Assessment of the Sex Hormone Profile and Its Predictive Role in Consciousness Recovery Following Severe Traumatic Brain Injury
Abstract
1. Introduction
2. Material and Methods
2.1. Study Populations and Definitions of Variables
2.2. Patient Characteristics and Hormonal Evaluations
2.3. Outcome Definition
2.4. Statistical Analysis
3. Results
3.1. Patients Characteristics
3.2. Comparison of Sex Hormone Serum Levels Between Males and Females
3.3. Comparison of Sex Hormone Serum Levels Within Each Gender Between RC and NRC Groups
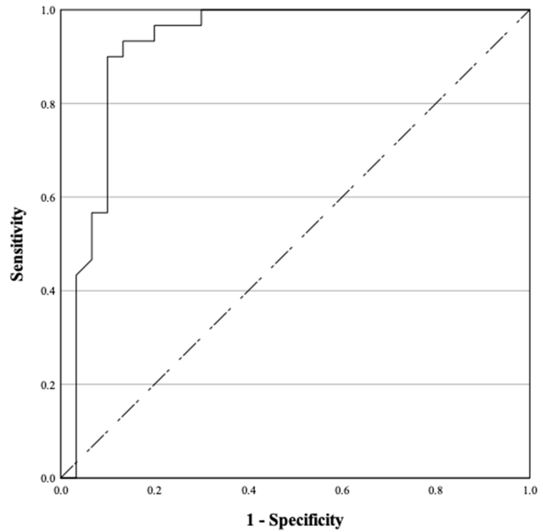
3.4. Predictors of Recovery After TBIs
4. Discussion
5. Limitations
6. Conclusions
Author Contributions
Funding
Institutional Review Board Statement
Informed Consent Statement
Data Availability Statement
Conflicts of Interest
References
- Harrison, J.; Helps, Y.; Henley, G. Hospital separations due to traumatic brain injury, Australia 2004-05. Inj. Epidemiol. 2008, 45, 23–34. [Google Scholar]
- Werner, C.; Engelhard, K. Pathophysiology of traumatic brain injury. Br. J. Anaesth. 2007, 99, 4–9. [Google Scholar] [CrossRef] [PubMed]
- Langlois, J.A.; Rutland-Brown, W.; Wald, M.M. The epidemiology and impact of traumatic brain injury: A brief overview. J. Head. Trauma Rehabil. 2006, 21, 375–378. [Google Scholar] [CrossRef] [PubMed]
- Ordonez-Rubiano, E.G.; Johnson, J.; Enciso-Olivera, C.O.; Marin-Munoz, J.H.; Cortes-Lozano, W.; Baquero-Herrera, P.E.; Ordonez-Mora, E.G.; Cifuentes-Lobelo, H.A. Reconstruction of the Ascending Reticular Activating System with Diffusion Tensor Tractography in Patients with a Disorder of Consciousness after Traumatic Brain Injury. Cureus 2017, 9, e1723. [Google Scholar] [CrossRef]
- Coleman, M.R.; Davis, M.H.; Rodd, J.M.; Robson, T.; Ali, A.; Owen, A.M.; Pickard, J.D. Towards the routine use of brain imaging to aid the clinical diagnosis of disorders of consciousness. Brain 2009, 132, 2541–2552. [Google Scholar] [CrossRef]
- Rutland-Brown, W.; Langlois, J.A.; Thomas, K.E.; Xi, Y.L. Incidence of traumatic brain injury in the United States, 2003. J. Head Trauma Rehabil. 2006, 21, 544–548. [Google Scholar] [CrossRef]
- Zhong, Y.H.; Wu, H.Y.; He, R.H.; Zheng, B.E.; Fan, J.Z. Sex Differences in Sex Hormone Profiles and Prediction of Consciousness Recovery After Severe Traumatic Brain Injury. Front. Endocrinol. 2019, 10, 261. [Google Scholar] [CrossRef]
- Vafaee, R.; Vafaei, A.; Forouzanfar, M.M.; Asadollahi, S.; Kashani, P.; Heidari, K.; Hosseini Zijoud, S.M. Epidemiology of traumatic brain injury in Iranian population: The results of a multicenter study. Wulfenia 2013, 20, 257–263. [Google Scholar]
- Thurman, D.J.; Alverson, C.; Dunn, K.A.; Guerrero, J.; Sniezek, J.E. Traumatic brain injury in the United States: A public health perspective. J. Head. Trauma Rehabil. 1999, 14, 602–615. [Google Scholar] [CrossRef]
- Berry, C.; Ley, E.J.; Tillou, A.; Cryer, G.; Margulies, D.R.; Salim, A. The effect of gender on patients with moderate to severe head injuries. J. Trauma 2009, 67, 950–953. [Google Scholar] [CrossRef]
- Farace, E.; Alves, W.M. Do women fare worse: A metaanalysis of gender differences in traumatic brain injury outcome. J. Neurosurg. 2000, 93, 539–545. [Google Scholar] [CrossRef] [PubMed]
