Dairy Wastewaters to Promote Mixotrophic Metabolism in Limnospira (Spirulina) platensis: Effect on Biomass Composition, Phycocyanin Content, and Fatty Acid Methyl Ester Profile
Abstract
1. Introduction
2. Materials and Methods
2.1. Inoculum and Culture Media Preparation
2.2. Cultivation Conditions and Experimental Setup
2.3. Cell Growth and Dry Weight Determination
2.4. Phycobilinprotein Extraction and Spectrophotometric Determination
2.5. FAMEs and Healthy Parameters Determination
2.6. Statistical Analysis
3. Results
3.1. Cheese Effluents Composition
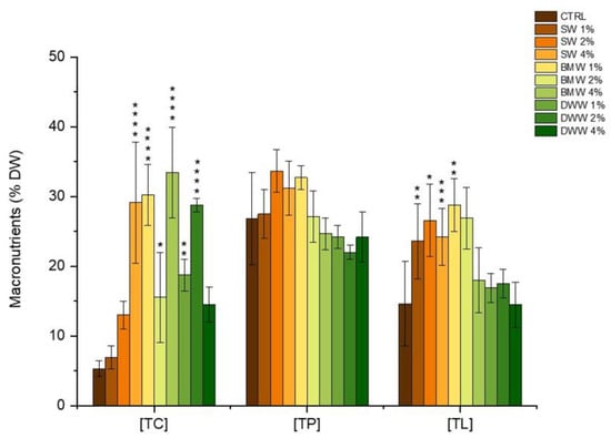
3.2. Growth Profile and Biomass Composition of L. platensis Using CW
3.3. Phycobiliprotein Production by L. platensis Under Mixotrophic Conditions
3.4. FAME Profile by L. platensis Under Mixotrophy
4. Discussion
5. Conclusions
Supplementary Materials
Author Contributions
Funding
Institutional Review Board Statement
Informed Consent Statement
Data Availability Statement
Acknowledgments
Conflicts of Interest
References
- Yang, N.; Zhang, Q.; Chen, J.; Wu, S.; Chen, R.; Yao, L.; Li, B.; Liu, X.; Zhang, R.; Zhang, Z. Study on bioactive compounds of microalgae as antioxidants in a bibliometric analysis and visualization perspective. Front. Plant Sci. 2023, 14, 1144326. [Google Scholar] [CrossRef] [PubMed]
- Siddhnath; Surasani, V.K.R.; Singh, A.; Singh, S.M.; Hauzoukim; Narasimha Murthy, L.; Kirankumar Gopalbhai, B. Bioactive compounds from microalgae and its application in foods: A review. Discov. Food 2024, 4, 27. [Google Scholar] [CrossRef]
- Lutzu, G.A.; Usai, L.; Ciurli, A.; Chiellini, C.; Di Caprio, F.; Pagnanelli, F.; Parsaeiemhr, A.; Malina, I.; Malins, K.; Fabbricino, M.; et al. Engineering strategies of microalgal cultivation for potential jet fuel production: A critical review. J. Environ. Chem. Eng. 2024, 12, 113886. [Google Scholar] [CrossRef]
- Pereira, L.; Cotas, J.; Valado, A. Antioxidants from microalgae and their potential impact on human well-being. Explor. Drug Sci. 2024, 2, 292–321. [Google Scholar] [CrossRef]
- Naik, B.; Mishra, R.; Kumar, V.; Mishra, S.; Gupta, U.; Rustagi, S.; Kumar Gupta, A.; Preet, M.S.; Bhatt, S.C.; Rizwanuddin, S. Micro-algae: Revolutionizing food production for a healthy and sustainable future. J. Agric. Food Res. 2024, 15, 100939. [Google Scholar] [CrossRef]
- Chaudhary, P.; Janmeda, P.; Docea, A.O.; Yeskaliyeva, B.; Abdull Razis, A.F.; Modu, B.; Calina, D.; Sharif-Rad, J. Oxidative stress, free radicals and antioxidants: Potential crosstalk in the pathophysiology of human diseases. Front. Chem. 2023, 11, 1158198. [Google Scholar] [CrossRef] [PubMed]
- Eze, C.N.; Onyejiaka, C.K.; Ihim, S.A.; Ayoka, T.O.; Aduba, C.C.; Ndukwe, J.K.; Nwaiwu, O.; Onyeaka, H. Bioactive compounds by microalgae and potentials for the management of some human disease conditions. AIMS Microbiol. 2023, 9, 55–74. [Google Scholar] [CrossRef]
- Udayan, A.; Pandey, A.K.; Sirohi, R.; Sreekumar, N.; Sang, B.-I.; Sim, S.J.; Kim, S.H.; Pandey, A. Production of microalgae with high lipid content and their potential as sources of nutraceuticals. Phytochem. Rev. 2023, 22, 833–860. [Google Scholar] [CrossRef]
- Novoveská, L.; Nielsen, S.L.; Eroldoğan, O.T.; Haznedaroglu, B.Z.; Rinkevich, B.; Fazi, S.; Robbens, J.; Vasquez, E.H. Overview and Challenges of Large-Scale Cultivation of Photosynthetic Microalgae and Cyanobacteria. Mar. Drugs. 2023, 21, 445. [Google Scholar] [CrossRef]
- Qin, S.; Wang, K.; Gao, F.; Ge, B.; Cui, H.; Li, W. Biotechnologies for bulk production of microalgal biomass: From mass cultivation to dried biomass acquisition. Biotechnol. Biofuels 2023, 16, 131. [Google Scholar] [CrossRef]
- Kiran, B.R.; Mohan, S.V. Microalgal cell biofactory-therapeutic, nutraceutical and functional food applications. Plants 2021, 10, 836. [Google Scholar] [CrossRef] [PubMed]
- Grand View Research. Available online: https://www.grandviewresearch.com/industry-analysis/nutraceuticals-market (accessed on 15 September 2024).
