 3 March 2025
(This article belongs to the Special Issue Origin of Life in Chemically Complex Messy Environments: 2nd Edition)

Abstract

The unambiguous detection of biosignatures in exoplanet atmospheres is a primary objective for astrobiologists and exoplanet astronomers. The primary methodology is the observation of combinations of gases considered unlikely to coexist in an atmosphere or individual gases considered to be highly biogenic. Earth-like examples of the former include CH4 and O3, and the latter includes dimethyl sulfide (DMS). To improve the plausibility of the detection of life, I argue that the isotope ratios of key atmospheric species are needed. The C isotope ratios of CO2 and CH4 are especially valuable. On Earth, thermogenesis and volcanism result in a substantial difference in δ13C between atmospheric CH4 and CO2 of ~−25‰. This difference could have changed significantly, perhaps as large as −95‰ after the evolution of hydrogenotrophic methanogens. In contrast, nitrogen fixation by nitrogenase results in a relatively small difference in δ15N between N2 and NH3. Isotopic biosignatures on ancient Earth and rocky exoplanets likely coexist with much larger photochemical signatures. Extreme δ15N enrichment in HCN may be due to photochemical self-shielding in N2, a purely abiotic process. Spin-forbidden photolysis of CO2 produces CO with δ13C < −200‰, as has been observed in the Venus mesosphere. Self-shielding in SO2 may generate detectable 34S enrichment in SO in atmospheres similar to that of WASP-39b. Sufficiently precise isotope ratio measurements of these and related gases in terrestrial-type exoplanet atmospheres will require instruments with significantly higher spectral resolutions and light-collecting areas than those currently available.

1. Introduction

Stable isotope ratios are used as terrestrial biosignatures in all epochs of Earth history, from the present to the Archean, and are essential tools in astrobiology [1]. Most of these data are in situ measurements from ancient rocks. Here, my focus is on possible atmospheric isotope signatures. Models of Earth’s ancient atmosphere [2] carefully consider the evolution of atmospheric composition over time but generally do not consider the possible evolution of atmospheric isotope ratios. One of my objectives here is to estimate a plausible range of C isotope histories for the Earth’s early atmosphere. The geochemical record of C and N isotopes in ancient rocks will serve as a baseline to guide these estimates for early Earth and provide a possible framework for predicting isotopic biosignatures in the atmospheres of Earth-like exoplanets.
Several studies have been conducted on the detectability of isotope ratios in exoplanet atmospheres [3,4], including rocky planets in the Trappist-1 system [5]. Measurements have been reported for a young, directly imaged, super-Jupiter [6], and also for WASP-77b, which is a hot Jupiter [7]. In both cases, the C isotope ratio was determined for atmospheric CO, and these objects were found to be extremely enriched in 13C compared to Earth. Given the equilibrium temperatures of these two objects, they are not likely abodes for life, but their high 13C enrichment may suggest an accumulation of 13C-rich ices during formation beyond the CO snow line [6]. In addition to CO, Glidden et al. [8] have pointed out the favorability of using CO2 to determine C isotope ratios in exoplanet atmospheres.
Superimposed on any biological isotope fractionation in atmospheric molecules are photochemically induced isotope effects, with sometimes quite large isotope fractionation drive by UV photodissociation. Self-shielding is believed to be important in protoplanetary disks [9,10] and molecular cloud core [11,12] environments and is a likely mechanism for explaining the differences in C, N, and O isotope ratios for inner solar system planets compared to those of the Sun [11,13]. Self-shielding in N2 has been demonstrated to be important for 15N enrichment in nitriles in Titan’s atmosphere [14] and very likely occurred in Earth’s ancient atmosphere.
Photochemical self-shielding is an example of an abundance-dependent isotope fractionation process. Biological isotope fractionation is an example of a kinetic fractionation process driven by the mass dependence of relatively rapid biochemical reactions. In addition to these two mechanisms, equilibrium isotope fractionation is driven by differences in zero-point energies among isotopologues [15]. Equilibrium fractionation has its roots in the quantum mechanics of the harmonic oscillator for molecular bonds. These three isotope fractionation processes, equilibrium, kinetic, and abundance-dependent, encompass the majority of isotopic processes relevant to exoplanet atmospheres.
The remainder of this paper is organized as follows. I first discuss C and N isotope ratios in the modern Earth atmosphere. This is followed by model predictions for the equilibrium isotope ratios among pairs of C-containing and N-containing gases from [15]. Equilibrium isotope ratios are most relevant to warm and hot exoplanet atmospheres, but they serve as a useful benchmark for atmospheres with isotope ratios determined by photochemical or biological processes. Next, I examine how UV photochemical self-shielding in small molecules can dramatically alter C and especially N isotope ratios in photochemical products such as HCN. I also apply these ideas to S isotopes in warm Jupiters. I then address the evolution of C and N isotopes in Earth’s early atmosphere, allowing for terrestrial biological processes such as methanogenesis and nitrogen fixation. Finally, I present IR spectra of key atmospheric molecules and their isotopologues and briefly discuss the detectability of isotope ratios in exoplanet atmospheres with respect to the needed spectral resolution.
The objective of this paper is to consider the prospects of using stable isotope ratios as biosignatures in exoplanet atmospheres. The technical difficulty of astronomically observing isotope ratios is well appreciated [3,4,5,6,7], and it is unlikely that they will be useful as biosignatures on rocky worlds in the JWST era [16]. Nevertheless, isotopes offer a view of biological processes that is distinct from and complements the more usual atmospheric chemical composition arguments for biosignatures in atmospheres [17]. High-resolution spectral measurements with large telescopes will eventually make such measurements feasible, even for rocky planets.

2. C and N Isotope Ratios in the Modern Earth Atmosphere

As an example of how isotope ratios vary among molecules in the present-day atmosphere, I will first consider carbon in CO2 and CH4. Ignoring anthropogenic input, the CO2 mixing ratio is determined by the balance of CO2 emitted by volcanism and the sequestration of CO2 in marine carbonates, primarily by biological organisms. Rather than compute CO2 I will focus on the geochemcial processes that alter its isotope composition. The δ13C ratio of CO2 is determined primarily by CO2 exchange with the oceans. The massive reservoir of HCO3 in the oceans and the high exchange flux between the atmosphere and oceanic mixed layer fix the C isotope ratios in the ocean. Neglecting CO2 photolysis in the upper atmosphere, a process that is not important for tropospheric isotope ratios, δ13C for CO2 is −8.4 permil today and was about −6.5 permil in the pre-industrial atmosphere [18]. The pre-industrial δ13C value for CO2 is close to the mantle value of −5 to −8‰ [19]. Photosynthesis, respiration, and air-sea exchange all contribute to the fractionation of C isotopes. Fractionation during photosynthesis creates fixed C with δ13C values 18 and 4‰ lower than those of atmospheric CO2 for C3 and C4 plants, respectively [20]. The predominance of C3 plants (about 85%) yields a terrestrial bulk biosphere with δ13C ~−22% relative to VPDB.
Expressing the δ13C of atmospheric CO2 in terms of its sources, we have
δ 13 C ( C O 2 ) = δ 13 C ( C p l a n t ) φ p l a n t   r e s p + δ 13 C ( C O 2 , s u r f   o c e a n ) φ o c e a n   e x c h φ p l a n t   r e s p + φ o c e a n   e x c h
where φ is the CO2 flux due to either plant respiration or emissions associated with air-ocean exchange. The fluxes of C are φplant resp = 60 Gt C yr−1 and φocean exch = 90 Gt C yr−1, and the representative δ-values are −22‰ for plants and +2.5‰ for surface dissolved inorganic carbon (DIC). Air-sea exchange results in kinetic and equilibrium isotope enrichment in HCO3 relative to atmospheric CO2 of ~7–10‰ [21]. From Equation (1), the above values yield δ13C = −7.5‰ for the atmospheric CO2. Anthropogenic CO2 must also be included when computing δ13C values for the modern atmosphere [20].
To estimate the δ13C value for CH4 in the modern atmosphere, it is necessary to consider the production and loss processes. Methane is primarily a biogenic gas with a substantial anthropogenic contribution. The total source CH4 flux to the atmosphere is φ C H 4 = 540 Tg CH4 yr−1, with 2/3 due to microbial activity (wetlands, rice paddies, animals, and termites) and 1/3 due to anthropogenic activity (biomass burning, landfills, coal mining, and natural gas) [22]. The sink flux of CH4 is almost entirely oxidation in the atmosphere via the reaction
OH + CH4 → CH3 + H2O
with a rate constant
k 2 = 1.36 × 10 13 T 298 3.04 e 920 T  
The rate constant k2 has units of cm3 molec−1 s−1 and is valid from 195–1234 K [23].
Equating the sources and sinks yields
φ C H 4 = 0 t o p k 1 [ O H ] [ C H 4 ] d z
OH and, to a lesser extent, CH4 have complicated vertical profiles, which I will approximate as following the barometric law. The vertical integral in Equation (4) may then be approximated as multiplication by the atmospheric scale height
H a = k T m g
where k is the Boltzmann constant, T is the atmospheric temperature, m is the mean molecular mass, and g is the acceleration of gravity. For the modern troposphere, Ha = 8 km. Solving for the steady-state CH4 concentration yields
[ C H 4 ] = φ C H 4 k 2 [ O H ] H a
Most of the CH4 oxidation occurs in the troposphere. For a representative lower troposphere temperature of 280 K, k 2 = 4.2 × 10 15 cm3 s−1. The CH4 source flux is 540 Tg CH4 yr−1 circa 1990 [22], which corresponds to 1.3 × 10 11 molec cm−2 s−1. For a maximum OH number density in the troposphere of ~1 × 106 cm−3, the CH4 number density is 3.9 × 1013 cm−3, corresponding to a surface mole fraction of 1.5 ppm. This compares well with the 1991 atmospheric value of 1.7 ppm [24].
To compute the C isotope ratio for atmospheric CH4, I rewrite Equation (6) for 13C-specific processes. Most CH4 sources are either directly biogenic or involve the combustion of biogenic materials and will therefore produce a 13C-depleted CH4 flux compared to oceanic carbon. Additionally, oxidation reaction 2 has a rate constant that varies with the isotope. For the 13C isotopologue Equation (6) becomes
[ CH 4 13 ] = φ CH 4 13 k 2 13 [ O H ] H a
The global bulk source flux of CH4 has a δ13C of ~−53‰ [25]. This value is the weighted average of biogenic sources (wetlands, rice fields, and ruminants) with δ13C ~−70 to −50‰ and thermogenic/pyrogenic sources (biomass burning) with δ13C ~15‰ [25]. There is a kinetic isotope effect in reaction 2 that causes slower oxidation of 13CH4 by about 4‰ at 296 K [26]. The resulting CH4 isotopologue ratio is
CH 4 13 CH 4 = φ CH 4 13 φ C H 4 k 2 k 2 13
From the definition of the geochemical δ-value for the C flux, δ13C, the ratio of fluxes may be expressed as
φ CH 4 13 φ C H 4 = δ 13 C ( φ s o u r c e ) + 1 C 13 C 12 V P D B
In Equation (9), δ13C has a fractional rather than permil value, δ13C(φ) + 1 = 0.9470, and VPDB is the Vienna Peedee Belemnite isotope standard with 13C/12C = 0.011180 [27]. For k 2 k 2 13 = 1.0039 [26], Equations (8) and (9) yield δ13C(CH4) = −49‰, which is in good agreement with the measured tropospheric value of −47‰ [28]. There is additional isotope fractionation in the stratosphere due to the oxidation of CH4 by O(1D) and Cl [29,30], which I will neglect here. Aerobic methane oxidation by methanotrophs also produces a very large positive 13C enrichment in unoxidized CH4; however, this does not significantly affect the δ13C of the large reservoir of CH4 in the modern atmosphere [31].
In both ancient and modern Earth atmospheres, the primary nitrogen species is N2. In the modern atmosphere, the next most abundant N-containing compounds are nitrogen oxides (N2O, NO, NO2, and HNO3), whereas in the ancient Earth atmosphere, HCN and possibly NH3 were important species. For Archean CH4 ~1000 ppm, photochemical models predict HCN concentrations of ~100 ppm [2]. NH3 is rapidly lost by photolysis in early Earth atmosphere models unless a haze (probably hydrocarbon) is present to block near-UV radiation. In the modern Earth atmosphere, N isotope variability is predicted and observed in nitrogen oxide species due to photolysis and isotope exchange reactions. Rather than discussing this in detail here, I refer the reader to a paper by Michalski et al. [32]. Both HCN and NH3 are present in the atmosphere today, but at mixing ratios of ~200 ppt [33] and ~1–10 ppb [34], respectively. Nitrogen isotope measurements of NH3 indicate two primary sources, agriculture and livestock and fossil fuel-related activities. Agriculture and livestock produce NH3 with δ15N ~−40 to −10‰ and fossil fuel sources produce NH3 with δ15N ~−20 to +10‰ [34]. Marine values for NH3 are ~+5 to +13‰. All δ15N values are reported relative to an atmospheric N2 standard.