- Farin, A.; Marshall, L.F. Lessons from epidemiologic studies in clinical trials of traumatic brain injury. In Mechanisms of Secondary Brain Damage from Trauma and Ischemia; Springer: Berlin/Heidelberg, Germany, 2004; pp. 101–107. [Google Scholar]
- Ottochian, M.; Salim, A.; Berry, C.; Chan, L.S.; Wilson, M.T.; Margulies, D.R. Severe traumatic brain injury: Is there a gender difference in mortality? Am. J. Surg. 2009, 197, 155–158. [Google Scholar] [CrossRef] [PubMed]
- Wagner, A.K.; Hammond, F.M.; Sasser, H.C.; Wiercisiewski, D.; Norton, H.J. Use of injury severity variables in determining disability and community integration after traumatic brain injury. Trauma Acute Care Surg. 2000, 49, 411–419. [Google Scholar] [CrossRef] [PubMed]
- Stein, D.G.; Wright, D.W.; Kellermann, A.L. Does progesterone have neuroprotective properties? Ann. Emerg. Med. 2008, 51, 164–172. [Google Scholar] [CrossRef]
- Wright, D.W.; Kellermann, A.L.; Hertzberg, V.S.; Clark, P.L.; Frankel, M.; Goldstein, F.C.; Salomone, J.P.; Dent, L.L.; Harris, O.A.; Ander, D.S.; et al. ProTECT: A randomized clinical trial of progesterone for acute traumatic brain injury. Ann. Emerg. Med. 2007, 49, 391–402. [Google Scholar] [CrossRef]
- Xiao, G.; Wei, J.; Yan, W.; Wang, W.; Lu, Z. Improved outcomes from the administration of progesterone for patients with acute severe traumatic brain injury: A randomized controlled trial. Crit. Care 2008, 12, R61. [Google Scholar] [CrossRef]
- Wagner, A.K.; McCullough, E.H.; Niyonkuru, C.; Ozawa, H.; Loucks, T.L.; Dobos, J.A.; Brett, C.A.; Santarsieri, M.; Dixon, C.E.; Berga, S.L.; et al. Acute serum hormone levels: Characterization and prognosis after severe traumatic brain injury. J. Neurotrauma 2011, 28, 871–888. [Google Scholar] [CrossRef]
- Wagner, J.; Dusick, J.R.; McArthur, D.L.; Cohan, P.; Wang, C.; Swerdloff, R.; Boscardin, W.J.; Kelly, D.F. Acute gonadotroph and somatotroph hormonal suppression after traumatic brain injury. J. Neurotrauma 2010, 27, 1007–1019. [Google Scholar] [CrossRef]
- Foreman, B.P.; Caesar, R.R.; Parks, J.; Madden, C.; Gentilello, L.M.; Shafi, S.; Carlile, M.C.; Harper, C.R.; Diaz-Arrastia, R.R. Usefulness of the abbreviated injury score and the injury severity score in comparison to the Glasgow Coma Scale in predicting outcome after traumatic brain injury. J. Trauma Acute Care Surg. 2007, 62, 946–950. [Google Scholar] [CrossRef]
- Paffrath, T.; Lefering, R.; Flohé, S.; TraumaRegister, D.G.U. How to define severely injured patients?—An Injury Severity Score (ISS) based approach alone is not sufficient. Injury 2014, 45, S64–S69. [Google Scholar] [CrossRef]
- Hsu, C.-J.; Hueng, D.-Y. Rotterdam CT score. J. Neurosurg. 2023, 139, 1493–1494. [Google Scholar] [CrossRef] [PubMed]
- Giacino, J.T.; Kalmar, K.; Whyte, J. The JFK Coma Recovery Scale-Revised: Measurement characteristics and diagnostic utility. Arch. Phys. Med. Rehabil. 2004, 85, 2020–2029. [Google Scholar] [CrossRef] [PubMed]
- Dusick, J.R.; Wang, C.; Cohan, P.; Swerdloff, R.; Kelly, D.F. Pathophysiology of hypopituitarism in the setting of brain injury. J. Pituitary 2012, 15, 2–9. [Google Scholar] [CrossRef] [PubMed]