- Abreu, A.P.; Martins, R.; Nunes, J. Emerging applications of Chlorella sp. and Spirulina (Arthrospira) sp. Bioengineering 2023, 10, 955. [Google Scholar] [CrossRef]
- Alagawany, M.; Taha, A.E.; Noreldin, A.; El-Tarabily, K.A.; Abd El-Hack, M.E. Nutritional applications of species of Spirulina and Chlorella in farmed fish: A review. Aquaculture 2021, 542, 736841. [Google Scholar] [CrossRef]
- Gonçalves Bortolini, D.; Maciel, G.M.; de Andrade Arruda Fernandes, I.; Pedro, A.C.; Thaís Vieira Rubio, F.; Branco, I.G.; Haminiuk, C.W.I. Functional properties of bioactive compounds from Spirulina spp.: Current status and future trends. Food Chem. Mol. Sci. 2022, 5, 100134. [Google Scholar] [CrossRef]
- Su, M.; Bastiaens, L.; Verspreet, J.; Hayes, M. Applications of Microalgae in Foods, Pharma and Feeds and Their Use as Fertilizers and Biostimulants: Legislation and Regulatory Aspects for Consideration. Foods 2023, 12, 3878. [Google Scholar] [CrossRef]
- Gheda, S.; Abd El-Zaher, E.H.F.; Abou-Zeid, A.M.; Bedair, N.A.; Pereira, L. Potential activity of Arthrospira platensis as antioxidant, cytotoxic and antifungal against some skin diseases: Topical cream application. Mar. Drugs 2023, 21, 160. [Google Scholar] [CrossRef] [PubMed]
- Villaró, S.; Jiménez-Márquez, S.; Musari, E.; Bermejo, R.; Lafarga, T. Production of enzymatic hydrolysates with in vitro antioxidant, antihypertensive, and antidiabetic properties from proteins derived from Arthrospira platensis. Food Res. Int. 2023, 163, 112270. [Google Scholar] [CrossRef] [PubMed]
- Htoo, N.Y.M.; Kraseasintra, O.; Buncharoen, W.; Kaewkod, T.; Pekkoh, J.; Tragoolpua, Y.; Khoo, K.S.; Chaipoot, S.; Srinuanpan, S.; Pumas, C. In vitro immunomodulation activity of protein hydrolysate from Spirulina (Artrospira platensis): The ingredient of future foods. Front. Mar. Sci. 2024, 11, 1303025. [Google Scholar] [CrossRef]
- Citi, V.; Torre, S.; Flori, L.; Usai, L.; Aktay, N.; Dunford, N.T.; Lutzu, G.A.; Nieri, P. Nutraceutical features of the phycobiliprotein C-phycocyanin: Evidence from Arthrospira platensis (Spirulina). Nutrients 2024, 16, 1767. [Google Scholar] [CrossRef] [PubMed]
- Guieysse, B.; Plouviez, M. Microalgae cultivation: Closing the yield gap from laboratory to field scale. Front. Bioeng. Biotechnol. 2024, 12, 1359755. [Google Scholar] [CrossRef]
- Vitali, L.; Lolli, V.; Sansone, F.; Concas, A.; Lutzu, G.A. Lipid content and fatty acids methyl esters profile by Chromochloris zofingiensis under chemical and metabolic stress. Biomass Convers. Bioref. 2023. [Google Scholar] [CrossRef]
- Cavallini, A.; Torre, S.; Usai, L.; Casula, M.; Fais, G.; Nieri, P.; Concas, A.; Lutzu, G.A. Effect of Cheese Whey on Phycobiliproteins Production and FAME Profile by Arthrospira platensis (Spirulina): Promoting the Concept of a Circular Bio-Economy. Sustain. Chem. Pharm. 2024, 40, 101625. [Google Scholar] [CrossRef]
- Miotti, T.; Sansone, F.; Lolli, V.; Concas, A.; Lutzu, G.A. Mixotrophic and heterotrophic metabolism in brewery wastewater by Chlorella vulgaris: Effect on growth, FAME profile and biodiesel properties. Chem. Eng. Trans. 2024, 109, 97–102. [Google Scholar] [CrossRef]
- Zhu, J.; Hong, D.D.; Wakisaka, M. Phytic acid extracted from rice bran as a growth promoter for Euglena gracilis. Open Chem. 2019, 17, 57–63. [Google Scholar] [CrossRef]
- Zhu, J.; Guo, X.; Zhao, K.; Chen, X.; Zhao, X.; Yang, Z.; Yin, Y.; Wakisaka, M.; Fang, W. Comparative analysis of pretreatment methods for fruit waste valorization in Euglena gracilis cultivation: Impacts on biomass, β-1,3-glucan production, and photosynthetic efficiency. Foods 2024, 13, 3439. [Google Scholar] [CrossRef] [PubMed]
- Miotti, T.; Sansone, F.; Lolli, V.; Concas, A.; Lutzu, G.A. Dairy wastewater to promote mixotrophic and heterotrophic metabolism in Chlorella vulgaris: Effect on growth and FAME profile. Chem. Eng. Trans. 2023, 98, 81–86. [Google Scholar] [CrossRef]