3. Equilibrium C, N and S Isotope Ratios

Isotopic equilibrium is an important end-member for the isotope ratios in planetary atmospheres. For an equilibrium reaction involving isotope exchange among gas-phase species, the equilibrium constant can be defined in terms of the partition functions of the reactants and products. Following Richet et al. [15], I write an isotope equilibrium reaction as
A X n + B X m = A X n + B X m
where X’ is an isotope of X, and n and m are integers. A fractionation factor α is defined as
α ( A X n , B X m ) = R ( A X n ) R ( B X m )
where the ratio R is
R ( A X n ) = A X n A X n
For relatively small delta-values (<100‰), the fractionation factor and δ’s are related by
1000 l n α A X n , B X m = δ ( A X n ) δ ( B X m )
where δ ( A X n ) = 10 3 R X ( A X n ) / R X ( s t d ) 1 . For n = m = 1, the fractionation factor becomes the equilibrium constant for the reaction. For more general cases, the fractionation factor may be expressed as [15]
α ( A X n , B X m ) = K A X n , B X m 1 m n ε ( A X n ) ε ( B X m )
where ε is an ‘excess factor’ and K is the equilibrium constant for the reaction m A X n + n B X m = m A X n + n B X m . The formulation of the equilibrium constants and excess factors is in terms of the partition functions that are a function of the vibrational and rotational energy levels available to the primary and rare isotopologues, as determined from the Schrodinger equation. Richet et al. [15] give a more detailed description of the excess factor ε.
To tabulate results it is convenient to define an additional fractionation factor β, which is the fractionation factor between AXn and X and may be written as [15]
β ( A X n , X ) = X X A X n X X = R ( A X n ) R ( X )
The two fractionation factors are then related by
α ( A X n , B X m ) = β ( A X n , X ) β ( B X m , X )
In terms of partition functions, β is given by
β ( A X n , X ) = Q ( A X ) Q ( A X n ) 1 n m m 3 2 ε ( A X n )
where m and m’ are the masses of the isotopes X and X’. The partition function Q has its usual form
Q = Q t r Q e Q v i b Q a n h Q r o t Q r o t v i b
which accounts for the population of translational, electronic, vibrational, and rotational states, including the effects of anharmonicity and rotational-vibrational coupling. The vibrational partition function is of particular importance because it accounts for most of the temperature dependence of equilibrium isotope fractionation.
The computed β-factors for C exchange as a function of temperature for CO, CO2, CH4, and HCN are shown in Figure 1a, and the β-factors for N exchange for N2, NH3, and HCN are shown in Figure 1b. The difference in δ13C values, Δδ13C, for several pairs of molecules illustrates the expected range of C isotope ratios under conditions of isotopic chemical equilibrium (Figure 2a). At temperatures above 700 °C, the magnitude of Δδ13C < 15‰ and decreases with increasing temperature. For hot Jupiters, where CO and to a lesser extent, CO2 [35] are the primary carbon-bearing molecules, Δδ13C is likely to be too small to detect. Isotope-selective photodissociation of CO (i.e., self-shielding) and/or CO2 will produce non-equilibrium isotope ratios. For hot Jupiters, these effects are primarily in the upper atmosphere. CO self-shielding will produce 13C-depleted CO and 13C-enriched C atoms. If the 13C-rich C atoms are sequestered in a C-rich haze layer, a detectable depletion of 13C in CO may be detectable. If the 13C-rich C is ionized to C+, rapid isotope exchange with CO will occur, erasing the self-shielding signature. Isotope fractionation due to CO2 photolysis will occur at longer wavelengths and greater depths in the atmosphere. At greater depths in the atmosphere, C isotope exchange between CO and CO2 will occur as a result of reactions with H and OH that efficiently inter-convert CO and CO2.
Cooler, rocky exoplanets (T < 500 K) are likely to have N2 atmospheres with CO2 or CH4 as the primary C-bearing molecules [36]. For temperatures below 400 °C, the magnitude of Δδ13C > 20‰ relative to CO2 and increases with decreasing temperature. This well-known equilibrium isotope effect arises from the preference of the heavier isotopes for the higher bond strength compound. For CH4 in the most common habitable temperature range of 0 to ~50°C, Δδ13C ~−60 to −80‰ relative to CO2 at equilibrium. For gases to reach isotopic equilibrium at low temperatures, a catalyst must be present. Life may play the role of a catalyst, although biochemical reactions are generally dominated by kinetic isotope effects.
Nitrogen isotopes do not show as large a range of equilibrium isotope fractionation as the C isotopes (Figure 2b). At hot Jupiter temperatures, Δδ15N of only a few permil is predicted for HCN and NH3 relative to N2. Even at habitable temperatures, where N2 is plausibly the primary atmospheric gas (for an Earth-sized planet), Δδ15N for HCN relative to NH3 is only ~2‰. These are both astronomically observable molecules, but remotely measuring such a small difference in δ-values is difficult due to the large uncertainties expected for isotope ratio measurements. A small Δδ15N is consistent with the magnitude of the fractionation that occurs during N2 fixation by nitrogenase. Measurements by [37] of δ15N of biomass produced by diazotrophic growth of several bacterial strains yielded ~−1 to −3‰ relative to air N2 for traditional bacteria using the most common Mo-Fe nitrogenase. Bacteria using either V-Fe or pure Fe nitrogenase show larger fractionation of −3 to −7‰, but this is still quite small compared to biogenic C isotope fractionation.
Sulfur isotopes exhibit equilibrium fractionation intermediate between the C and N isotopes (Figure 2c). Motivated by the photochemical models of Tsai et al. [37] for WASP-39b, SO2, H2S, and S2 are considered. Other high-temperature S-species include OCS and CS. Of possible relevance to cooler rocky planets, SO3 and CS2 δ34S values are also computed. I have not considered biological fractionation of S isotopes. With an atmospheric temperature of ~900 °C, WASP-39b will have a Δδ34S ~3‰ for SO2 relative to H2S. However, photochemical self-shielding is likely to substantially modify these values, as discussed in the following section.