- Hannon, M.J.; Sherlock, M.; Thompson, C.J. Pituitary dysfunction following traumatic brain injury or subarachnoid haemorrhage–In “Endocrine Management in the Intensive Care Unit”. Best. Pract. Res. Clin. Endocrinol. Metab. 2011, 25, 783–798. [Google Scholar] [CrossRef] [PubMed]
- Mushkudiani, N.A.; Engel, D.C.; Steyerberg, E.W.; Butcher, I.; Lu, J.; Marmarou, A.; Slieker, F.; McHugh, G.S.; Murray, G.D.; Maas, A.I. Prognostic value of demographic characteristics in traumatic brain injury: Results from the IMPACT study. J. Neurotrauma 2007, 24, 259–269. [Google Scholar] [CrossRef]
- Niemeier, J.P.; Perrin, P.B.; Holcomb, M.G.; Rolston, C.D.; Artman, L.K.; Lu, J.; Nersessova, K.S. Gender differences in awareness and outcomes during acute traumatic brain injury recovery. J. Womens Health 2014, 23, 573–580. [Google Scholar] [CrossRef]
- Kirkness, C.J.; Burr, R.L.; Mitchell, P.H.; Newell, D.W. Is there a sex difference in the course following traumatic brain injury? Biol. Res. Nurs. 2004, 5, 299–310. [Google Scholar] [CrossRef]
- Groswasser, Z.; Cohen, M.; Keren, O. Female TBI patients recover better than males. Brain Inj. 1998, 12, 805–808. [Google Scholar] [CrossRef]
- Roof, R.L.; Duvdevani, R.; Stein, D.G. Gender influences outcome of brain injury: Progesterone plays a protective role. Brain Res. 1993, 607, 333–336. [Google Scholar] [CrossRef]
- Hoffman, G.E.; Merchenthaler, I.; Zup, S.L. Neuroprotection by ovarian hormones in animal models of neurological disease. Endocrine 2006, 29, 217–231. [Google Scholar] [CrossRef]
- Feldman, H.A.; Longcope, C.; Derby, C.A.; Johannes, C.B.; Araujo, A.B.; Coviello, A.D.; Bremner, W.J.; McKinlay, J.B. Age trends in the level of serum testosterone and other hormones in middle-aged men: Longitudinal results from the Massachusetts male aging study. J. Clin. Endocrinol. Metab. 2002, 87, 589–598. [Google Scholar] [CrossRef] [PubMed]
- Roof, R.L.; Hall, E.D. Gender differences in acute CNS trauma and stroke: Neuroprotective effects of estrogen and progesterone. J. Neurotrauma 2000, 17, 367–388. [Google Scholar] [CrossRef] [PubMed]
- Kraus, J.F.; Peek-Asa, C.; McArthur, D. The independent effect of gender on outcomes following traumatic brain injury: A preliminary investigation. Neurosurg. Focus. 2000, 8, e5. [Google Scholar] [CrossRef] [PubMed]
- Edlow, B.L.; Takahashi, E.; Wu, O.; Benner, T.; Dai, G.; Bu, L.; Grant, P.E.; Greer, D.M.; Greenberg, S.M.; Kinney, H.C.; et al. Neuroanatomic connectivity of the human ascending arousal system critical to consciousness and its disorders. J. Neuropathol. Exp. Neurol. 2012, 71, 531–546. [Google Scholar] [CrossRef]
- Jang, S.H.; Kwon, H.G. The ascending reticular activating system from pontine reticular formation to the hypothalamus in the human brain: A diffusion tensor imaging study. Neurosci. Lett. 2015, 590, 58–61. [Google Scholar] [CrossRef]
- Lin, J.S.; Anaclet, C.; Sergeeva, O.A.; Haas, H.L. The waking brain: An update. Cell Mol. Life Sci. 2011, 68, 2499–2512. [Google Scholar] [CrossRef]
- Szymusiak, R.; McGinty, D. Hypothalamic regulation of sleep and arousal. Ann. N. Y Acad. Sci. 2008, 1129, 275–286. [Google Scholar] [CrossRef]