- Sales, D.C.; Rangel, A.H.N.; Urbano, S.A.; Freitas, A.R.; Tonhati, H.; Novaes, L.P.; Pereira, M.I.B.; Borba, L.H.F. Relationship between mozzarella yield and milk composition, processing factors, and recovery of whey constituents. J. Dairy Sci. 2017, 100, 4308–4321. [Google Scholar] [CrossRef] [PubMed]
- Adesra, A.; Srivastava, V.K.; Varjani, S. Valorization of Dairy Wastes: Integrative Approaches for Value Added Products. Indian, J. Microbiol. 2021, 61, 270–278. [Google Scholar] [CrossRef]
- Ramsuroop, J.; Gutu, L.; Ayinde, W.B.; Basitere, M.; Manono, M.S. A Review of Biological Processes for Dairy Wastewater Treatment and the Effect of Physical Parameters Which Affect Their Efficiency. Water 2024, 16, 537. [Google Scholar] [CrossRef]
- Nham, Q.; Mattson, L.; Legrand, C.; Lindehoff, E. Whey permeate as a phosphorous source for algal cultivation. Water Environ. Res. 2023, 95, e10865. [Google Scholar] [CrossRef]
- Youssef, A.M.; Gomaa, M.; Mohamed, A.K.S.H.; El-Shanawany, A.-R.A. Enhancement of biomass productivity and biochemical composition of alkaliphilic microalgae by mixotrophic cultivation using cheese whey for biofuel production. Environ. Sci. Pollut. Res. 2024, 31, 42875–42888. [Google Scholar] [CrossRef] [PubMed]
- Santos Ribeiro, J.E.; Martini, M.; Altomonte, I.; Salari, F.; Nardoni, S.; Sorce, C.; da Silva, F.L.H.; Andreucci, A. Production of Chlorella protothecoides biomass, chlorophyll and carotenoids using the dairy industry by-product scotta as a substrate. Biocatal. Agric. Biotechnol. 2017, 11, 207–213. [Google Scholar] [CrossRef]
- Occhipinti, P.S.; Del Signore, F.; Canziani, S.; Caggia, C.; Mezzanotte, V.; Ferrer-Ledo, N. Mixotrophic and heterotrophic growth of Galdieria sulphuraria using buttermilk as a carbon source. J. Appl. Phycol. 2023, 35, 2631–2643. [Google Scholar] [CrossRef]
- SAG. The Culture Collection of Algae at the University of Gottingen. Germany. Available online: https://sagdb.uni-goettingen.de/ (accessed on 26 January 2024).
- Herrera, A.; Boussiba, S.; Napoleone, V.; Hohlberg, A. Recovery of C-phycocyanin from the cyanobacterium Spirulina maxima. J. Appl. Phycol. 1989, 1, 325–331. [Google Scholar] [CrossRef]
- Bryant, D.A.; Glazer, A.N.; Eiserling, F.A. Characterization and structural properties of the major biliproteins of Anabaena sp. Arch. Microbiol. 1976, 110, 61–75. [Google Scholar] [CrossRef] [PubMed]
- Breuer, G.; Evers, W.A.C.; de Vree, J.H.; Kleinegris, D.M.M.; Martens, D.E.; Wijffels, R.H.; Lamers, P.P. Analysis of fatty acid content and composition in microalgae. J. Vis. Exp. 2013, 80, e50628. [Google Scholar] [CrossRef]
- Russo, N.P.; Ballotta, M.; Usai, L.; Torre, S.; Giordano, M.; Casula, M.; Fais, G.; Dessi, D.; Nieri, P.; Damergi, E.; et al. Mixotrophic cultivation of Arthrospira platensis (Spirulina) under salt stress: Effect on biomass composition, FAME profile, and phycocyanin content. Mar. Drugs 2024, 22, 381. [Google Scholar] [CrossRef] [PubMed]
- Ulbricht, T.L.V.; Southgate, D.A.T. Coronary heart disease: Seven dietary factors. Lancet 1991, 338, 985–992. [Google Scholar] [CrossRef]
- Fernández, M.; Ordóñez, J.; Cambero, I.; Santos, C.; Pin, C.; Hoz, L. Fatty acid compositions of selected varieties of Spanish dry ham related to their nutritional implications. Food Chem. 2007, 101, 107–112. [Google Scholar] [CrossRef]
- Kolev Slavov, A. Dairy wastewaters—General characteristics and treatment possibilities—A review. Food Technol. Biotechnol. 2017, 55, 14–28. [Google Scholar] [CrossRef] [PubMed]
- Ahmad, T.; Aadil, T.R.M.; Ahmed, H.; Rahman, U.U.; Soares, B.C.V.; Souza, S.L.Q.; Pimentel, T.C.; Scudino, H.; Guimarães, J.T.; Esmerino, E.A.; et al. Treatment and utilization of dairy industrial waste: A review. Trends Food Sci. Technol. 2019, 88, 361–372. [Google Scholar] [CrossRef]
- Sar, T.; Harirchi, S.; Ramezani, M.; Bulkan, G.; Akbas, M.Y.; Pandey, A.; Taherzadeh, M.J. Potential utilization of dairy industries by-products and wastes through microbial processes: A critical review. Sci. Total Environ. 2022, 810, 152253. [Google Scholar] [CrossRef]