4. Photochemical Signatures of C, N and S Isotopes

Any assessment of biosignatures in isotope ratios must consider the possibility of photochemically generated signatures. Photochemistry drives atmospheric chemistry away from the thermodynamic equilibrium. If the UV photon flux, atmospheric temperature, and pressure are sufficiently stable, a steady-state photochemical composition will be reached. I consider here how photochemistry can alter the C, N, and S isotope ratios in planetary atmospheres. This is most applicable to terrestrial-type exoplanets, but may have relevance to warm Neptunes and the lower temperature range of hot Jupiters. It is not my intent to exhaustively cover this topic but rather to consider a few specific cases in a qualitative or semi-quantitative manner.
For high-temperature exoplanets, C and N will be present in the IR-detectable region of the atmosphere as primarily CO and N2. These two diatomic molecules are isoelectronic with the ground states of X1Σ+ and X1Σg+, respectively. Both molecules undergo photodissociation in the far-ultraviolet (FUV) region, from 91 to 108 nm for CO and from 91 to 100 nm for N2 molecules. They are also photodissociated and photoionized at wavelengths <91 nm; however, for H2-rich environments, the onset of H ionization at 91 nm absorbs most FUV photons, as would be expected for warm Neptunes and hot Jupiters. Both CO and N2 undergo predissociation, which means that the absorption of a sufficiently energetic FUV photon creates a bound electronically excited state that then either relaxes by fluorescence or crosses to an unbound dissociating state, resulting in atomic products. Again, for both CO and N2, the bound excited states have relatively long lifetimes (e.g., ~10 psec to 1 nsec), resulting in narrow transition line widths (~0.5 to 0.005 cm−1). Isotope substitution in these molecules, for example, 13CO and 29N2, yields an absorption spectrum very similar to the main isotopologues (12CO and 28N2) but offset by several to several 10’s of cm−1. This means that the photodissociation of a column of either CO or N2 will result in a process termed self-shielding, in which the most abundant isotopologue (12CO or 28N2) will become optically thick and cease to dissociate, while the rare isotopologue (13CO or 29N2) will continue to undergo photodissociation. The result is a massive enrichment of the rare isotopes of the dissociation products, i.e., 13C, 15N, or 17O and 18O when considering self-shielding by N2 or CO, together with a depletion of the rare isotopes in the parent molecules. These isotope effects occur downstream of the region where the primary isotopologues become optically thick in the FUV. Self-shielding is a specific case of isotope-selective photodissociation in which isotope substitution induces changes in the absorption spectrum of a molecule due to changes in the coupling of electronic states. There are numerous examples of molecular clouds, protoplanetary disks [9,38,39], and planetary atmospheres [14,40].
I first consider N isotope fractionation due to N2 self-shielding in the early Earth atmosphere. Photodissociation of N2 and CH4 likely produces substantial quantities of HCN [41,42], and the self-shielding of N2 could produce a large 15N enrichment in HCN. As demonstrated by Oro [43], HCN is an essential ingredient in the prebiotic formation of adenine. To assess this possibility, I use model results from [42] for the early Earth (0–100 km) combined with an estimate of the downward flux of 28N2 and 29N2 from a model of Earth’s upper atmosphere (120–1000 km) (Lyons and Bondoc, in prep). Self-shielding of N2 occurs primarily at altitudes of 150–300 km. Rather than use the high-resolution cross sections for N2, I use shielding functions as described in [38] for CO. Assuming a 45° solar zenith angle and a pure N2 atmosphere, shielding functions have been determined for self-shielding by 28N2 and 29N2, and for mutual shielding by 28N2 and 29N2 (on 29N2 and 28N2, respectively) [39]. The photodissociation rate coefficients for 28N2 and 29N2 are written as
J 28 ( z ) = J 0 Θ s s ( N N 2 28 ) Θ m s ( N N 2 29 )
J 29 ( z ) = J 0 Θ s s ( N N 2 29 ) Θ m s ( N N 2 28 )
where Θss and Θms are the self-shielding and mutual-shielding functions, N is the column density of 28N2 or 29N2 from the top of the atmosphere to altitude z, and J0 is the N2 dissociation rate at the top of the atmosphere. Equations (19) and (20) only account for self-shielding from 91 to 100 nm. Although N2 dissociates down to 80 nm, line broadening makes the self-shielding effect less significant. For the modern atmosphere, J0 ~2 × 10−7 s−1, and for the early Earth atmosphere, it is ~103 times higher [42]. The shielding functions for N2 are not given here (they are lengthy polynomial expressions) but will be described elsewhere. The photodissociation rate coefficients for 28N2 and 29N2 illustrate the self-shielding effect (Figure 3). At a given altitude between 350 and 120 km, J29 > J28 due to self-shielding by 28N2. The shielding functions in Equations (19) and (20) capture the effects of line saturation in 28N2 without having to integrate the high-resolution cross sections over wavelength. The decrease in the photolysis rate coefficient for 28N2 is nearly a factor of 10 at maximal self-shielding altitudes (Figure 3), yielding 15N enrichment in N atoms of ~1000 permil. In addition to a much higher solar EUV flux, the solar wind particle flux was also much higher, with implications for atmospheric erosion for small, weakly magnetized planets such as Mars [44], a scenario I will not consider here.
Line broadening will diminish the self-shielding effect. For planetary atmospheres both Doppler and pressure broadening need to be considered. The Doppler linewidth is given by
Δ ν D = ν 0 v t h c
For the modern Earth thermosphere, the thermospheric temperature is ~1000 K, and the thermal gas velocity (most probable speed) is vth = 7.7 × 104 cm s−1. At a wavelength of 100 nm, the Doppler linewidth is ΔνD = 0.26 cm−1. This linewidth is much smaller than the typical spacing between the rotational lines for N2 and CO and does not impact self-shielding. Pressure broadening derives from the decoherence time due to molecular collisions, and is given by
Δ ν p ~ 1 4 π σ c n v t h
where σc ~3 × 10−15 cm2 is the molecular collision cross-section, and n is the atmospheric number density. At low pressures (<1 microbar), where self-shielding occurs for N2 in Earth’s atmosphere (Figure 3), Δνp ~10−8 cm−1, which is negligible.
Photolysis of N2 produces ground state and excited state atoms in approximately an equal mixture as
N 2 + h ν N ( S 4 ) + N ( D 2 )
N(2D) decays to N(4S) with a radiative lifetime of 6.1 × 104 s (17 h). It undergoes quenching to N(4S) by collisions with N2 and CO on timescales of ~60 s at 100 km in the model from [42]. N(2D) can also react with species such as H2 via the reaction
N ( D 2 ) + H 2 N H + H
The model of Tian et al. [42] has an H2 mixing ratio of 2 × 10−3 at 100 km, which implies a loss timescale for N(2D) by reaction 22 of ~1400 s for a thermosphere temperature of 180 K. All of these timescales are much shorter than the model eddy transport timescale at 100 km of ~3 × 105 s. The recombination of N atoms via N + N H N 2 + H acts to reverse the effects of N2 self-shielding.
A maximum downward flux of 14N and 15N at altitude z can be estimated by ignoring N loss due to N + NH recombination, which yields
φ 14 = 2 z t o p J 28 N 2 28 d z
φ 15 = z t o p J 29 N 2 29 d z
For the modern Earth upper atmosphere model used here, φ14 = 7.45 × 108 cm−2 s−1 and φ15 = 1.76 × 107 cm−2 s−1 at 120 km. Zahnle [41] estimates a download N flux of ~1 × 1010 cm−2 s−1 for wavelengths from 79.6 to 91.2 nm. Relative to the modern Earth atmosphere N2 with 15N/14N = 1/272.0, the N atom downward flux due to 91–100 nm photons has δ15N(φN) = 5400‰. Making the end-member assumption of no self-shielding for 80–91 nm photons, the overall (80–100 nm) δ15N(φN) = 370‰. The true value will be between 370 and 5400‰.
Exchange reactions can also be very important and may include the reactions
N 15 + N 2 28 N 15 + N 2 29
N 15 ( D 2 ) + N 2 28 N 14 ( D 2 ) + N 2 28
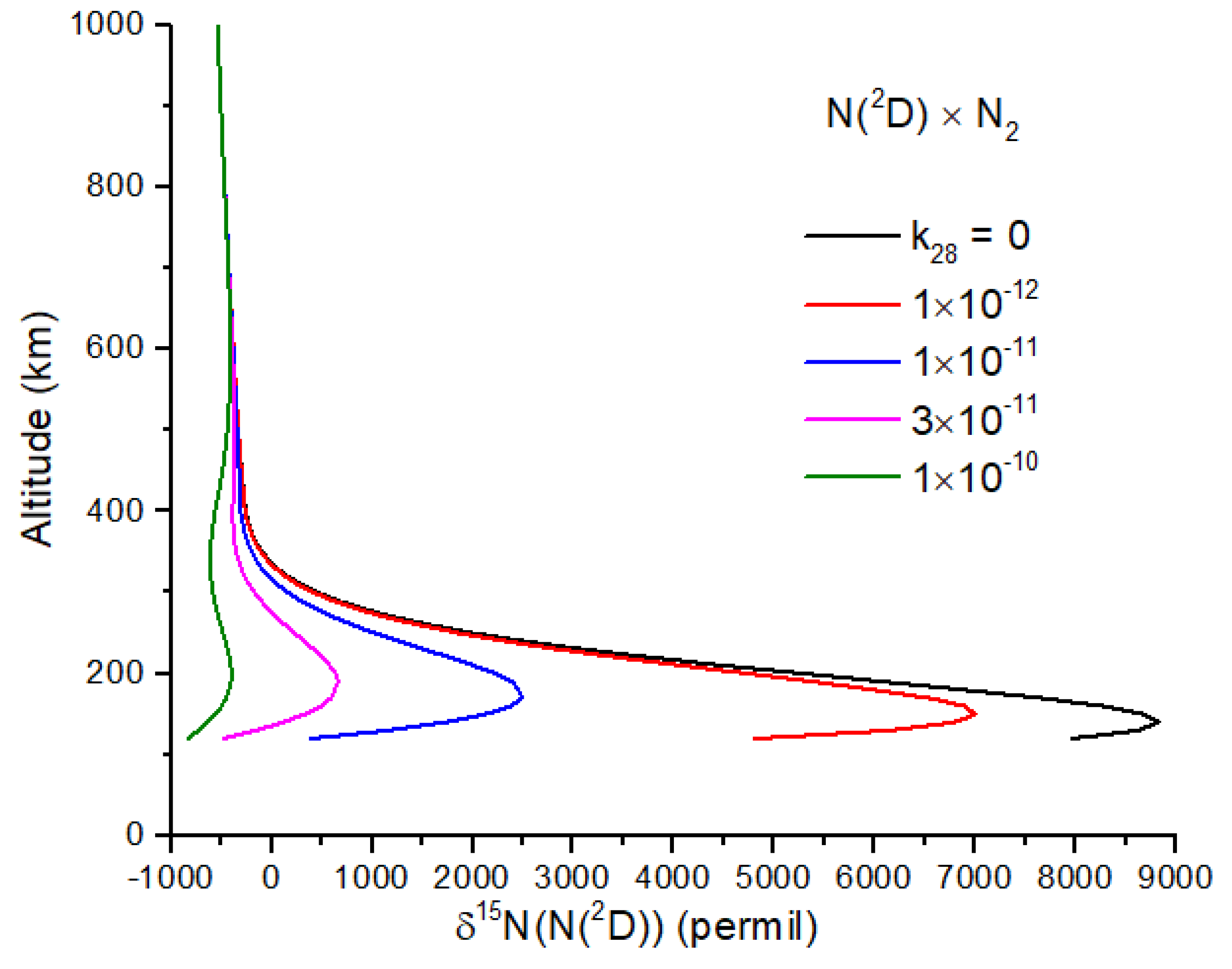
For both reactions, the intermediate N3 is a doublet, and therefore, reaction 27 is spin-forbidden. From the work of [45], I infer a rate constant of k 27 < 2.6   ×   10 13 e 12,600 T , which makes reaction 27 negligibly slow at temperatures < 1000 K. If this is not the case, and reaction 27 is important, it will greatly reduce the δ15N enrichment of N atoms (Figure 4). Reaction 28 is spin-allowed but does not appear to have a measured rate coefficient. At 100 km, the timescale for the loss of 15N(2D) by reaction 28 is comparable to the timescale for loss by quenching by N2 for k28 ~2 × 10−14 cm−3 s−1, a plausible value for a spin-allowed reaction. Further work on reaction 28 is needed, as it too can reduce the N atom δ15N enrichment (Figure 5).
HCN is produced by two pathways [41,42]
N + C H 2 3 H C N + H
N + C H 3 H 2 C N + H H H C N + H 2 + H
Both of these pathways, which peak at ~70 km in the Tian et al. model [42], will impart a large 15N enrichment to HCN, specifically δ15N(HCN) ~370–5400‰ from the results for φN above. N2 self-shielding occurs at considerably higher altitudes (~120–350 km) than does HCN formation. The loss of HCN occurs primarily by photolysis at Ly α (121.6 nm) to make products H + CN. The UV absorption cross sections for HCN show significant structure both near Ly α and in a vibrational progression from 130–150 nm (Figure 6). The photolysis of HCN is likely to modify the isotope ratios in HCN, as suggested by the large vibrational peak shifts between HCN and DCN. If HCN is optically thick, its 15N enrichment from formation would be reduced. In summary, a significant isotopic photosignature of HCN is a strong possibility for terrestrial-type exoplanets. Because this signature would be enriched in 15N, it should be distinct from any biogenic HCN in the atmosphere. Finally, I note that there is some evidence for 15N enriched Archean organic sediments (e.g., +15‰, ref. [46]), but these data are from metamorphosed sediments that likely preferentially lost 14N during burial and heating.
Carbon isotopes are also affected by photolysis reactions. The spin-forbidden photolysis of CO2
C O 2 + h ν ( > 167 n m ) C O + O ( P 3 )
was predicted [47] and experimentally demonstrated [48] to produce CO with a large depletion of 13C. The large fractionation arises from a small redshift in the absorption spectrum at longer wavelengths for the 13CO2 isotopologue. The shift occurs in a region of the spectrum that is rapidly decreasing in absorption strength with wavelength, which enhances the effects of the spectral shift. This is also a region of the spectrum populated by hot bands (bands with a lower level vibrational quantum number v > 0), which makes the isotope fractionation strongly temperature-dependent. There is evidence for this process occurring in the present-day atmosphere of Mars from occultation measurements of CO by the ExoMars spacecraft at Mars, which show that CO has a δ13C of ~−250 to −150‰ [49,50], consistent with CO2 photolysis as the primary source of CO gas in the Martian atmosphere and consistent with photochemical models [40].
In Earth’s atmosphere today, CO has a concentration of ~100 ppb and is produced from biomass burning, CH4 oxidation, and as a byproduct of anthropogenic combustion reactions. ACE-FTS solar occultation measurements of CO in the Earth’s mesosphere reveal isotopically depleted CO at altitudes of ~50–80 km with δ13C ~−160‰ [51]. This isotope signature exhibits seasonal and transport-related variations in the mesosphere and upper stratosphere but not in the lower stratosphere and troposphere.
Venus provides another example of a very low δ13C value for CO in the upper atmosphere. Observations of the J = 1 → 2 transition for 12CO and 13CO at 230 and 220 GHz in the 80–110 km region of the atmosphere revealed 12CO/13CO = 185 ± 69 [52]. Converting this ratio to δ-values relative to the PDB standard yields δ13C(CO) = 520 130 + 290   ‰. The high end of this range (−230‰) is comparable to those observed on Earth and Mars. I calculated the photodissociation rate coefficients for 12CO2 and 13CO2 using equations analogous to Equations (19) and (20) and the ab initio cross sections of [47] (rather than shielding functions) together with CO2 number densities from [53]. Although the measurement uncertainties are large, the 13C depletion in CO is certainly due, at least in part, to reaction 31 (Figure 7). Ueno et al. [48] suggest that the cross sections in [47] overestimate C isotope fractionation by 30%, suggesting that the computed δ13C values may be too small in magnitude to account for the observations. CO is optically thick up to ~110 km in the Venus mesosphere; therefore, it is possible that 12CO self-shielding at wavelengths <108 nm contributes to the 13C depletion in CO. CO2 would shield CO at these wavelengths; therefore, CO self-shielding should be diminished. Venus provides an excellent example of a photochemical-derived isotope signature that we can expect in other rocky planets with CO2 atmospheres.
Of more relevance here is the early Earth atmosphere with a high CO2 partial pressure and a correspondingly high CO abundance. For the early Earth, ref. [41] predicts a CO mixing ratio of 2 × 10−5 at the ground and 1 × 10−3 at 100 km. The primary source of CO is the photolysis of CO2 by reaction 31 and at higher altitudes by spin-allowed photolysis of CO2 at wavelengths <167 nm (which does not cause large isotope fractionation). As CO2 photolysis is the primary source of CO, a large negative δ13C signature is expected to be present in the middle atmosphere. The reaction C O + O H C O 2 + H , a primary loss pathway for CO, will act to decrease the 13C enrichment in CO. The net result is a low δ13C value (~−100 to −200‰) for CO in the middle atmosphere, which may eventually be detectable in analogous rocky exoplanets using cross-correlation techniques.
I next briefly consider C isotope fractionation due to CO self-shielding in the early Earth atmosphere and in an H2-rich exoplanet atmosphere. CO will be optically thick and, therefore, undergo self-shielding at a lower altitude than N2 because of its lower abundance. Because both molecules have long-lived predissociation states, the mutual shielding of N2 on CO will occur but will not significantly diminish the self-shielding in CO. I therefore expect large 13C and 17O and 18O enrichments in product C and O atoms. The fates of C and O atoms differ. C is likely to react with OH to reform CO via C + OH CO + H, which would act to reverse the effects of CO self-shielding. If an organic haze is present, 13C-enriched C could be sequestered in the haze, leaving measurable 13C-depleted CO in the atmosphere. Isotopically enriched O atoms are likely to eventually form H2O, although the initiating reaction, O + H2  OH + H, is strongly temperature-dependent. Exchange reactions between O and O2 and OH and H2O will diminish the self-shielding signature in O isotopes, but a positive δ17O and δ18O in atmospheric H2O is possible, although it is likely to be diluted by H2O already in the atmosphere.
I next consider CO self-shielding in a warm Neptune/hot Jupiter. At very high temperatures, isotopically enriched O will rapidly form OH and H2O, and the reaction OH + CO → CO2 + H and the reverse reaction will act to erase the self-shielding signature in O-containing species. In addition, the exchange reaction
O x + C O 16 O 16 + C O x
which has an activation energy of 6.9 kcal mole−1 (activation temperature of 3470 K), will also reduce the self-shielding signature. The fate of the 13C-enriched C atoms is less clear. C may react with H2 to form CH2 in the 3-body reaction C + H 2 M C H 2 3 where M is a 3rd-body molecule (H2 most likely). The rate constant is 6.9 × 10−32 cm6 s−1 at 300 K [54], and is likely somewhat slower at higher temperatures. This reaction is too slow at CO self-shielding altitudes, which are likely to be ~microbars of total pressure. Radiative recombination, C + H 2 C H 2 + h ν 3 , is likely a faster pathway with a typical rate constant of ~1 × 10−12 cm3 s−1, and thus a loss timescale for C of ~1 s. The formation of 3CH2 would lead to CO reformation via reactions such as C H 2 + O C O + H 2   o r   C O + 2 H 3 , or more indirectly by C H 2 + O C H + O H 3 , followed by the reaction of CH with O to form CO. Reformation of CO by any of these reactions will decrease the magnitude of the self-shielding signature in C. Another possible mechanism for erasing a CO self-shielding signature is the exchange of C with CO via
C 13 + C O 12 C 12 + C O 13
This reaction should proceed through a C2O intermediate with a triplet ground state, which is spin-allowed. I did not find a 2-body exchange rate coefficient for reaction 33; however, there is a measured 3-body rate coefficient for C2O formation of 6.31 × 10−32 cm6 s−1 [55].
If C produced from CO photolysis under self-shielding conditions avoids recombination to CO, one possible fate for it would be to form a haze layer, either by contributing to an existing organic haze layer or by forming a solid carbon haze layer at high altitudes via the reaction C C (s). Depending on the temperature, C particles can condense as either amorphous carbon or graphite. The haze particles would be 13C-enriched, and the CO would be 13C-depleted at altitudes in the vicinity of the CO self-shielding. The latter may be detectable at infrared wavelengths, as a low 13C/12C ratio.
Finally, I briefly consider the sulfur isotopes in hot Jupiters. The detection of photochemically produced SO2 in the hot Jupiter WASP-39b [37] provides the prospect of measuring the exoplanet 32S/34S isotope ratio modified by UV self-shielding. Self-shielding in SO2 has been investigated as a mechanism for explaining Archean S isotope signatures in sedimentary rocks [56,57]. SO2 undergoes predissociation in the C-X band from about 180–220 nm and has an absorption spectrum with resolved lines in a vibronic progression. Sulfur isotope substitution creates a redshift in this spectrum, which generates a large isotope enrichment of the less abundant stable isotopes (34S, 33S, and 36S) in the dissociation product SO. Although this mechanism does not explain the early Earth rock record, it has been verified experimentally [58]. The key requirement is an optically thick column of SO2.
For WASP-39b, the peak mixing ratio for SO2 is ~5 × 10−5 at ~0.1 mbar on the morning terminator and ~2 × 10−5 at ~0.03 mbar on the evening terminator [37]. For a scale height of 890 km, these correspond to vertical column densities of 2.9 × 1018 cm−2 and 3.9 × 1017 cm−2 in the morning and evening, respectively. The peak cross-section for SO2 near 200 nm is ~3 × 10−17 cm2 at room temperature and ~2 × 10−17 cm2 at ~1000 K. (It should be noted that the absorption lines are narrow; therefore, accurate UV cross sections require high-resolution laboratory measurements). Peak vertical optical depths are ~58 and 7.8, morning and evening. The tangential optical depths along the terminators are ~25 times the vertical optical depths. Thus, at the peak SO2 mixing ratios, SO2 is strongly optically thick under all conditions. Self-shielding by 32SO2 will produce a large enrichment in 34SO during photolysis
SO x 2 + h ν SO x + O
where x = 32 or 34 (and also 33 and 36, but these are much less abundant). Self-shielding by 32SO2 means that J34 >> J32, so the instantaneous number density of 34SO will be highly enriched compared to the standard isotope ratios. (The sulfur isotope standard is a meteorite mineral, the Canyon Diablo troilite or CDT). Models [56] and measurements [57,58] suggest δ34S ~100 to 200‰ enrichments in SO. The steady-state enrichment of 34SO and the corresponding depletion of 34SO2 depend on subsequent and concurrent reactions. SO and SO2 are produced by oxidation reactions with OH, which is produced by the photolysis of H2O [37]. Although photolysis is the primary loss process for SO2 in WASP-39b, the continual reformation of SO and SO2 will act to reduce the self-shielding signature. Additionally, S exchange with SO,
SO x + S S O + S x
may also reduce the self-shielding enrichment of 34SO unless SO photolysis is the primary source of S atoms. Detailed photochemical modeling is required to address these issues.