- Agha, A.; Rogers, B.; Mylotte, D.; Taleb, F.; Tormey, W.; Phillips, J.; Thompson, C.J. Neuroendocrine dysfunction in the acute phase of traumatic brain injury. Clin. Endocrinol. 2004, 60, 584–591. [Google Scholar] [CrossRef]
- Klose, M.; Juul, A.; Struck, J.; Morgenthaler, N.G.; Kosteljanetz, M.; Feldt-Rasmussen, U. Acute and long-term pituitary insufficiency in traumatic brain injury: A prospective single-centre study. Clin. Endocrinol. 2007, 67, 598–606. [Google Scholar] [CrossRef]
- Olivecrona, Z.; Dahlqvist, P.; Koskinen, L.-O.D. Acute neuro-endocrine profile and prediction of outcome after severe brain injury. Scand. J. Trauma Resusc. Emerg. Med. 2013, 21, 1–13. [Google Scholar] [CrossRef]
- Vagnerova, K.; Koerner, I.P.; Hurn, P.D. Gender and the injured brain. Anesth. Analg. 2008, 107, 201–214. [Google Scholar] [CrossRef] [PubMed]
- Ntali, G.; Tsagarakis, S. Traumatic brain injury induced neuroendocrine changes: Acute hormonal changes of anterior pituitary function. Pituitary 2019, 22, 283–295. [Google Scholar] [CrossRef] [PubMed]
- Lopez-Rodriguez, A.B.; Acaz-Fonseca, E.; Spezzano, R.; Giatti, S.; Caruso, D.; Viveros, M.P.; Melcangi, R.C.; Garcia-Segura, L.M. Profiling Neuroactive Steroid Levels After Traumatic Brain Injury in Male Mice. Endocrinology 2016, 157, 3983–3993. [Google Scholar] [CrossRef] [PubMed]
- Son, S.W.; Lee, J.S.; Kim, H.G.; Kim, D.W.; Ahn, Y.C.; Son, C.G. Testosterone depletion increases the susceptibility of brain tissue to oxidative damage in a restraint stress mouse model. J. Neurochem. 2016, 136, 106–117. [Google Scholar] [CrossRef]
- Ransome, M.I.; Boon, W.C. Testosterone-induced adult neurosphere growth is mediated by sexually-dimorphic aromatase expression. Front. Cell Neurosci. 2015, 9, 253. [Google Scholar] [CrossRef]
- Allen, K.M.; Purves-Tyson, T.D.; Fung, S.J.; Shannon Weickert, C. The effect of adolescent testosterone on hippocampal BDNF and TrkB mRNA expression: Relationship with cell proliferation. BMC Neurosci. 2015, 16, 4. [Google Scholar] [CrossRef]
- Bimonte-Nelson, H.A.; Singleton, R.S.; Nelson, M.E.; Eckman, C.B.; Barber, J.; Scott, T.Y.; Granholm, A.-C.E. Testosterone, but not nonaromatizable dihydrotestosterone, improves working memory and alters nerve growth factor levels in aged male rats. Exp. Neurol. 2003, 181, 301–312. [Google Scholar] [CrossRef]
- Cosgrove, K.P.; Mazure, C.M.; Staley, J.K. Evolving knowledge of sex differences in brain structure, function, and chemistry. Biol. Psychiatry 2007, 62, 847–855. [Google Scholar] [CrossRef]
- Newcombe, V.; Chatfield, D.; Outtrim, J.; Vowler, S.; Manktelow, A.; Cross, J.; Scoffings, D.; Coleman, M.; Hutchinson, P.; Coles, J. Mapping traumatic axonal injury using diffusion tensor imaging: Correlations with functional outcome. PLoS ONE 2011, 6, e19214. [Google Scholar] [CrossRef]
- Jones, K.J. Gonadal steroids as promoting factors in axonal regeneration. Brain Res. Bull. 1993, 30, 491–498. [Google Scholar] [CrossRef]
- Roselli, C.E. Sex differences in androgen receptors and aromatase activity in microdissected regions of the rat brain. Endocrinology 1991, 128, 1310–1316. [Google Scholar] [CrossRef]