- Pereira, M.I.B.; Chagas, B.M.E.; Sassi, R.; Medeiros, G.F.; Aguiar, E.M.; Borba, L.H.F.; Silva, E.P.E.; Andrade Neto, J.C.; Rangel, A.H.N. Mixotrophic cultivation of Spirulina platensis in dairy wastewater: Effects on the production of biomass, biochemical composition and antioxidant capacity. PLoS ONE 2019, 14, e0224294. [Google Scholar] [CrossRef] [PubMed]
- Sánchez-Zurano, A.; Villaró-Cos, S.; Ciardi, M.; Acién-Fernández, F.G.; Fernández-Sevilla, J.M.; Lafarga, T. Assessment of the mixotrophic production of Chlorella vulgaris using milk whey as a nutrient source. J. Appl. Phycol. 2024, 36, 87–100. [Google Scholar] [CrossRef]
- Markou, G.; Kougia, E.; Arapoglou, D.; Chentir, I.; Andreou, V.; Tzovenis, I. Production of Arthrospira platensis: Effects on Growth and Biochemical Composition of Long-Term Acclimatization at Different Salinities. Bioengineering 2023, 10, 233. [Google Scholar] [CrossRef] [PubMed]
- Arahou, F.; Hassikou, R.; Arahou, M.; Rahzi, L.; Wahby, I. Influence of culture conditions on Arthrospira platensis growth and valorization of biomass as input for sustainable agriculture. Aquacult. Int. 2021, 29, 2009–2020. [Google Scholar] [CrossRef]
- Wang, J.; Qin, S.; Lin, J.; Wang, Q.; Li, W.; Gao, Y. Phycobiliproteins from microalgae: Research progress in sustainable production and extraction processes. Biotechnol. Biofuels 2023, 16, 170. [Google Scholar] [CrossRef] [PubMed]
- Nur, M.M.A.; Rahmawati, S.D.; Sari, I.W.; Achmad, Z.; Setyoningrum, T.M.; Jaya, D.; Murni, S.W.; Djarot, I.N. Enhancement of phycocyanin and carbohydrate production from Spirulina platensis growing on tofu wastewater by employing mixotrophic cultivation condition. Biocatal. Agric. Biotechnol. 2023, 47, 102600. [Google Scholar] [CrossRef]
- Conde, T.A.; Neves, B.F.; Couto, D.; Melo, T.; Neves, B.; Costa, M.; Silva, J.; Domingues, P.; Domingues, M.R. Microalgae as Sustainable Bio-Factories of Healthy Lipids: Evaluating Fatty Acid Content and Antioxidant Activity. Mar. Drugs 2021, 19, 357. [Google Scholar] [CrossRef]
- Matos, Â.P.; Feller, R.; Moecke, E.H.S.; de Oliveira, J.V.; Junior, A.F.; Derner, R.B.; Sant’Anna, E.S. Chemical Characterization of Six Microalgae with Potential Utility for Food Application. J. Am. Oil Chem. Soc. 2016, 93, 963–972. [Google Scholar] [CrossRef]
- Centeno da Rosa, A.P.; Moraes, L.; de Morais, E.G.; Costa, J.A.V. Fatty Acid Biosynthesis from Chlorella in Autotrophic and Mixotrophic Cultivation. Braz. Arch. Biol. Technol. 2020, 63, e20180534. [Google Scholar] [CrossRef]
- Laraib, N.; Manzoor, M.; Javid, A.; Jabeen, F.; Bukhari, S.M.; Ali, W.; Hussain, A. Mixotrophic cultivation of Chlorella vulgaris in sugarcane molasses preceding nitrogen starvation: Biomass productivity, lipid content, and fatty acid analyses. Environ. Prog. Sustain. Energy 2021, 40, e13625. [Google Scholar] [CrossRef]
- Yun, H.S.; Kim, Y.S.; Yoon, H.S. Effect of Different Cultivation Modes (Photoautotrophic, Mixotrophic, and Heterotrophic) on the Growth of Chlorella sp. and Biocompositions. Front Bioeng Biotechnol. 2021, 9, 774143. [Google Scholar] [CrossRef] [PubMed]
- Ogbonna, K.E.; Ogbonna, J.C.; Njoku, O.U.; Yamada, K.; Suzuki, I. Effect of organic carbon sources on growth, lipid production and fatty acid profile in mixotrophic culture of Scenedesmus dimorphus (Turpin) Kützing. Microbe 2024, 3, 100064. [Google Scholar] [CrossRef]
- Mansouri, H.; Nezhad, S. Improvement in biochemical parameters and changes in lipid profile of Scenedesmus obliquus by plant growth regulators under mixotrophic condition. Biomass Bioenergy 2020, 140, 105708. [Google Scholar] [CrossRef]
- Přibyl, P.; Cepák, V. Screening for heterotrophy in microalgae of various taxonomic positions and potential of mixotrophy for production of high-value compounds. J. Appl. Phycol. 2019, 31, 1555–1564. [Google Scholar] [CrossRef]
- Asunis, F.; De Gioannis, G.; Dessì, P.; Isipato, M.; Lens, P.N.L.; Muntoni, A.; Polettini, A.; Pomi, R.; Rossi, A.; Spiga, D. The dairy biorefinery: Integrating treatment processes for cheese whey valorization. J. Environ. Manag. 2020, 276, 111240. [Google Scholar] [CrossRef]