5. Evolution of C and N Isotopes in Earth’s Early Atmosphere

From the discussion above, it is clear that significant isotope fractionation is possible in exoplanet atmospheres. Is it possible to see biosignatures against this backdrop of equilibrium and photo-induced isotope fractionation, and what might this have looked like in early Earth? Catling and Zahnle [2] produced an evolution diagram of the composition of Earth’s atmosphere over the past 4 billion years (Figure 8). I have added HCN to this diagram by scaling HCN relative to CH4 before and after the atmospheric Great Oxidation Event (GOE): 10−1 P C H 4 prior to the GOE and 10−4 P C H 4 after the GOE. More accurate HCN evolution calculations can be performed. Prior to the GOE, the primary loss process for HCN is photolysis; after the GOE, loss by OH dominates, although the rate of this loss reaction will vary depending on the O3 partial pressure.
Catling and Zahnle [2] assumed a gradual onset of methanogenesis at ~4.0 Gyr and a gradual onset of photosynthesis at ~3.0 Gyr. Thus, in their model, the high CH4 partial pressure (2000 ppm) at 4.0 Gyrs may be mostly biogenic. Prior to the onset of methanogenesis, but after the short-lived massive impact-generated reduced atmospheres, CH4 is primarily thermogenic and/or derived from geothermal and hydrothermal reactions. Thermogenic refers to CH4 produced by the high-temperature decomposition of buried organic compounds. Today and during the Phanerozoic, most buried organics are biogenic in origin; therefore, the δ13C values for atmospheric CH4 are relatively low at ~−20 to −50‰ (Figure 9) [59]. Prior to 4.0 Gyrs, most buried organics were either derived from the original delivery of chondritic materials or from the burial of material produced by the UV processing of impact-reduced atmospheres. Bulk insoluble organic matter (IOM) in carbonaceous chondrites has δ13C ~−35 to −10‰ and in ordinary chondrites has δ13C ~−24 to −10‰ [60], coincidentally similar to the range for C3 and C4 plants. It is therefore likely that thermogenic CH4 produced from 4.4 to 4.0 Gyr would have a similar range of δ13C values to what we see today (Figure 9).
Geothermal and hydrothermal CH4 differ from thermogenic CH4 in that the former is derived from inorganic reactions in the Earth’s crust. The general form of the reaction responsible for the geothermal/hydrothermal production of CH4, known as the Sabatier reaction, is C O 2 + 4 H 2 C H 4 + 2 H 2 O [61]. Serpentinization, which generates H2 in the crust via a redox reaction between Fe(II) and H2O, also falls into this category of reactions. I will not assess the possible flux of CH4 prior to methanogenesis, but I will assume that the flux of CH4 available from crustal sources was sufficient to maintain a substantial CH4 partial pressure.
Following Catling and Zahnle [2], I assume that methanogenesis becomes the dominant CH4 source by ~4.0 Gyr. If hydrogenotrophic methanogenesis is the primary initial methanogenic process (Figure 9), then substantial 13C depletion is likely to be present in atmospheric CH4 (Figure 10). If acetoclastic methanogenesis was the primary source of CH4, then atmospheric CH4 would have been less strongly fractionated. Carbon isotope analysis of organics in ancient rocks yields a mean of δ13C ~−30‰ with a large variation [62] (Figure 10). If hydrogenotrophic methanogenesis was the predominant source of CH4 in the ancient atmosphere, then the organics in rocks have δ13C values decoupled from atmospheric CH4. Anaerobic methane oxidation by methanotrophs, which is known to produce extremely light δ13C in lipids (<−100‰) and leave correpsondingly 13C-enriched CH4, could also modify the CH4 δ13C history, as shown in Figure 10. In the modern atmosphere, anaerobic methanotrophy does not significantly alter δ13C for atmospheric CH4 (see Section 2). For the early Earth, it has been argued that anaerobic methanotrophs can explain Tumbiana Formation organics with δ13C ~−60‰ at 2.8 Gyr ago [63] (not shown in Figure 10). This event could have produced atmospheric CH4 with δ13C values of >>−50‰. Given the above considerations, the evolution of methanogenesis and δ13C for atmospheric CH4 in Figure 10 must be treated as an approximation of the actual values.
The reservoir of dissolved inorganic carbon (DIC) in the oceans today is ~38,000 Pg C, vastly larger than the sum of atmosphere, land plants, and soil C, which is ~2800 Pg C [22]. Even for a slightly more acidic early ocean, C would be present primarily as HCO3 and CO32−, and I assume that δ13C of early DIC is approximately the same as modern DIC. I make this assumption because air-sea exchange is the primary source of equilibrium fractionation between atmospheric CO2 and DIC [21]. Photosynthesis in surface waters creates additional 13C enrichment in DIC and yields δ13C(DIC) ~+1 to + 3‰ [64]. The majority of carbonates in sedimentary rocks are believed to be biogenic, and the δ13C of carbonates has generally been fairly close to 0‰ over the past 3.5 Gyrs, with occasional deviations of ±10‰ [65]. I will further assume that abiotic carbonate formation on the prebiotic Earth did not strongly affect the C isotope ratios in atmospheric CO2, while CO2 mostly tracked marine carbonate formation over the past 3.5 Gyrs with a roughly constant fractionation due to air-sea exchange. Figure 10 illustrates the evolution of δ13C for CO2 over the past 4.4 Gyrs, with the constant value of −6.5‰ [64] prior to 3.5 Gyr ago supplanted by the curve (thick gray line) that tracks the carbonates. The CO curve represents the minimum δ13C expected due to CO2 photolysis. This minimum occurs at a high altitude in the mesosphere or even the lower thermosphere for a high pCO2 case. In the lower atmosphere, the δ13C of CO is closer to that of CO2.
Figure 10. Schematic representation of δ13C evolution in the Earth’s atmosphere. In the simplest scenario, CO2 is derived from volcanism and has δ13C ~−6.5‰ as for mantle C. CO2 undergoes gas exchange with the surface ocean throughout Earth history since 4.4 Gyr ago (black line). More likely, CO2 tracked the carbonates. The carbonates curve (thick cyan line) is a smoothed version of measurements of δ13C for marine carbonates over the past 3.5 Gyr [65]. The curve illustrates the approximate range of variation seen in marine carbonates, which would likely be present in atmospheric CO2. Atmospheric CO2 will track carbonates but will be displaced by about −6.5‰ (thick gray curve). The CO curve illustrates the effect of isotope fractionation during CO2 photolysis in the upper atmosphere. Although δ13C for CO is constant over time, the CO mixing ratio decreases by many orders of magnitude from ~10−3 at 4 Gyr to ~10−10 today. The CH4 curve (blue line) illustrates abiogenic sources prior to 4.0 Gyr ago, followed by hydrogenotrophic methanogenesis for the next ~1.5 Gyr, and then CH4 with modern δ13C values after the GOE at 2.4 Gyr ago. The mean δ13C for organics recorded from rocks (thick orange line) [62] does not exhibit highly negative δ13C, indicating that either the rock record does not entirely correlate with atmospheric CH4 or that methanogenesis was not a major biochemical process (dotted blue line). The δ13C difference between CO2 and abiogenic CH4 is ~25‰ versus ~95‰ between CO2 and hydrogenotrophic methanogen CH4. This comparison of CO2 and CH4 may represent a viable biosignature in a given terrestrial exoplanet atmosphere.
Figure 10. Schematic representation of δ13C evolution in the Earth’s atmosphere. In the simplest scenario, CO2 is derived from volcanism and has δ13C ~−6.5‰ as for mantle C. CO2 undergoes gas exchange with the surface ocean throughout Earth history since 4.4 Gyr ago (black line). More likely, CO2 tracked the carbonates. The carbonates curve (thick cyan line) is a smoothed version of measurements of δ13C for marine carbonates over the past 3.5 Gyr [65]. The curve illustrates the approximate range of variation seen in marine carbonates, which would likely be present in atmospheric CO2. Atmospheric CO2 will track carbonates but will be displaced by about −6.5‰ (thick gray curve). The CO curve illustrates the effect of isotope fractionation during CO2 photolysis in the upper atmosphere. Although δ13C for CO is constant over time, the CO mixing ratio decreases by many orders of magnitude from ~10−3 at 4 Gyr to ~10−10 today. The CH4 curve (blue line) illustrates abiogenic sources prior to 4.0 Gyr ago, followed by hydrogenotrophic methanogenesis for the next ~1.5 Gyr, and then CH4 with modern δ13C values after the GOE at 2.4 Gyr ago. The mean δ13C for organics recorded from rocks (thick orange line) [62] does not exhibit highly negative δ13C, indicating that either the rock record does not entirely correlate with atmospheric CH4 or that methanogenesis was not a major biochemical process (dotted blue line). The δ13C difference between CO2 and abiogenic CH4 is ~25‰ versus ~95‰ between CO2 and hydrogenotrophic methanogen CH4. This comparison of CO2 and CH4 may represent a viable biosignature in a given terrestrial exoplanet atmosphere.
Life 15 00398 g010
From Figure 10, the maximum difference in δ13C for atmospheric CH4 and CO2 is Δδ13C = δ13C(CH4) − δ13C(CO2) ~−95‰ during an era when hydrogenotrophic methanogenesis was dominant. In the modern atmosphere, this difference is about −40‰, and in the prebiotic atmosphere, this difference may have been ~−25 to −30‰. For Earth-like exoplanets (i.e., rocky planets with oceans), the value of Δδ13C may serve as a biosignature, assuming similar microbial evolution. Δδ13C is an entirely internal measure, meaning that a comparison with the δ13C of the parent star or other objects in the planetary system is not necessary. The feasibility of measuring Δδ13C in an exoplanet atmosphere is considered in the following section.

