Previous Article in Journal
Multiscale Segmentation-Guided Diffusion Model for CBCT-to-CT Synthesis
Previous Article in Special Issue
Comparative Effects of Adapted Taekwondo Versus Tai Chi on Health Status in Independent Older Women: A Randomized Controlled Trial
 
 
Font Type:
Arial Georgia Verdana
Font Size:
Aa Aa Aa
Line Spacing:
Column Width:
Background:
This is an early access version, the complete PDF, HTML, and XML versions will be available soon.
Case Report

Changes in Cortisol Awakening Response During 10 Days of High-Intensity Cycling Exercise

1
Faculty of Liberal Arts, Sciences and Global Education, Osaka Metropolitan University, 2-1-132 Morinomiya, Joto-ku, Osaka-shi 536-8525, Osaka, Japan
2
Department of Sport Sciences, Osaka University of Health and Sport Sciences, 1-1 Asashirodai, Kumatori-cho, Sennan-gun, Osaka 590-0406, Japan
*
Author to whom correspondence should be addressed.
Life 2025, 15(12), 1872; https://doi.org/10.3390/life15121872 (registering DOI)
Submission received: 7 October 2025 / Revised: 13 November 2025 / Accepted: 27 November 2025 / Published: 6 December 2025
(This article belongs to the Special Issue Advances and Applications of Sport Physiology: 2nd Edition)

Abstract

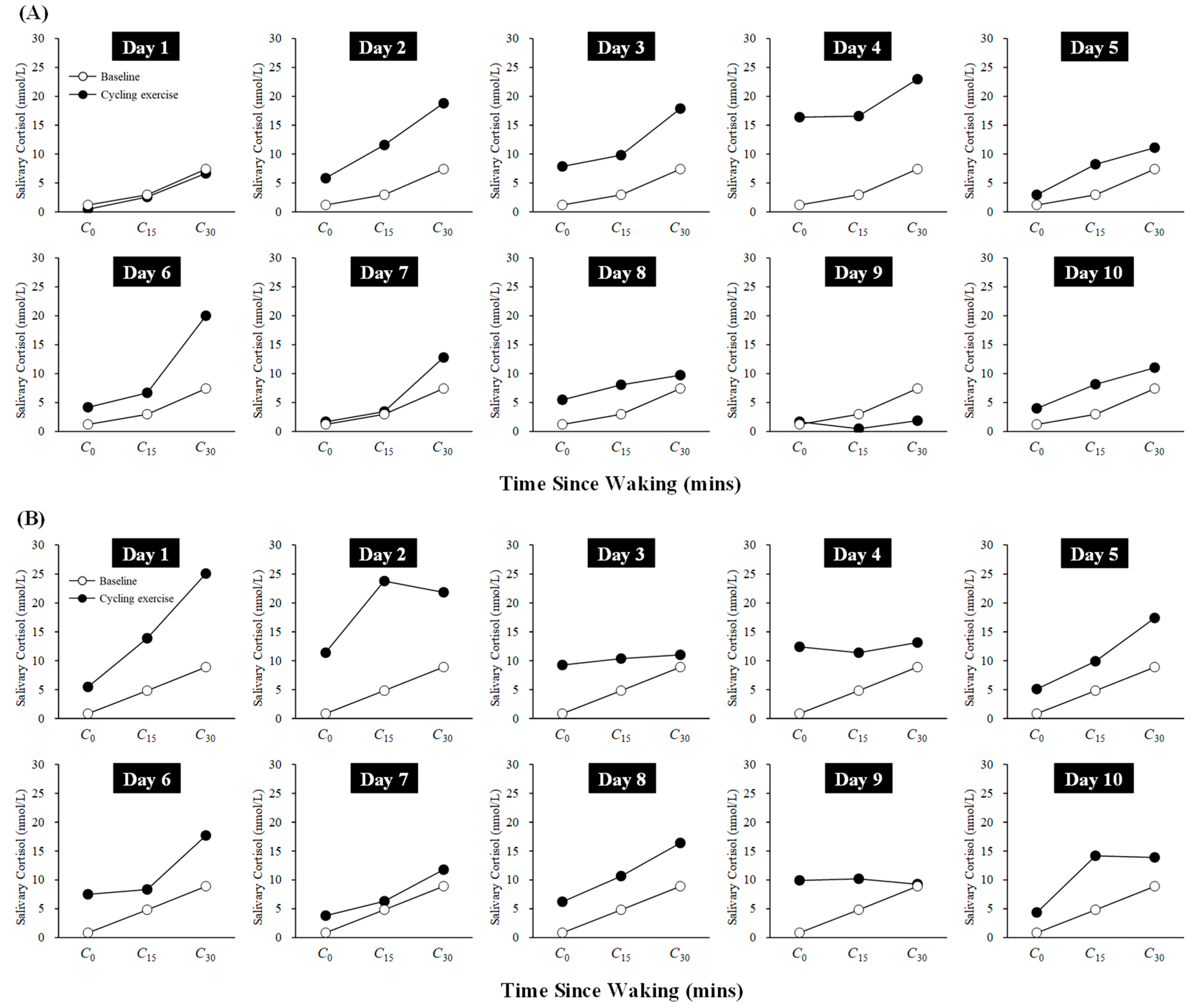
Previous studies suggest that the cortisol awakening response (CAR) shows a biphasic pattern—either an increase or a blunting—in response to exercise involving overload, potentially reflecting physiological adaptation. However, its response to continuous high-intensity exercise under controlled experimental conditions has not been sufficiently investigated. This pilot case series examined daily CAR changes during a 10-day high-intensity cycling protocol (20 min/day at 80% of maximal oxygen uptake [V˙O2max]) in two healthy male participants. The CAR increased during Days 1–4 and returned to baseline levels from Day 5 onward, showing similar trends in acute physiological responses. V˙O2max and/or maximum workload improved following the intervention. These findings support the methodological feasibility of longitudinal CAR monitoring during short-term high-intensity exercise under controlled experimental conditions and suggest that CAR may be a promising non-invasive biomarker for assessing short-term physiological adaptation.
Keywords: biomarker; endocrine response; physiological adaptation biomarker; endocrine response; physiological adaptation

Share and Cite

MDPI and ACS Style

Ogasawara, Y.; Sugo, T.; Tsuchiya, H. Changes in Cortisol Awakening Response During 10 Days of High-Intensity Cycling Exercise. Life 2025, 15, 1872. https://doi.org/10.3390/life15121872

AMA Style

Ogasawara Y, Sugo T, Tsuchiya H. Changes in Cortisol Awakening Response During 10 Days of High-Intensity Cycling Exercise. Life. 2025; 15(12):1872. https://doi.org/10.3390/life15121872

Chicago/Turabian Style

Ogasawara, Yui, Takayuki Sugo, and Hironobu Tsuchiya. 2025. "Changes in Cortisol Awakening Response During 10 Days of High-Intensity Cycling Exercise" Life 15, no. 12: 1872. https://doi.org/10.3390/life15121872

APA Style

Ogasawara, Y., Sugo, T., & Tsuchiya, H. (2025). Changes in Cortisol Awakening Response During 10 Days of High-Intensity Cycling Exercise. Life, 15(12), 1872. https://doi.org/10.3390/life15121872

Note that from the first issue of 2016, this journal uses article numbers instead of page numbers. See further details here.

Article Metrics

Back to TopTop