- Fancello, F.; Zara, G.; Hatami, F.; Scano, E.A.; Mannazzu, I. Unlocking the potential of second cheese whey: A comprehensive review on valorisation strategies. Rev. Environ. Sci. Biotechnol. 2024, 23, 411–441. [Google Scholar] [CrossRef]
- de Morais, E.G.; Druzian, J.I.; Larroza Nunes, I.; Greque de Morais, M.; Vieira Costa, J.A. Glycerol increases growth, protein production and alters the fatty acids profile of Spirulina (Arthrospira) sp LEB 18. Process Biochem. 2019, 76, 40–45. [Google Scholar] [CrossRef]
- Shayesteh, H.; Laird, D.W.; Hughes, L.J.; Nematollahi, M.A.; Kakhki, A.M.; Moheimani, N.R. Co-Producing Phycocyanin and Bioplastic in Arthrospira platensis Using Carbon-Rich Wastewater. BioTech 2023, 12, 49. [Google Scholar] [CrossRef]
- Pavan, M.; Reinmets, K.; Garg, S.; Mueller, A.P.; Marcellin, E.; Köpke, M.; Valgepea, K. Advances in Systems Metabolic Engineering of Autotrophic Carbon Oxide-Fixing Biocatalysts towards a Circular Economy. Metab. Eng. 2022, 71, 117–141. [Google Scholar] [CrossRef] [PubMed]
- Salla, A.C.V.; Margarites, A.C.; Seibel, F.I.; Holz, L.C.; Briao, V.B.; Bertolin, T.E.; Colla, L.M.; Vieira Costa, J.A. Increase in the carbohydrate content of the microalgae Spirulina in culture by nutrient starvation and the addition of residues of whey protein concentrate. Bioresour. Technol. 2016, 209, 133–141. [Google Scholar] [CrossRef] [PubMed]
- Athanasiadou, V.; Klontza, E.E.; Dimitriou-Christidis, P.; Fountoulakis, M.; Lekkas, D.F. Evaluation of Arthrospira (Spirulina) platensis growth on cheese whey in the context of circular economy. Sustain. Chem. Pharm. 2023, 34, 101173. [Google Scholar] [CrossRef]
- Gramegna, G.; Scortica, A.; Scafati, V.; Ferella, F.; Gurrieri, L.; Giovannoni, M.; Bassi, R.; Sparla, F.; Mattei, B.; Benedetti, M. Exploring the potential of microalgae in the recycling of dairy wastes. Bioresour. Technol. Rep. 2020, 12, 100604. [Google Scholar] [CrossRef]
- Kiani, H.; Ma, Q.; Xiao, M.; Li, Y.; Brooke, F.J.; Mulcahy, S.; Miros, S.; Halim, R. Growth and fatty acid profile of Nannochloropsis oceanica cultivated on nano-filtered whey permeate. J. Appl. Phycol. 2024, 36, 2503–2516. [Google Scholar] [CrossRef]
- Salah, A.; Sany, H.; El-Sayed, A.E.K.B.; El-Bahbohy, R.M.; Mohamed, H.I.; Amin, A. Growth Performance and Biochemical Composition of Desmodesmus sp. Green Alga Grown on Agricultural Industries Waste (Cheese Whey). Water Air Soil Pollut. 2023, 234, 770. [Google Scholar] [CrossRef]
- Salati, S.; D’Imporzano, G.; Menin, B.; Veronesi, D.; Scaglia, B.; Abbruscato, P.; Mariani, P.; Adani, F. Mixotrophic cultivation of Chlorella for local protein production using agro-food by-products. Bioresour. Technol. 2017, 230, 82–89. [Google Scholar] [CrossRef]
- Soni, B.; Sudhakar, K. Phycocyanin production, extraction and purification techniques: A review. Algal Res. 2021, 59, 102486. [Google Scholar] [CrossRef]
- Lauceri, R.; Cavone, C.; Chini Zittelli, G.; Kamburska, L.; Musazzi, S.; Torzillo, G. High purity grade phycocyanin recovery by decoupling cell lysis from the pigment extraction: An innovative approach. Food Bioprocess Technol. 2023, 16, 111–121. [Google Scholar] [CrossRef]
- da Silva Figuera, F.; Costa Moraes, C.; Juliano Kalil, S. C-Phycocianin purification: Multiple processes for different applications. Braz. J. Chem. Eng. 2018, 35. [Google Scholar] [CrossRef]
- Kurpan, D.; Idà, A.; Körner, F.; Lauceri, R.; Rocculli, P.; Phillips, R.; Scievano, A. Pilot-scale concentration and partial purification of food-grade phycocyanin from Arthrospira platensis via cross flow filtration: From biomass to final product. J. Appl. Phycol. 2023, 35, 2709–2718. [Google Scholar] [CrossRef]
- Phycocyanin Market Size, Share, Forecast, and Trends Analysis by Form (Powder, Liquid), Grade (Food-grade, Reagent grade, Cosmetic-grade Phycocyanin), Category (Non-Organic), Application (Food and Beverages, Pharaceuticals)—Global Forecast to 2031. Report ID: MRFB—104430. 2024, p. 194. Available online: https://www.meticulousresearch.com/product/phycocyanin-market-5126?utm_source=chatgpt.com (accessed on 19 December 2024).