6. Spectral Signatures of Isotopic Gases

Here, I briefly consider the HITRAN line intensities [66] for the relevant isotopologues discussed above to illustrate the magnitude of the isotope-induced band shifts. A complete analysis of the detectability of the isotope ratios discussed above should include isotopologue cross sections, line broadening, and detection in a noisy spectrum [4,67], which will be discussed elsewhere.
The ν2 and ν3 bands of CO2 show redshifts of 19 cm−1 and 70 cm−1, respectively, for the 13CO2 isotopologue (Figure 11). These large redshifts reflect the large displacement of the C atom in the bending and asymmetric stretch modes of CO2. As discussed in [16], the large band shifts in CO2 make isotopologue ratio measurements possible in exoplanet atmospheres with large atmospheric scale heights using JWST MIRI or NIRSpec at medium spectral resolution (R ~1000–3000). The CO molecule [66] also exhibits large isotopic band shifts of ~50 cm−1 and ~95 cm−1 for the fundamental (4.7 microns) and first overtone (2.35 microns). CO is especially useful for measuring isotope ratios in hot Jupiters [6] and brown dwarfs [7], and is essential for determining the C isotope ratio of the solar photosphere [13]. In addition, CO is the molecule of choice for measuring the C and O isotope ratios in exoplanet parent stars.
Figure 11. (a) Normalized line intensities at 296 K for the ν2 band (bending mode) of 12CO2 and 13CO2. The redshift of the 13CO2 spectrum is ~19 cm−1. (b) For the CO2 ν3 band (asymmetric stretch) the redshift is larger at ~70 cm−1. For both figures, the 13CO2 line intensity has been normalized by the 13C fraction (0.011057) given in HITRAN. Data were obtained from HITRANonline [66].
Figure 11. (a) Normalized line intensities at 296 K for the ν2 band (bending mode) of 12CO2 and 13CO2. The redshift of the 13CO2 spectrum is ~19 cm−1. (b) For the CO2 ν3 band (asymmetric stretch) the redshift is larger at ~70 cm−1. For both figures, the 13CO2 line intensity has been normalized by the 13C fraction (0.011057) given in HITRAN. Data were obtained from HITRANonline [66].
Life 15 00398 g011
The ν3 (3.3 microns) and ν4 (7.7 microns) bands of CH4 also show redshifts upon 13C substitution. However, these redshifts are ~8–10 cm−1 (Figure 12), which are smaller than those for CO and CO2. In addition, there is an occasional overlap in the ν4 band. This means that some 13CH4 lines will be masked by lines from the ~100 times more abundant 12CH4. This problem is more acute for the ν3 band, for which there is a coincidental overlap of the P and R branch lines adjacent to the Q-branch, such that pressure broadening will cause increased line overlap and masking of 13CH4. The Q branches of both bands are a complex cluster of lines with a typical line spacing of ~0.05–0.10 cm−1. Resolving these lines would require a high spectral resolution of R ~30,000–60,000, far beyond the JWST capability. Resolving the Q-branch envelopes is easier, requiring a minimum R ~160 and 380 for ν4 and ν3, respectively.
As discussed above, HCN photochemically produced in a N2-CO2-CH4 atmosphere, as proposed for the Archean Earth, is expected to have a massive 15N enrichment (δ15N ~300 to several 1000‰) due to N2 self-shielding at wavelengths <100 nm. HCN is a linear molecule with a C-H stretch mode (ν1), a doubly degenerate bending mode (ν2), and a C-N stretch mode (ν3). Only the ν3 mode has substantial N displacement, but it is a very weak band. The much stronger ν1 and ν2 bands have substantial C displacement but only slight N displacement (Figure 13a). The result is a very small ν2 band shift of ~1–1.5 cm−1 for HC15N, causing overlap between the Q branches (Figure 13b). To resolve these Q branches requires a minimum resolution of R ~700, and to resolve individual lines requires R ~3500–7000. Hydrogen isocyanide, HNC, with a central N atom, will exhibit larger band shifts for H15NC, although it is generally less abundant than HCN.
As a final spectroscopic example, I consider 32SO2 and 34SO2. The SO2 ν3 band at 1360 cm−1 is strong and exhibits a band shift of 18 cm−1 (Figure 14a). The spectrum is densely populated with transitions, which means that the line overlap from 32SO2 may shield some of the 34SO2 lines. Line overlap is an important consideration when retrieving the isotope ratios. Significant line overlap by the more abundant isotopologue will create an artificially low abundance for the rare isotopes in this case, 34SO2. This could give the impression of a stronger self-shielding signature in SO2 than is actually present. The typical spacing between the lines can be assessed from Figure 14b. The line spacing for a given isotopologue for ν3 is ~0.03 to 0.2 cm−1, which requires a spectral resolution of R ~6700–45,000.
Model calculations by Tsai et al. [37] suggest that SO may also be observable in WASP-39b or similar atmospheres. HITRAN does not have line intensity data for 34SO, but estimating the fundamental vibrational frequency from the 32SO fundamental gives
ν 34 = ν 32 μ 32 μ 34
where μ is the reduced mass of each isotopologue. For ν32 ~1125 cm−1, ν34 ~1114 cm−1 for a red shift of 11 cm−1. Reaction 34 will result in a significant enhancement of 34SO, which, together with the less dense SO spectrum, suggests that it may be easier to obtain a S isotope ratio from SO than from SO2.

7. Discussion

The study of isotopes in exoplanet atmospheres is still in its early stages. The few measurements made thus far have been in hot Jupiter (or brown dwarf) atmospheres. These have yielded surprising results for C isotope ratios, with evidence for extreme enrichment of 13CO, interpreted as the input of a high fraction of 13C-enriched ices during planet formation [6]. Confirmation of high 18O enrichment would support this interpretation. It is clear that exoplanet isotope ratio data can contribute to understanding the formation environment of exoplanets, just as they do in understanding the formation of our solar system [9,11]. The measurement of the C and O isotope ratios of CO in parent stars would be a valuable contribution to this effort. A careful assessment of line overlap and dipole moment functions is essential, as was found for the solar photosphere [13,68].
A recent review of isotope ratios as biosignatures in exoplanet atmospheres concluded that the prospects are bleak, given the current technology [16]. Obtaining quality isotope ratios for cooler terrestrial-type exoplanets is not possible with the JWST (insufficient resolution) or ground-based telescopes (insufficient number of photons at high resolution). I entirely agree with Glidden et al.’s [16] assessment of rocky planets. However, technology and analysis methods will improve, and it is important to establish the range of fractionation possible for various isotope systems. This includes both photochemically produced isotope signatures and potential biologically generated isotope signatures.
Glidden et al. [16] argue that an evaluation of exoplanet isotope biosignatures requires a context such as the isotope ratios of the parent star or the parent molecular cloud. Our own solar system argues against this suggestion. The solar photosphere is 400‰ depleted in 15N compared to the Earth’s atmosphere [69], yet this appears to have minimal implications with respect to N2 fixation, the key nitrogen biochemical process on Earth.
Table 1 presents a summary of the isotopic results obtained here for several types of exoplanet atmospheres, from rocky planets to hot Jupiters. Exo-Venus objects imply CO2 rich atmospheres with depleted H2O, while exo-Earths are similar to a pre-oxygenated early Earth. Oxygenated exo-Earths would likely have lower mixing ratios of CH4 and HCN, making it more difficult to measure the isotope ratios of these molecules. The category of super-Earths covers a very broad range of compositions from essentially Earth-like at ~300 K to much higher temperatures with a retained, primary atmosphere. I will use the term super-Earth for a strictly rocky object, and for a super-Earth-sized object that has retained its primary atmosphere, I will use the term sub-Neptune [70]. The range of atmospheric compositions possible for super-Earths/sub-Neptunes is vast [71]. Here, I will treat rocky super-Earths as exo-Earths in terms of atmospheric composition, with the recognition that many super-Earths have equilibrium temperatures far above that expected to be capable of supporting life. Sub-Neptunes and warm Neptunes are H2-rich objects with substantial H2O and possibly CH4, NH3, or N2. If NH3 is the primary form of nitrogen, then HCN will not have a significant 15N enrichment. Photochemical hazes, including organic hazes, will diminish the magnitude of photochemically-derived isotope signatures. CO and CO2 in the presence of substantial OH from H2O photolysis will have diminished C isotope signatures due to interconversion mediated by OH. HCN produced photochemically from N2 will have a reduced δ15N signature at higher temperatures due to weaker self-shielding and a lower mixing ratio of CH4. For hot Jupiters, SO2 self-shielding presents the interesting possibility of 34S depletion in SO2 and large 34S enrichment in SO. At shorter wavelengths, CO self-shielding could produce a detectable δ13C signature in CO if the photochemical product C is sequestered in a C-rich haze. I have not included the photochemical signature of CO2 due to CO2 photolysis in Table 1. It might have a detectable 13C enrichment, but this will generally be much smaller in magnitude than that of CO for rocky exoplanets.
The next steps in the analysis presented here are twofold. First, the infrared cross sections for the isotopologues discussed are computed with a complete treatment of line broadening for relevant atmospheric conditions. Second, to evaluate the ability of cross-correlation with absorption templates, with and without isotopes, to detect isotope ratios in simulated exoplanet transit data. Simulated data must include appropriate observational noise [68].