- Stein, D.G.; Wright, D.W. Progesterone in the clinical treatment of acute traumatic brain injury. Expert. Opin. Investig. Drugs 2010, 19, 847–857. [Google Scholar] [CrossRef]
- Cutler, S.M.; Cekic, M.; Miller, D.M.; Wali, B.; VanLandingham, J.W.; Stein, D.G. Progesterone improves acute recovery after traumatic brain injury in the aged rat. J. Neurotrauma 2007, 24, 1475–1486. [Google Scholar] [CrossRef]
- Wright, D.W.; Yeatts, S.D.; Silbergleit, R.; Palesch, Y.Y.; Hertzberg, V.S.; Frankel, M.; Goldstein, F.C.; Caveney, A.F.; Howlett-Smith, H.; Bengelink, E.M. Very early administration of progesterone for acute traumatic brain injury. N. Eng. J. Med. 2014, 371, 2457–2466. [Google Scholar] [CrossRef]
- Viscoli, C.M.; Brass, L.M.; Kernan, W.N.; Sarrel, P.M.; Suissa, S.; Horwitz, R.I. A clinical trial of estrogen-replacement therapy after ischemic stroke. N. Eng. J. Med. 2001, 345, 1243–1249. [Google Scholar] [CrossRef]
- Attella, M.J.; Nattinville, A.; Stein, D.G. Hormonal state affects recovery from frontal cortex lesions in adult female rats. Behav. Neural Biol. 1987, 48, 352–367. [Google Scholar] [CrossRef]
- Roof, R.L.; Duvdevani, R.; Braswell, L.; Stein, D.G. Progesterone facilitates cognitive recovery and reduces secondary neuronal loss caused by cortical contusion injury in male rats. Exp. Neurol. 1994, 129, 64–69. [Google Scholar] [CrossRef]
- Chen, G.; Shi, J.; Ding, Y.; Yin, H.; Hang, C. Progesterone prevents traumatic brain injury-induced intestinal nuclear factor kappa B activation and proinflammatory cytokines expression in male rats. Mediators Inflamm. 2007, 9, 43–51. [Google Scholar] [CrossRef]
- Stein, D.G. Progesterone exerts neuroprotective effects after brain injury. Brain Res. Rev. 2008, 57, 386–397. [Google Scholar] [CrossRef]
- Amiry-Moghaddam, M.; Otsuka, T.; Hurn, P.D.; Traystman, R.J.; Haug, F.-M.; Froehner, S.C.; Adams, M.E.; Neely, J.D.; Agre, P.; Ottersen, O.P. An α-syntrophin-dependent pool of AQP4 in astroglial end-feet confers bidirectional water flow between blood and brain. Proc. Natl. Acad. Sci. USA 2003, 100, 2106–2111. [Google Scholar] [CrossRef]


| Variable | Categories | Male (n = 60) | Female (n = 60) | p-Value |
|---|---|---|---|---|
| Age (years) | Mean ± SD | 33.40 ± 6.52 | 34.25 ± 5.93 | 0.288 |
| Mechanism of injury, (N, %) | Automobile | 44 (73.4%) | 38 (63.3%) | 0.212 |
| Motorcycle | 9 (15%) | 8 (13.3%) | 0.198 | |
| Fall/Jump | 7 (11.7%) | 14 (23.3%) | 0.319 | |
| Radiological type of injury, (N, %) | Subdural hematoma | 20 (33.3%) | 18 (30%) | 0.549 |
| Diffuse axonal injury | 7 (11.7%) | 6 (10%) | 0.910 | |
| Epidural hematoma | 5 (8.3%) | 3 (5%) | 0.489 | |
| Subarachnoid hematoma | 9 (15%) | 10 (16.7%) | 0.320 | |
| Contusion | 13 (21.7%) | 15 (25%) | 0.224 | |
| Interventricular hematoma | 3 (5%) | 4 (6.7%) | 0.768 | |
| Intracerebral hemorrhage | 3 (5%) | 4 (6.7%) | 0.768 | |
| GCS at admission | Mean ± SD | 4.70 ± 1.18 | 4.51 ± 1.17 | 0.198 |
| ISS | Mean ± SD | 35.96 ± 3.53 | 36.03 ± 3.64 | 0.460 |
| Time from injury to measure the level of sex hormone (days) | Mean ± SD | 2.46 ± 1.09 | 2.60 ± 1.13 | 0.257 |
| Hormone | RC Group | NRC Group | ||||
|---|---|---|---|---|---|---|