- Ali, S.S.; Hassan, L.H.; El-Sheekh, M. Microalgae-mediated bioremediation: Current trends and opportunities—A review. Arch. Microbiol. 2024, 206, 343. [Google Scholar] [CrossRef] [PubMed]
- Maroneze, M.M.; Dias, R.R.; Severo, I.A.; Queiroz, M.I. Microalgae-Based Processes for Pigments Production. In Pigments from Microalgae Handbook; Jacob-Lopes, E., Queiroz, M., Zepka, L., Eds.; Springer: Cham, Switzerland, 2020. [Google Scholar] [CrossRef]
- Lu, X.; Zhao, W.; Wang, J.; He, W.; Yang, S.; Sun, H. A comprehensive review on the heterotrophic production of bioactive compounds by microalgae. World J. Microbiol. Biotechnol. 2024, 40, 210. [Google Scholar] [CrossRef]
- Devi, A.; Kalwani, M.; Patil, K.; Kumari, A.; Tyagi, A.; Shukla, P.; Pabbi, S. Microalgal Bio-pigments: Production and Enhancement Strategies to Enrich Microalgae-Derived Pigments. In Cyanobacterial Biotechnology in the 21st Century; Neilan, B., Passarini, M.R.Z., Singh, P.K., Kumar, A., Eds.; Springer: Singapore, 2023. [Google Scholar] [CrossRef]
- Perna, M.; Hewlings, S. Saturated Fatty Acid Chain Length and Risk of Cardiovascular Disease: A Systematic Review. Nutrients 2023, 15, 30. [Google Scholar] [CrossRef] [PubMed]
- Palomino, O.M.; Giordani, V.; Chowen, J.; Alfonso, S.F.; Goya, L. Physiological Doses of Oleic and Palmitic Acids Protect Human Endothelial Cells from Oxidative Stress. Molecules 2022, 27, 5217. [Google Scholar] [CrossRef] [PubMed]
- Delcheva, G.; Stefanova, K.; Stankova, T. Ceramides—Emerging Biomarkers of Lipotoxicity in Obesity, Diabetes, Cardiovascular Diseases, and Inflammation. Diseases 2024, 12, 195. [Google Scholar] [CrossRef]
- Cicerale, S.; Lucas, L.; Keast, R.S.J. Biological Activities of Phenolic Compounds Present in Virgin Olive Oil. Int. J. Mol. Sci. 2010, 11, 458–479. [Google Scholar] [CrossRef]
- Maltsev, Y.; Maltseva, K. Fatty Acids of Microalgae: Diversity and Applications. Rev. Environ. Sci. Biotechnol. 2021, 20, 515. [Google Scholar] [CrossRef]
- Khannapho, C.; Phodee, A.; Paithoonrangsarid, K.; Hongstongh, A.; Meechai, A.; Cheevadhanarah, S.; Tanticharoen, M. Effect of dilution rate in continuous cultures of Arthrospira (Spirulina) platensis C1 on nutrient use efficiency and macromolecular- and elemental compositions. J. Appl. Phycol. 2021, 33, 743–754. [Google Scholar] [CrossRef]
- Prete, V.; Abate, A.C.; Di Pietro, P.; De Lucia, M.; Vecchione, C.; Carrizzo, A. Beneficial Effects of Spirulina Supplementation in the Management of Cardiovascular Diseases. Nutrients 2024, 16, 642. [Google Scholar] [CrossRef] [PubMed]
- Delgado-Lista, J.; Perez-Martinez, P.; Lopez-Miranda, J.; Perez-Jimenez, F. Long chain omega-3 fatty acids and cardiovascular disease: A systematic review. Br. J. Nutr. 2012, 107, S201–S213. [Google Scholar] [CrossRef]
- Zhong, N.; Han, P.; Wang, Y.; Zheng, C. Associations of polyunsaturated fatty acids with cardiovascular disease and mortality: A study of NHANES database in 2003–2018. BMC Endocr. Disord. 2023, 23, 185. [Google Scholar] [CrossRef] [PubMed]
- Zock, P.L.; Blom, W.A.M.; Nettleton, J.A.; Hornstra, G. Progressing Insights into the Role of Dietary Fats in the Prevention of Cardiovascular Disease. Curr. Cardiol. Rep. 2016, 18, 111. [Google Scholar] [CrossRef]
- Silva, F.A.; Medeiros, V.P.B.; Costa, W.K.A.; dos Santos, R.L.; Somera, T.; Pimentel, T.C.; Magnani, M. Challenges and Perspectives for Alternative Media in Microalgae Cultivation: Main Substrates and Approaches and Potential of Alternative Derived Biomasses as Source of Bioactives. In Microalgal Bioengineering; Costa, J.A.V., Mitchell, B.G., Benemann, J., Eds.; Springer: Cham, Switzerland, 2024. [Google Scholar] [CrossRef]