8. Conclusions

For photochemically-derived isotope signatures, far-UV self-shielding produces some of the largest isotopic enrichments known outside of nuclear reactions. Some of the most important molecules with respect to self-shielding are N2, CO, and SO2, all of which have either been detected in hot Jupiter atmospheres or are expected to be present. N2 self-shielding will yield 15N-enriched N atoms that can be sequestered in HCN or its tautomer HNC. In early Earth-like N2-CO2-CH4 atmospheres, HCN formation is likely to be efficient, and we can expect significant 15N enrichment (δ15N ~370 to 5400‰) in HCN, especially in the prebiotic atmosphere. Such high enrichments increase the likelihood of detecting the rare isotopologue. More detailed photochemical modeling is needed to evaluate the production of highly 15N-enriched HCN or HNC in warm Neptune or hot Jupiter atmospheres. Spectroscopic measurement of the 15N/14N ratio is complicated by the small band shift (~1.5 cm−1) of the ν2 band of HC15N. Hydrogen isocyanide, H15NC, will have a larger red shift in the ν2 band. The measurement of δ15N in these molecules for Earth-like exoplanets awaits future instrumentation.
A photochemically-derived signature in C isotopes is especially likely to be found in CO produced from CO2 spin-forbidden photodissociation. For a CO2 dominated atmosphere, highly depleted 13CO will be present in the mesosphere or lower thermosphere, as is well demonstrated by CO in the mesosphere (80–110 km) of Venus, which I argue is a result of reaction 31. Venus can serve as a model exoplanet for photochemical C isotope signatures.
Sulfur isotopes present an interesting scenario because of the presence of photochemically produced SO2 in the hot Jupiter WASP-39b. The morning and evening terminator column densities for SO2 are optically thick in the C-X dissociation band around 200 nm. SO2 self-shielding will produce SO that is highly enriched in 34S. Either 34S-enriched SO or possibly 34S-depleted SO2 may be observable in hot Jupiter atmospheres with the JWST. For the ν3 band of SO2, line overlap among isotopologues must be carefully evaluated due to the high density of rovibrational lines.
Isotopic biosignatures in general exhibit much smaller isotope fractionation than does photochemical self-shielding, but this fractionation is of far greater significance. I argue here that what matters most are the isotopic differences in pairs of atmospheric molecules involved in key biochemical processes. Important pairs include CO2/CH4 and N2/NH3. Isotope equilibrium argues that a significant difference in isotope ratios is expected for CO2 and CH4 at low (~300 K) temperatures, but not for N2 and NH3.. On prebiotic Earth, a typical difference in δ13C for CH4 and CO2 is ~−25‰. After the advent of hydrogenotrophic methanogenesis, the difference could be as large as Δδ13C = δ13C(CH4) − δ13C(CO2) ~−95‰. Living systems are not in chemical equilibrium; however, life processes may act to bring isotope ratios closer to isotopic equilibrium in low-temperature biological systems. Alternatively, biochemical kinetic isotope effects could produce isotope fractionation similar to equilibrium isotope fractionation at low temperatures.
This δ13C difference between atmospheric CH4 and CO2 is the isotopic biosignature that we seek. It is an internal measure independent of the δ13C of the parent star or other objects in the planetary system. It assumes a planetary surface that carries out photosynthesis, methanogenesis, and probably N2 fixation. The technology to measure isotope ratios with an accuracy of ~50‰ or better on an Earth-like exoplanet does not presently exist. However, it will eventually exist, and this internal comparison of isotope ratios will be a valuable biosignature.

Funding

This research received no external funding.

Institutional Review Board Statement

Not applicable.

Informed Consent Statement

Not applicable.

Data Availability Statement

The original contributions presented in this study are included in the article. Further inquiries can be directed to the corresponding author.

Acknowledgments

The author thanks the reviewers for their helpful comments and suggestions.

Conflicts of Interest

The author declares no conflict of interest.