| Male | Female | p-Value | Male | Female | p-Value | |
| Testosterone (ng/mL) | 2.56 ± 0.47 | 0.17 ± 0.08 | p < 0.001 | 0.81 ± 0.41 | 0.20 ± 0.08 | p < 0.001 |
| Estradiol (pg/mL) | 20.16 ± 7.41 | 80.96 ± 12.84 | p < 0.001 | 34.21 ± 7.47 | 39.00 ± 13.70 | 0.099 |
| FSH (mIU/L) | 4.61 ± 1.37 | 12.66 ± 5.00 | p < 0.001 | 1.93 ± 0.90 | 23.53 ± 2.71 | p < 0.001 |
| LH (mIU/L) | 3.27 ± 1.18 | 6.88 ± 1.19 | p < 0.001 | 4.73 ± 0.96 | 9.98 ± 1.62 | p < 0.001 |
| Progesterone (ng/mL) | 0.15 ± 0.05 | 1.80 ± 0.31 | p < 0.001 | 0.33 ± 0.06 | 0.62 ± 0.31 | p < 0.001 |
| Prolactin (ng/mL) | 22.09 ± 6.13 | 60.90 ± 8.14 | p < 0.001 | 33.94 ± 4.12 | 49.53 ± 12.10 | p < 0.001 |
| Variable | Multivariate Analysis | ||
|---|---|---|---|
| Odds Ratio | 95% Confidence Interval | p-Value | |
| Male Patients | |||
| Testosterone (ng/mL) | 4.798 | 2.121–8.318 | <0.001 |
| FSH (mIU/L) | 0.309 | 0.109–2.476 | 0.120 |
| LH (mIU/L) | 0.412 | 0.009–1.194 | 0.212 |
| Progesterone (ng/mL) | 0.879 | 0.101–2.412 | 0.109 |
| Prolactin (ng/mL) | 1.033 | 0.204–1.203 | 0.178 |
| Female Patients | |||
| Testosterone (ng/mL) | 1.217 | 0.708–3.309 | 0.289 |
| FSH (mIU/L) | 1.133 | 0.103–2.467 | 0.187 |
| LH (mIU/L) | 0.303 | 0.001–0.903 | 0.294 |
| Progesterone (ng/mL) | 7.930 | 0.303–10.190 | <0.001 |
| Prolactin (ng/mL) | 0.178 | 0.004–0.890 | 0.133 |
Disclaimer/Publisher’s Note: The statements, opinions and data contained in all publications are solely those of the individual author(s) and contributor(s) and not of MDPI and/or the editor(s). MDPI and/or the editor(s) disclaim responsibility for any injury to people or property resulting from any ideas, methods, instructions or products referred to in the content. |
© 2025 by the authors. Licensee MDPI, Basel, Switzerland. This article is an open access article distributed under the terms and conditions of the Creative Commons Attribution (CC BY) license (https://creativecommons.org/licenses/by/4.0/).
Share and Cite
Naseri Alavi, S.A.; Pourasghary, S.; Rezakhah, A.; Habibi, M.A.; Kazempour, A.; Mahdkhah, A.; Kobets, A. Assessment of the Sex Hormone Profile and Its Predictive Role in Consciousness Recovery Following Severe Traumatic Brain Injury. Life 2025, 15, 359. https://doi.org/10.3390/life15030359
Naseri Alavi SA, Pourasghary S, Rezakhah A, Habibi MA, Kazempour A, Mahdkhah A, Kobets A. Assessment of the Sex Hormone Profile and Its Predictive Role in Consciousness Recovery Following Severe Traumatic Brain Injury. Life. 2025; 15(3):359. https://doi.org/10.3390/life15030359
Chicago/Turabian StyleNaseri Alavi, Seyed Ahmad, Sajjad Pourasghary, Amir Rezakhah, Mohammad Amin Habibi, Aydin Kazempour, Ata Mahdkhah, and Andrew Kobets. 2025. "Assessment of the Sex Hormone Profile and Its Predictive Role in Consciousness Recovery Following Severe Traumatic Brain Injury" Life 15, no. 3: 359. https://doi.org/10.3390/life15030359
APA StyleNaseri Alavi, S. A., Pourasghary, S., Rezakhah, A., Habibi, M. A., Kazempour, A., Mahdkhah, A., & Kobets, A. (2025). Assessment of the Sex Hormone Profile and Its Predictive Role in Consciousness Recovery Following Severe Traumatic Brain Injury. Life, 15(3), 359. https://doi.org/10.3390/life15030359