- Liu, Y.; Ren, X.; Fan, C.; Wu, W.; Zhang, W.; Wang, Y. Health Benefits, Food Applications, and Sustainability of Microalgae-Derived N-3 PUFA. Foods 2022, 11, 1883. [Google Scholar] [CrossRef]







| Parameter | SW | BMW | DWW |
|---|---|---|---|
| BOD5 | 42,700 | 21,600 | 1246 |
| COD | 90,918 | 62,704 | 1528 |
| TN | 567 | 148 | 74 |
| TP | 575 | 235 | 16 |
| pH | 3.8 | 5.2 | 6.4 |
| FAMEs | C:N $ | CTRL | SW-1% | SW-2% | SW-4% | BMW-1% | BMW-2% | BMW-4% | DWW-1% | DWW-2% | DWW-4% |
|---|---|---|---|---|---|---|---|---|---|---|---|
| Myristic acid | 14:00 | 1.80 ± 0.16 a | 1.96 ± 1.07 a | 2.32 ± 0.87 a | 2.60 ± 0.74 a | 2.57 ± 0.34 a | 2.58 ± 0.44 a | 2,16 ± 0.18 a | 2.90 ± 0.20 a | 2.74 ± 0.32 a | 2.72 ± 0.11 a |
| Hexadecanoic acid | 16:00 | 40.09 ± 4.77 a | 42.77 ± 1.54 a | 41.74 ± 1.07 a | 40.35 ± 1.11 a | 40.88 ± 0.58 b | 41.48 ± 0.50ab | 41.81 ± 0.64 b | 41.83 ± 0.56 a | 42.55 ± 0.53 a | 42.15 ± 0.45 a |
| Hexadecenoic acid | 16:01 | 3.79 ± 0.70 a | 4.56 ± 0.71 a | 4.36 ± 0.46 a | 5.65 ± 1.00 a | 6.00 ± 1.29 a | 5.28 ± 0.38 a | 6.43 ± 0.22 a | 4.07 ± 0.24 a | 3.77 ± 0.37 a | 4.08 ± 0.91 a |
| Heptadecanoic acid | 17:00 | 0.22 ± 0.08 a | 0.18 ± 0.07 a | 0.15 ± 0.03 a | 0.20 ± 0.03 a | 0.14 ± 0.02 a | 0.15 ± 0.01 a | 0.14 ± 0.00 a | 0.13 ± 0.02 a | 0.12 ± 0.01 a | 0.12 ± 0.02 a |
| 10-Heptadecenoic acid | 17:1 cis | 0.27 ± 0.04 a | 0.31 ± 0.14 a | 0.31 ± 0.03 a | 0.36 ± 0.15 a | 0.28 ± 0.01 a | 0.25 ± 0.06 a | 0.20 ± 0.01 a | 0.22 ± 0.02 a | 0.17 ± 0.07 a | 0.21 ± 0.05 a |
| Stearic acid | 18:00 | 26.81 ± 2.35 a | 19.71 ± 7.37 ab | 17.11 ± 2.31 b | 15.53 ± 4.34 b | 14.99 ± 0.33 b | 16.18 ± 2.11 b | 18.56 ± 1.62 ab | 19.63 ± 0.15 a | 22.35 ± 1.71 a | 20.93 ± 1.97 a |
| Elaidic acid | 18:1 trans | 0.63 ± 0.24 a | 0.78 ± 0.08 a | 1.54 ± 0.37 a | 3.80 ± 1.17 b | 1.37 ± 0.27 a | 1.13 ± 0.32 a | 1.53 ± 0.18 a | 1.21 ± 0.10 a | 1.23 ± 0.07 a | 0.87 ± 0.12 a |
| Oleic acid | 18:1 cis | 5.91 ± 0.48 a | 6.29 ± 1.77 a | 5.59 ± 0.50 a | 6.19 ± 0.88 a | 6.05 ± 0.27 a | 5.98 ± 1.48 a | 4.63 ± 0.29 a | 6.18 ± 1.38 a | 5.00 ± 1.03 a | 5.97 ± 0.17 a |
| Linoleic acid | 18:02 | 7.26 ± 0.31 a | 8.40 ± 2.04 a | 8.82 ± 0.22 a | 9.18 ± 2.29 a | 9.75 ± 0.55 a | 9.45 ± 0.84 a | 8.58 ± 0.72 a | 8.39 ± 0.79 a | 7.55 ± 0.77 a | 8.06 ± 0.91 a |
| α-Linolenic acid | 18:3 ω-3 | 1.24 ± 0.05 a | 0.57 ± 0.61a | 0.83 ± 0.74 a | 0.36 ± 0.22 a | 0.69 ± 0.42 ab | 0.56 ± 0.04 ab | 0.21 ± 0.09 b | 0.40 ± 0.06 a | 0.52 ± 0.15 a | 0.49 ± 0.28 a |
| y-Linolenic acid | 18:3 ω-6 | 10.60 ± 0.51 a | 13.33 ± 3.17ab | 15.66 ± 1.12 b | 14.33 ± 2.63 ab | 15.70 ± 0.95 b | 15.34 ± 0.93 b | 14.48 ± 1.32 ab | 13.65 ± 0.71 a | 12.63 ± 1.02 a | 13.11 ± 1.07 a |
| 8,11,14-Eicosatrienoic acid | 20:03 | 1.19 ± 0.12 a | 0.96 ± 0.30 a | 0.99 ± 0.25 a | 0.89 ± 0.23 a | 1.18 ± 0.23 a | 1.21 ± 0.19 a | 0.88 ± 0.04 a | 1.05 ± 0.23 a | 1.03 ± 0.20 a | 1.03 ± 0.15 a |
| 13-Docosenoic acid | 22:01 | 0.19 ± 0.02 a | 0.19 ± 0.08 a | 0.58 ± 0.32 b | 0.57 ± 0.21 b | 0.40 ± 0.05 a | 0.41 ± 0.05 a | 0.39 ± 0.03 a | 0.34 ± 0.05 a | 0.35 ± 0.05 a | 0.24 ± 0.05 a |
| Σ SFAs | / | 68.92 | 64.62 | 61.32 | 58.68 | 59.78 | 60.39 | 62.67 | 64.49 | 67.76 | 65.92 |
| Σ UFAs | / | 31.08 | 35.39 | 38.68 | 41.33 | 41.02 | 39.61 | 37.33 | 35.51 | 32.25 | 34.06 |
| Σ MUFAs | / | 10.79 | 12.13 | 12.38 | 16.57 | 13.7 | 13.05 | 13.18 | 12.02 | 10.52 | 11.37 |
| Σ PUFAs | / | 20.29 | 23.26 | 26.30 | 24.76 | 27.32 | 26.56 | 24.15 | 23.49 | 21.73 | 22.69 |
| PUFA:SFA | / | 0.29 | 0.36 | 0.43 | 0.42 | 0.46 | 0.44 | 0.38 | 0.36 | 0.32 | 0.34 |
| C16-C18 | / | 96.33 | 96.41 | 95.65 | 95.39 | 95.43 | 95.40 | 96.23 | 95.36 | 95.60 | 95.66 |