References

  1. Cavalazzi, B.; Westall, F. (Eds.) Biosignatures for Astrobiology; Springer: Berlin/Heidelberg, Germany, 2019. [Google Scholar]
  2. Catling, D.C.; Zahnle, K.J. The Archean atmosphere. Sci. Adv. 2020, 6, eaax1420. [Google Scholar] [CrossRef] [PubMed]
  3. Morley, C.V.; Skemer, A.J.; Miles, B.E.; Line, M.R.; Lopez, E.D.; Brogi, M.; Freedman, R.S.; Marley, M.S. Measuring the D/H ratios of exoplanets and brown dwarfs. Astrophys. J. 2019, 882, L29. [Google Scholar] [CrossRef]
  4. Molliere, P.; Snellen, I.A. Detecting isotopologues in exoplanet atmospheres using ground-based high-dispersion spectroscopy. Astron. Astrophys. 2019, 622, 139. [Google Scholar] [CrossRef]
  5. Lincowski, P.; Lustig-Yaeger, J.; Meadows, V.S. Observing isotopologue bands in terrestrial exoplanet atmospheres with the James Webb Space Telescope: Implications for identifying past atmospheric and ocean loss. Astron. J. 2019, 158, 26. [Google Scholar] [CrossRef]
  6. Zhang, Y.; Snellen, I.A.G.; Bohn, A.J.; Mollière, P.; Ginski, C.; Hoeijmakers, H.J.; Kenworthy, M.A.; Mamajek, E.E.; Meshkat, T.; Reggiani, M.; et al. The 13CO-rich atmosphere of a young accreting super-Jupiter. Nature 2021, 595, 370–372. [Google Scholar] [CrossRef]
  7. Line, M.R.; Brogi, M.; Bean, J.L.; Gandhi, S.; Zalesky, J.; Parmentier, V.; Smith, P.; Mace, G.N.; Mansfield, M.; Kempton, E.M.-R.; et al. A solar C/O and sub-solar metallicity in a hot Jupiter atmosphere. Nature 2021, 598, 580–584. [Google Scholar] [CrossRef]
  8. Glidden, A.; Seager, S.; Huang, J.; Petkowski, J.J.; Ranjan, S. Can carbon fractionation provide evidence for aerial biospheres in the atmospheres of temperates sub-Neptunes? Astrophys. J. 2022, 930, 62. [Google Scholar] [CrossRef]
  9. Lyons, J.R.; Young, E.D. CO self-shielding as the origin of oxygen isotope anomalies in the early solar nebula. Nature 2005, 435, 317–320. [Google Scholar] [CrossRef]
  10. Visser, R.; Bruderer, S.; Cazzoletti, P.; Facchini, S.; Heays, A.N.; van Dishoeck, E.F. Nitrogen isotope fractionation in protoplanetary disks. Astron. Astrophys. 2018, 615, A75. [Google Scholar] [CrossRef]
  11. Yurimoto, H.; Kuramoto, K. Molecular cloud origin for the oxygen isotope heterogeneity in the Solar System. Science 2004, 305, 1763–1766. [Google Scholar] [CrossRef]
  12. Lee, J.-E.; Bergin, E.A.; Lyons, J.R. Oxygen isotope anomalies of the Sun and the original environment of the solar system. Meteorit. Planet. Sci. 2008, 43, 1351–1362. [Google Scholar] [CrossRef]
  13. Lyons, J.R.; Gharib-Nezhad, E.; Ayres, T.R. A light carbon isotope composition for the Sun. Nat. Comm. 2018, 9, 908. [Google Scholar] [CrossRef] [PubMed]
  14. Liang, M.-C.; Heays, A.N.; Lewis, B.R.; Gibson, S.T.; Yung, Y.L. Source of nitrogen isotope anomaly in HCN in the atmosphere of Titan. Astrophys. J. 2007, 664, L115–L118. [Google Scholar] [CrossRef]
  15. Richet, P.; Bottinga, Y.; Javoy, M. A Review of Hydrogen, Carbon, Nitrogen, Oxygen, Sulphur, and Chlorine Stable Isotope Fractionation Among Gaseous Molecules. Annu. Rev. Earth Planet. Sci. 1977, 5, 65–110. [Google Scholar] [CrossRef]
  16. Glidden, A.; Seager, S.; Petkowski, J.J.; One, S. Can isotopologues be used as biosignature gases in exoplanet atmospheres? Life 2023, 13, 2325. [Google Scholar] [CrossRef]
  17. Schwieterman, E.W.; Kiang, N.Y.; Parenteau, M.N.; Harman, C.E.; DasSarma, S.; Fisher, T.M.; Arney, G.N.; Hartnett, H.E.; Reinhard, C.T.; Olson, S.L.; et al. Exoplanet Biosignatures: A Review of Remotely Detectable Signs of Life. Astrobiology 2018, 18, 663–708. [Google Scholar] [CrossRef]
  18. Graven, H.; Keeling, R.F.; Rogelj, J. Changes to carbon isotopes in atmospheric CO2 over the industrial era and into the future. Glob. Biogeochem. Cycles 2020, 34, 21. [Google Scholar] [CrossRef]
  19. Javoy, M.; Pineau, F.; Delorme, H. Carbon and nitrogen isotopes in the mantle. Chem. Geol. 1986, 57, 41–62. [Google Scholar] [CrossRef]
  20. Still, C.J.; Berry, J.A.; Collatz, G.J.; DeFries, R.S. Global distribution of C3and C4vegetation: Carbon cycle implications. Glob. Biogeochem. Cycles 2003, 17, 6-1–6-14. [Google Scholar] [CrossRef]
  21. Zhang, J.; Quay, P.D.; Wilbur, D.O. Carbon isotope fractionation during gas-water exchange and dissolution of CO2. Geochim. Cosmochim. Acta 1995, 59, 107–114. [Google Scholar] [CrossRef]
  22. Schlesinger, H. Biogeochemistry, An Analysis of Global Change; Academic Press: San Diego, CA, USA, 1991; p. 317. [Google Scholar]
  23. Bonard, A.; Daële, V.; Delfau, J.-L.; Vovelle, C. Kinetics of OH Radical Reactions with Methane in the Temperature Range 295−660 K and with Dimethyl Ether and Methyl-tert-butyl Ether in the Temperature Range 295−618 K. J. Phys. Chem. A 2002, 106, 4384–4389. [Google Scholar] [CrossRef]
  24. Available online: https://climate.nasa.gov/vital-signs/methane/?intent=121 (accessed on 26 February 2025).
  25. France, J.L.; Fisher, R.E.; Lowry, D.; Allen, G.; Andrade, M.F.; Bauguitte, S.J.-B.; Bower, K.; Broderick, T.J.; Daly, M.C.; Forster, G.; et al. d13C methane source signatures from tropical wetland and rice field emissions. Phil. Trans. Roy. Soc. A 2021, 380, 20200449. [Google Scholar] [CrossRef] [PubMed]
  26. Saueressig, G.; Crowley, J.N.; Bergamaschi, P.; Bruhl, C.; Brenninkmeijer, C.A.M.; Fischer, H. Carbon 13 and D kinetic isotope effects in the reactions of CH4 with O(1D) and OH: New laboratory measurements and their implications for the isotopic composition of srtratospheric methane. J. Geophys. Res. Atmos. 2001, 106, 23127–23138. [Google Scholar] [CrossRef]
  27. Zhang, Q.L.; Chang, T.L.; Li, W.J. A calibrated measurement of the atomic weight of carbon. Chin. Sci. Bull. 1990, 35, 290–296. [Google Scholar]
  28. Lan, X.; Basu, S.; Schwietzke, S.; Bruhwiler, L.M.P.; Dlugokencky, E.J.; Michel, S.E.; Sherwood, O.A.; Tans, P.P.; Thoning, K.; Etiope, G.; et al. Improved Constraints on Global Methane Emissions and Sinks Using δ13C-CH4. Global Biogeochem. Cycles 2021, 35, e2021GB007000. [Google Scholar] [CrossRef]
  29. Gupta, M.L.; McGrath, M.P.; Cicerone, R.J.; Rowland, F.S.; Wolfsberg, M. 12C/13C kinetic isotope effects in the reactions of CH4 with OH and Cl. Geophys. Res. Lett. 1997, 24, 2761–2764. [Google Scholar] [CrossRef]
  30. Feilberg, K.L.; Johnson, M.S.; Nielsen, C.J. Relative rates of reaction of 13C16O, 12C18O, 12C17O and 13C18O with OH and OD radicals. Phys. Chem. Chem. Phys. 2002, 7, 2318–2323. [Google Scholar] [CrossRef]
  31. Drake, H.; Åström, M.E.; Heim, C.; Broman, C.; Åström, J.; Whitehouse, M.; Ivarsson, M.; Siljeström, S.; Sjövall, P. Extreme 13C depletion of carbonates formed during oxidation of biogenic methane in fractured granite. Nature Comm. 2015, 6, 7020. [Google Scholar] [CrossRef]
  32. Michalski, G.; Fang, H.; Walters, W.W.; Mase, D. iNRACM: Incorporating 15N into the Regional Atmospheric Chemistry Mechanism (RACM) for assessing the role photochemistry plays in controlling the isotopic composition of NOx, NOy, and atmospheric nitrate. Geosci. Model Dev. Discuss. 2020, 14, 5001–5022. [Google Scholar] [CrossRef]
  33. Bruno, G.; Harrison, J.J.; Chipperfield, M.P.; Moore, D.P.; Pope, R.J.; Wilson, C.; Mahieu, E.; Notholt, J. Atmospheric distribution of HCN from satellite observations and 3-D model simulations. Atmos. Chem. Phys. 2023, 23, 4849–4861. [Google Scholar] [CrossRef]
  34. Bhattarai, N.; Wang, S.; Pan, Y.; Xu, Q.; Zhang, Y.; Chang, Y.; Fang, Y. δ15N-stable isotope analysis of NHx: An overview on analytical measurements, source sampling and its source apportionment. Front. Environ. Sci. Eng. 2021, 15, 126. [Google Scholar] [CrossRef] [PubMed]
  35. Heng, K.; Lyons, J.R. Carbon dioxide in exoplanetary atmospheres: Rarely dominant compared to carbon monoxide and water in hot, hydrogen-dominated atmospheres. Astrophys. J. 2016, 817, 149. [Google Scholar] [CrossRef]
  36. Herbort, O.; Woitke, P.; Helling, C.; Zerkle, A. The atmospheres of rocky exoplanets. I. Outgassing of common rock and stability of liquid water. Astron. Astrophys. 2020, 636, A71. [Google Scholar] [CrossRef]
  37. Tsai, S.-M.; Lee, E.K.H.; Powell, D.; Gao, P.; Zhang, X.; Moses, J.; Hébrard, E.; Venot, O.; Parmentier, V.; Jordan, S.; et al. Photochemically produced SO2 in the atmosphere of WASP-39b. Nature 2023, 617, 483–487. [Google Scholar] [CrossRef]
  38. van Dishoeck, E.F.; Black, J.H. The photodissociation and chemistry of interstellar CO. Astrophys. J. 1988, 334, 771. [Google Scholar] [CrossRef]
  39. Heays, A.N.; Visser, R.; Gredel, R.; Ubachs, W.; Lewis, B.R.; Gibson, S.T.; van Dishoeck, E.F. Isotope selective photodissociation of N2by the interstellar radiation field and cosmic rays. Astron. Astrophys. 2014, 562, A61. [Google Scholar] [CrossRef]
  40. Yoshida, T.; Aoki, S.; Ueno, Y.; Terada, N.; Nakamura, Y.; Shiobara, K.; Yoshida, N.; Nakagawa, H.; Sakai, S.; Koyama, S. Strong depletion of 13C in CO induced by photolysis of CO2 in the Martian atmosphere calculated by a photochemical model. Planet. Sci. J. 2023, 4, 53. [Google Scholar] [CrossRef]
  41. Zahnle, K.J. Photochemistry of methane and the formation of hydrocyanic acid (HCN) in the Earth’s early atmosphere. J. Geophys. Res. Atmos. 1986, 91, 2819–2834. [Google Scholar] [CrossRef]
  42. Tian, F.; Kasting, J.F.; Zahnle, K. Revisiting HCN formation in Earth’s early atmosphere. Earth Planet. Sci. Lett. 2011, 308, 417–423. [Google Scholar] [CrossRef]
  43. Oro, J. Mechanism of synthesis of adenine from hydrogen cyanide under possible primitive Earth conditions. Nature 1961, 191, 1193–1194. [Google Scholar] [CrossRef]
  44. Dong, C.; Lee, Y.; Ma, Y.; Lingam, M.; Bougher, S.; Luhmann, J.; Curry, S.; Toth, G.; Nagy, A.; Tenishev, V.; et al. Modeling Martian atmospheric losses over time: Implications for exoplanetary climate evolution and habitability. Astrophys. J. Lett. 2018, 859, L14. [Google Scholar] [CrossRef]
  45. Lyon, R.K. Search for the N-N2 exchange reaction. Can. J. Chem. 1972, 50, 1437–1440. [Google Scholar] [CrossRef]
  46. Zhanga, X.; Sigman, D.M.; Morel, F.M.M.; Kraepiel, A.M.L. Nitrogen isotope fractionation by alternative nitrogenases and past ocean anoxia. Proc. Nat. Acad. Sci. USA 2014, 111, 4782–4787. [Google Scholar] [CrossRef] [PubMed]
  47. Schmidt, J.A.; Johnson, M.S.; Schinke, R. Carbon dioxide photolysis from 150 to 210 nm: Singlet and triplet channel dynamics, UV-spectrum, and isotope effects. Proc. Nat. Acad. Sci. USA 2013, 110, 17691–17696. [Google Scholar] [CrossRef]
  48. Ueno, Y.; Schmidt, J.A.; Johnson, M.S.; Zang, X.; Gilbert, A.; Kurokawa, H.; Usui, T.; Aoki, S. Synthesis of 13C-depleted organic matter from CO in a reducing early Martian atmosphere. Nat. Geosci. 2024, 17, 503–507. [Google Scholar] [CrossRef]
  49. Alday, J.; Trokhimovskiy, A.; Patel, M.R.; Fedorova, A.A.; Lefèvre, F.; Montmessin, F.; Holmes, J.A.; Rajendran, K.; Mason, J.P.; Olsen, K.S.; et al. Photochemical depletion of heavy CO isotopes in the Martian atmosphere. Nat. Astron. 2023, 7, 867–876. [Google Scholar] [CrossRef]
  50. Aoki, S.; Shiobara, K.; Yoshida, N.; Trompet, L.; Yoshida, T.; Terada, N.; Nakagawa, H.; Liuzzi, G.; Vandaele, A.C.; Thomas, I.R.; et al. Strong depletion of 13C in CO in the atmosphere of Mars revealed by ExoMars-TGO/NOMAD. Planet. Sci. J. 2023, 4, 97. [Google Scholar] [CrossRef]
  51. Beale, C.; Buzan, E.; Boone, C.; Bernath, P. Near-global distribution of CO isotopic fractionation in the Earth’s atmosphere. J. Mol. Spectrosc. 2016, 323, 59–66. [Google Scholar] [CrossRef]
  52. Clancy, R.T.; Muhleman, D.O. A measurement of the 12CO/13CO ratio in the mesosphere of Venus. Astrophys. J. 1983, 273, 829–836. [Google Scholar] [CrossRef]
  53. Mahieux, A.; Vandaele, A.C.; Bougher, S.W.; Drummond, R.; Robert, S.; Wilquet, V.; Chamberlain, S.; Piccialli, A.; Montmessin, F.; Tellmann, S.; et al. Update of the Venus density and temperature profiles at high altitude measured by SOIR onboard Venus Express. Planet. Space. Sci. 2015, 113, 309–320. [Google Scholar] [CrossRef]
  54. Husain, D.; Young, A.N. Kinetic investigation of ground state carbon atoms, C(23 P J ). J. Chem. Soc. Faraday Trans. 1975, 71, 525–531. [Google Scholar] [CrossRef]
  55. Husain, D.; Kirsch, L.J. Reactions of atomic carbon C(23PJ) by kinetic absorption spectroscopy in the vacuum ultra-violet. J. Chem. Soc. Faraday Trans. 1971, 67, 2025–2035. [Google Scholar] [CrossRef]
  56. Lyons, J.R. Mass-independent fractionation of sulfur isotopes by isotope-selective photodissociation of SO2. Geophys. Res. Lett. 2007, 34, L22811. [Google Scholar] [CrossRef]
  57. Endo, Y.; Ueno, Y.; Aoyama, S.; Danielache, S.O. Sulfur isotope fractionation by broadband UV radiation to optically thin SO2 under reducing atmosphere. Earth Planet. Sci. Lett. 2016, 453, 9–22. [Google Scholar] [CrossRef]
  58. Ono, S.; Whitehill, A.R.; Lyons, J.R. Contribution of isotopologue self-shielding to sulfur mass-independent fractionation during sulfur dioxide photolysis. J. Geophys. Res. Atmos. 2013, 118, 2444–2454. [Google Scholar] [CrossRef]
  59. Whiticar, J. The Biogeochemical Methane Cycle. In Hydrocarbons, Oils and Lipids: Diversity, Origin, Chemistry and Fate; Wilkes, H., Ed.; Springer: Cham, Switzerland, 2020. [Google Scholar] [CrossRef]
  60. Alexander, C.M.O.; Fogel, M.; Yabuta, H.; Cody, G.D. The origin and evolution of chondrites recorded in the elemental and isotopic compositions of their macromolecular organic matter. Geochim. Cosmochim Acta 2007, 71, 4380–4403. [Google Scholar] [CrossRef]
  61. Mccollom, T.; Seewald, J. Carbon isotope composition of organic compounds produced by abiotic synthesis under hydrothermal conditions. Earth Planet. Sci. Lett. 2006, 243, 74–84. [Google Scholar] [CrossRef]
  62. Garcia, A.K.; Cavanaugh, C.M.; Kacar, B. The curious consistency of carbon biosignatures over billions of years of Earth-life coevolution. ISME J. 2021, 15, 2183–2194. [Google Scholar] [CrossRef]
  63. Hinrichs, K. Microbial fixation of methane carbon at 2.7 Ga: Was an anaerobic mechanism possible? Geochem. Geophys. Geosystems 2002, 3, 1–10. [Google Scholar] [CrossRef]
  64. Des Marais, D.J. Isotopic Evolution of the Biogeochemical Carbon Cycle During the Precambrian. Rev. Miner. Geochem. 2001, 43, 555–578. [Google Scholar] [CrossRef]
  65. Planavsky, N.; Partin, C.; Bekker, A. Carbon Isotopes as a Geochemical Tracer. In Encyclopedia of Astrobiology; Gargaud, M., Irvine, W.M., Amils, R., Claeys, P., Cleaves, H.J., Gerin, M., Rouan, D., Spohn, T., Tirard, S., Viso, M., Eds.; Springer: Berlin/Heidelberg, Germany, 2014. [Google Scholar] [CrossRef]
  66. Gordon, I.; Rothman, L.; Hargreaves, R.; Hashemi, R.; Karlovets, E.; Skinner, F.; Conway, E.; Hill, C.; Kochanov, R.; Tan, Y.; et al. The HITRAN2020 molecular spectroscopic database. J. Quant. Spectrosc. Radiat. Transf. 2022, 277, 107949. [Google Scholar] [CrossRef]
  67. Fujii, Y.; Angerhausen, D.; Deitrick, R.; Domagal-Goldman, S.; Grenfell, J.L.; Hori, Y.; Kane, S.R.; Palle, E.; Rauer, H.; Siegler, N.; et al. Exoplanet biosignatures: Observational prospects. Astrobiology 2018, 18, 739–778. [Google Scholar] [CrossRef] [PubMed]
  68. Ayres, T.R.; Lyons, J.R.; Ludwig, H.-G.; Caffau, E.; Wedemeyer-Bohm, S. Is the Sun lighter than the Earth? Isotopic CO in the photosphere, viewed through the lens of three-dimensional spectrum synthesis. Astrophys. J. 2013, 765, 46. [Google Scholar] [CrossRef]
  69. Marty, B.; Chaussidon, M.; Wiens, R.C.; Jurewicz, A.J.G.; Burnett, D.S. A 15N-poor isotopic composition for the Solar System as shown by Genesis solar wind samples. Science 2011, 332, 1533–1536. [Google Scholar] [CrossRef]
  70. Bean, J.L.; Raymond, S.N.; Owen, J.E. The nature and origins of sub-Neptune size planets. J. Geophys. Res. Planets 2021, 126, e2020JE006639. [Google Scholar] [CrossRef]
  71. Hu, R.; Seager, S. Photochemistry in terrestrial exoplanet atmospheres. III. Photochemistry and thermochemistry in thick atmospheres on super Earths and mini Neptunes. Astrophys. J. 2014, 784, 63. [Google Scholar] [CrossRef]
Figure 1. (a) Beta factors for C isotope exchange for several C-containing molecules relevant to exoplanet and early Earth atmospheres. (b) Beta factors for N isotope exchange for several N-containing molecules relevant to exoplanet and early Earth atmospheres. (c) Beta factors for 34S–32S isotope exchange for several S-containing molecules relevant to exoplanet and early Earth atmospheres.
Figure 1. (a) Beta factors for C isotope exchange for several C-containing molecules relevant to exoplanet and early Earth atmospheres. (b) Beta factors for N isotope exchange for several N-containing molecules relevant to exoplanet and early Earth atmospheres. (c) Beta factors for 34S–32S isotope exchange for several S-containing molecules relevant to exoplanet and early Earth atmospheres.
Life 15 00398 g001aLife 15 00398 g001b
Figure 2. (a) Differences in equilibrium δ13C values, defined as Δδ13C, for several pairs of C-containing molecules relevant to exoplanet atmospheres. Attaining equilibrium at lower temperatures would require the presence of a catalyst. (b) Differences in equilibrium δ15N values, defined as Δδ15N, for several pairs of N-containing molecules relevant to exoplanet atmospheres. N2 is included here as an important reference, but its isotope ratio cannot be determined from infrared observations. (c) Differences in equilibrium δ34S values, defined as Δδ34S, for several pairs of S-containing molecules relative to H2S and relevant to exoplanet atmospheres. S2 is included here as an important reference, but its isotope ratio cannot be determined from the infrared observations.
Figure 2. (a) Differences in equilibrium δ13C values, defined as Δδ13C, for several pairs of C-containing molecules relevant to exoplanet atmospheres. Attaining equilibrium at lower temperatures would require the presence of a catalyst. (b) Differences in equilibrium δ15N values, defined as Δδ15N, for several pairs of N-containing molecules relevant to exoplanet atmospheres. N2 is included here as an important reference, but its isotope ratio cannot be determined from infrared observations. (c) Differences in equilibrium δ34S values, defined as Δδ34S, for several pairs of S-containing molecules relative to H2S and relevant to exoplanet atmospheres. S2 is included here as an important reference, but its isotope ratio cannot be determined from the infrared observations.
Life 15 00398 g002aLife 15 00398 g002b
Figure 3. Photodissociation rate coefficients for 28N2 and 29N2 isotopologues for an Earth atmosphere model for a solar zenith angle (SZA) of 45°. The more abundant 28N2 is optically thicker at a given altitude than is 29N2. This defines the self-shielding region to be from ~350 km to 120 km, but it should be noted that the rate coefficient has decreased by two orders of magnitude by 120 km.
Figure 3. Photodissociation rate coefficients for 28N2 and 29N2 isotopologues for an Earth atmosphere model for a solar zenith angle (SZA) of 45°. The more abundant 28N2 is optically thicker at a given altitude than is 29N2. This defines the self-shielding region to be from ~350 km to 120 km, but it should be noted that the rate coefficient has decreased by two orders of magnitude by 120 km.
Life 15 00398 g003
Figure 4. δ15N of N atoms due to N2 self-shielding for several values of the rate constant for N exchange with N2. Measurements at 1273 K indicate that this exchange reaction is effectively zero at lower temperatures [45], implying that the black curve is the most plausible. Peak enrichment occurs from 150–200 km. The possible recombination of N with NH is not included here.
Figure 4. δ15N of N atoms due to N2 self-shielding for several values of the rate constant for N exchange with N2. Measurements at 1273 K indicate that this exchange reaction is effectively zero at lower temperatures [45], implying that the black curve is the most plausible. Peak enrichment occurs from 150–200 km. The possible recombination of N with NH is not included here.
Life 15 00398 g004
Figure 5. δ15N of N(2D) for several values of the rate constant for N(2D) exchange with N2. To the best of the author’s knowledge, this rate constant has not been measured.
Figure 5. δ15N of N(2D) for several values of the rate constant for N(2D) exchange with N2. To the best of the author’s knowledge, this rate constant has not been measured.
Life 15 00398 g005
Figure 6. Measured UV cross sections of HCN and DCN.
Figure 6. Measured UV cross sections of HCN and DCN.
Life 15 00398 g006
Figure 7. Computed carbon isotope fractionation due to CO2 photolysis in the Venus mesosphere using the computed isotopic cross sections at 195 K (black) and 120 K (red) [47]. Millimeter wave observations of 12CO/13CO from [52] have been converted to δ-values with uncertainties. Additional fractionation processes may be required.
Figure 7. Computed carbon isotope fractionation due to CO2 photolysis in the Venus mesosphere using the computed isotopic cross sections at 195 K (black) and 120 K (red) [47]. Millimeter wave observations of 12CO/13CO from [52] have been converted to δ-values with uncertainties. Additional fractionation processes may be required.
Life 15 00398 g007
Figure 8. Composition of the Earth atmosphere over time. These are representative partial pressure curves with large uncertainties for ages >1 Gyr and very large uncertainties beyond 3 Gyr. The N2, CO2, CH4, and O2 curves are from a review by Catling and Zahnle (2020) [2]. HCN is estimated to be 10−1 times the CH4 partial pressure prior to the Great Oxidation Event (GOE) at 2.4 Gyr and 10−4 times CH4 after the GOE. My focus here is on the detectable species CO2, CH4, and HCN for ages > 2.5 Gyr.
Figure 8. Composition of the Earth atmosphere over time. These are representative partial pressure curves with large uncertainties for ages >1 Gyr and very large uncertainties beyond 3 Gyr. The N2, CO2, CH4, and O2 curves are from a review by Catling and Zahnle (2020) [2]. HCN is estimated to be 10−1 times the CH4 partial pressure prior to the Great Oxidation Event (GOE) at 2.4 Gyr and 10−4 times CH4 after the GOE. My focus here is on the detectable species CO2, CH4, and HCN for ages > 2.5 Gyr.
Life 15 00398 g008
Figure 9. C and H isotope ratios for various biogenic and abiogenic CH4 processes. The fields defined here for microbial, thermogenic, and geothermal CH4 are from Whiticar (2020). I assume that the earliest Earth (4.4 to 4.0 Gyr) had thermogenic and/or geothermal CH4 sources and that hydrogenotrophic methanogens were present after 4.0 Gyr. Acetoclastic and methylotrophic methanogens were also important sources of CH4 prior to the GOE. In general, abiogenic processes occur at higher temperatures than biogenic processes.
Figure 9. C and H isotope ratios for various biogenic and abiogenic CH4 processes. The fields defined here for microbial, thermogenic, and geothermal CH4 are from Whiticar (2020). I assume that the earliest Earth (4.4 to 4.0 Gyr) had thermogenic and/or geothermal CH4 sources and that hydrogenotrophic methanogens were present after 4.0 Gyr. Acetoclastic and methylotrophic methanogens were also important sources of CH4 prior to the GOE. In general, abiogenic processes occur at higher temperatures than biogenic processes.
Life 15 00398 g009
Figure 12. (a) Normalized line intensities of 12CH4 and 13CH4 in the ν4 band, and (b) in the ν3 band. The ν3 band has a redshift of ~10 cm−1 for 13CH4, and the ν4 band has a redshift of ~8 cm−1. For both these figures, the 13CH4 line intensity has been normalized by the 13C fraction (0.011103) given in HITRAN. Data from HITRANonline [66].
Figure 12. (a) Normalized line intensities of 12CH4 and 13CH4 in the ν4 band, and (b) in the ν3 band. The ν3 band has a redshift of ~10 cm−1 for 13CH4, and the ν4 band has a redshift of ~8 cm−1. For both these figures, the 13CH4 line intensity has been normalized by the 13C fraction (0.011103) given in HITRAN. Data from HITRANonline [66].
Life 15 00398 g012
Figure 13. (a) Normalized line intensities for the ν2 band (bending mode) of three isotopologues of HCN. (b) A zoomed-in view of the Q branches illustrating the very small band shift for HC15N. Note that the HITRAN data for HC15N are incomplete and show only the envelope of the Q-branch. For both figures, the H13CN and HC15N line intensities are normalized by the 13C fraction (0.011068) and 15N fraction (0.003622) given in HITRAN. Data from HITRANonline [66].
Figure 13. (a) Normalized line intensities for the ν2 band (bending mode) of three isotopologues of HCN. (b) A zoomed-in view of the Q branches illustrating the very small band shift for HC15N. Note that the HITRAN data for HC15N are incomplete and show only the envelope of the Q-branch. For both figures, the H13CN and HC15N line intensities are normalized by the 13C fraction (0.011068) and 15N fraction (0.003622) given in HITRAN. Data from HITRANonline [66].
Life 15 00398 g013
Figure 14. (a) Normalized line intensities for the ν3 band (asymmetric stretch) of 32SO2 and 34SO2. (b) Line intensities illustrating the high line density typical of SO2 over a range of just 2 cm−1. For both figures, the 32SO2 and 34SO2 line intensities are normalized by the 32S fraction (0.945678) and 34S fraction (0.041950) given in HITRAN. Data from HITRANonline [66].
Figure 14. (a) Normalized line intensities for the ν3 band (asymmetric stretch) of 32SO2 and 34SO2. (b) Line intensities illustrating the high line density typical of SO2 over a range of just 2 cm−1. For both figures, the 32SO2 and 34SO2 line intensities are normalized by the 32S fraction (0.945678) and 34S fraction (0.041950) given in HITRAN. Data from HITRANonline [66].
Life 15 00398 g014
Table 1. Summary of possible photochemical and biological isotopic signatures of exoplanets.
Table 1. Summary of possible photochemical and biological isotopic signatures of exoplanets.
Exoplanet TypeIsotope RatioFractionation ProcessMolecule (s)δ-Values a,b (‰)IR BandsSpectral
Resolution e
Exo-Venus13C/12CCO2 + hν
CO self-shielding
CO mesosphere
CO mesosphere
δ13C ~−200
probably small
CO 4.7 μm f
CO 4.7 μm
3000–5000
3000–5000
Exo-Earth15N/14N
13C/12C
13C/12C
N2 self-shielding
H. methanogens
CO2 + hν
HCN or HNC
CH4 vs. CO2
CO mesosphere
δ15N ~370–5400
Δδ13C ~−95
δ13C ~−200
HCN ν3
see text
CO 4.7 μm
700–7000
400–60,000
3000–5000
Super-Earth (rock)13C/12C

15N/14N
13C/12C
CO2 + hν
CO self-shielding
N2 self-shielding
H. methanogens c
CO mesosphere
CO mesosphere
HCN or HNC
CH4 vs. CO2
δ13C ~−200
probably small
δ15N ~370–5400
Δδ13C ~−95
CO 4.7 μm
CO 4.7 μm
HCN ν3
see text
3000–5000
3000–5000
700–7000
400–60,000
Sub-Neptune
Warm Neptune d
13C/12C

15N/14N
CO2 + hν
CO self-shielding
N2 self-shielding
(low NH3)
CO stratosphere
CO stratosphere
HCN or HNC
δ13C ~−200
probably small
δ15N < 370–5400 at high temps
CO 4.7 μm
CO 4.7 μm
HCN ν3
3000–5000
3000–5000
700–7000
Hot Jupiter34S/32S

13C/12C
SO2 self-shielding

CO self-shielding
SO2 stratosphere SO stratosphere
CO stratosphere
δ34S ~−10 to −50
δ34S ~100 to 200
probably small
SO2 ν3
SO
CO 4.7 μm
6700–47,000
>1000
3000–5000
a For photochemical reactions, δ-values are relative to the parent molecule (e.g., CO2, N2, SO2). b For hydrogenotrophic methanogens Δδ13C = δ13C(CH4) − δ13C(CO2). c For low-temperature super-Earth (~300 K). d Assuming that hazes do not substantially block UV. e When the spectra have Q branches, low values are for Q-branch envelopes and high values are for individual Q-branch lines. f The first overtone at 2.35 µm is also useful.
Disclaimer/Publisher’s Note: The statements, opinions and data contained in all publications are solely those of the individual author(s) and contributor(s) and not of MDPI and/or the editor(s). MDPI and/or the editor(s) disclaim responsibility for any injury to people or property resulting from any ideas, methods, instructions or products referred to in the content.

Share and Cite

MDPI and ACS Style

Lyons, J.R. Biological, Equilibrium and Photochemical Signatures of C, N and S Isotopes in the Early Earth and Exoplanet Atmospheres. Life 2025, 15, 398. https://doi.org/10.3390/life15030398

AMA Style

Lyons JR. Biological, Equilibrium and Photochemical Signatures of C, N and S Isotopes in the Early Earth and Exoplanet Atmospheres. Life. 2025; 15(3):398. https://doi.org/10.3390/life15030398

Chicago/Turabian Style

Lyons, James R. 2025. "Biological, Equilibrium and Photochemical Signatures of C, N and S Isotopes in the Early Earth and Exoplanet Atmospheres" Life 15, no. 3: 398. https://doi.org/10.3390/life15030398

APA Style

Lyons, J. R. (2025). Biological, Equilibrium and Photochemical Signatures of C, N and S Isotopes in the Early Earth and Exoplanet Atmospheres. Life, 15(3), 398. https://doi.org/10.3390/life15030398

Note that from the first issue of 2016, this journal uses article numbers instead of page numbers. See further details here.

Article Metrics

Back to TopTop