| h/H | / | 0.64 | 0.74 | 0.76 | 0.81 | 0.80 | 0.76 | 0.69 | 0.69 | 0.62 | 0.66 |
| Microalgae | Organic Source | TI | AI | h/H Ratio | Reference |
|---|---|---|---|---|---|
| Limnospira platensis | dairy | 0.86 | 0.97 | 0.81 | This work |
| Limnospira platensis | photoautotrophy | 1.60 | 0.70 | 0.60 | [51] |
| Limnospira platensis | photoautotrophy | 1.46 | 1.1 | 0.66 | [52] |
| Limnospira platensis | dairy | 0.94 | 0.84 | 1.07 | [23] |
| Limnospira platensis | brewery | 3.51 | 1.76 | 0.74 | [27] |
| Parachlorella kessleri (formerly Chlorella kessleri) | glucose | 1.51 | 1.64 | 1.47 | [53] |
| Chlorella vulgaris | molasses | 0.79 | 0.71 | 2.67 | [54] |
| Chlorella vulgaris | glucose | 0.42 | 0.40 | 2.80 | [53] |
| Chlorella vulgaris | glucose | 0.38 | 0.39 | 2.36 | [55] |
| Chlorella vulgaris | brewery | 0.48 | 1.21 | 2.55 | [24] |
| Chlorella vulgaris | dairy | 0.59 | 1.77 | 1.86 | [27] |
| Chlorella sorokiniana | glucose | 0.31 | 0.45 | 1.76 | [55] |
| Chlorella sorokiniana | glucose | 0.42 | 0.49 | 2.00 | [55] |
| Chromocloris zofingensis | molasses | 0.40 | 0.23 | 3.73 | [22] |
| Chromocloris zofingensis | dairy | 0.40 | 0.21 | 4.22 | [22] |
| Nannochloropsis oceanica | photoautotrophy | 0.30 | 0.60 | 1.44 | [51] |
| Tetradesmus dimorphus (formerly Scenedesmus dimorphus) | glucose | 4.00 | 1.68 | 1.07 | [56] |
| Tetradesmus obliquus (formerly Scenedesmus obliquus) | sodium acetate | - | - | 2.09 | [57] |
| Tetraselmis chui | photoautotrophy | 0.20 | 0.40 | 1.04 | [51] |
| Tribonema aequale | glucose | 0.18 | 1.02 | 3.70 | [58] |
Disclaimer/Publisher’s Note: The statements, opinions and data contained in all publications are solely those of the individual author(s) and contributor(s) and not of MDPI and/or the editor(s). MDPI and/or the editor(s) disclaim responsibility for any injury to people or property resulting from any ideas, methods, instructions or products referred to in the content. |
© 2025 by the authors. Licensee MDPI, Basel, Switzerland. This article is an open access article distributed under the terms and conditions of the Creative Commons Attribution (CC BY) license (https://creativecommons.org/licenses/by/4.0/).
Share and Cite
Baraldi, L.; Usai, L.; Torre, S.; Fais, G.; Casula, M.; Dessi, D.; Nieri, P.; Concas, A.; Lutzu, G.A. Dairy Wastewaters to Promote Mixotrophic Metabolism in Limnospira (Spirulina) platensis: Effect on Biomass Composition, Phycocyanin Content, and Fatty Acid Methyl Ester Profile. Life 2025, 15, 184. https://doi.org/10.3390/life15020184
Baraldi L, Usai L, Torre S, Fais G, Casula M, Dessi D, Nieri P, Concas A, Lutzu GA. Dairy Wastewaters to Promote Mixotrophic Metabolism in Limnospira (Spirulina) platensis: Effect on Biomass Composition, Phycocyanin Content, and Fatty Acid Methyl Ester Profile. Life. 2025; 15(2):184. https://doi.org/10.3390/life15020184
Chicago/Turabian StyleBaraldi, Luca, Luca Usai, Serenella Torre, Giacomo Fais, Mattia Casula, Debora Dessi, Paola Nieri, Alessandro Concas, and Giovanni Antonio Lutzu. 2025. "Dairy Wastewaters to Promote Mixotrophic Metabolism in Limnospira (Spirulina) platensis: Effect on Biomass Composition, Phycocyanin Content, and Fatty Acid Methyl Ester Profile" Life 15, no. 2: 184. https://doi.org/10.3390/life15020184
APA StyleBaraldi, L., Usai, L., Torre, S., Fais, G., Casula, M., Dessi, D., Nieri, P., Concas, A., & Lutzu, G. A. (2025). Dairy Wastewaters to Promote Mixotrophic Metabolism in Limnospira (Spirulina) platensis: Effect on Biomass Composition, Phycocyanin Content, and Fatty Acid Methyl Ester Profile. Life, 15(2), 184. https://doi.org/10.3390/life15020184

