Rhythmic Walking Exercise as a Low-Intensity Strategy to Enhance Health and Preserve Kidney Function in Individuals with CKD Stages 2–3
Abstract
1. Introduction
2. Materials and Methods
2.1. Study Design and Sample Size
2.2. Ethical Approval and Trial Registration
2.3. Participant Recruitment and Screening
2.4. Participant Randomization and Allocation
2.5. Intervention Procedures
2.6. Determination of Kidney Function
2.7. Laboratory Tests
2.8. Blood Pressure Measurement
2.9. Anthropometry, Body Composition, and Fat Distribution Measurements
2.10. Physical Fitness Tests
2.11. Quality of Life Assessment
2.12. Data Analyses
3. Results
3.1. Baseline Clinical Characteristics of Participants
3.2. Kidney Function and Biochemical Parameters
3.3. Oxidative Stress
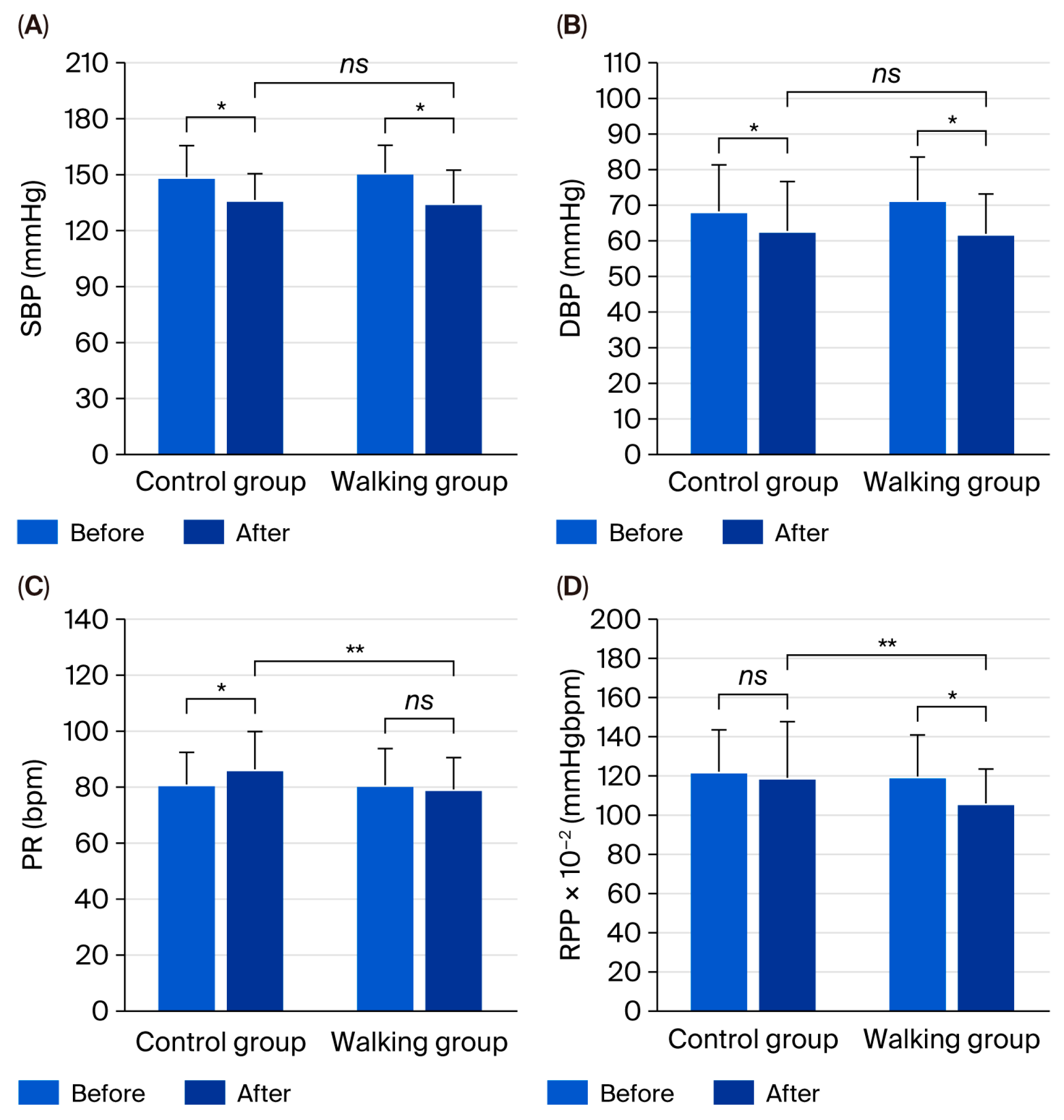
3.4. Blood Pressure
3.5. Body Composition and Fat Distribution
3.6. Physical Fitness
3.7. Quality of Life
4. Discussion
5. Conclusions
Author Contributions
Funding
Institutional Review Board Statement
Informed Consent Statement
Data Availability Statement
Acknowledgments
Conflicts of Interest
Abbreviations
| 60STS | 60 s sit-to-stand |
| ANCOVA | Analysis of covariance |
| ANOVA | Analysis of variance |
| BG | Blood glucose |
| BM | Body mass |
| BMI | Body mass index |
| BMR | Basal metabolic rate |
| BP | Blood pressure |
| CKD | Chronic kidney disease |
| DBP | Diastolic blood pressure |
| DNA | Deoxyribonucleic acid |
| eCrCl | Estimated creatinine clearance |
| eGFR | Estimated glomerular filtration rate |
| HDLC | High-density lipoprotein-cholesterol |
| LDLC | Low-density lipoprotein-cholesterol |
| MAP | Mean arterial pressure |
| MCID | Minimal clinically important difference |
| MDA | Malondialdehyde |
| NADPH | Nicotinamide adenine dinucleotide phosphate |
| NO | Nitric oxide |
| PP | Pulse pressure |
| PR | Pulse rate |
| QOL | Quality of life |
| ROS | Reactive oxygen species |
| RPP | Rate–pressure product |
| SBP | Systolic blood pressure |
| SD | Standard deviation |
| SOD | Superoxide dismutase |
| TC | Total cholesterol |
| TG | Triglyceride |
| VFL | Visceral fat level |
| WHO | World Health Organization |
| WHR | Waist-to-hip ratio |
References
- Hill, N.R.; Fatoba, S.T.; Oke, J.L.; Hirst, J.A.; O’Callaghan, C.A.; Lasserson, D.S.; Hobbs, F.D. Global prevalence of chronic kidney disease—A systematic review and meta-analysis. PLoS ONE. 2016, 11, e0158765. [Google Scholar] [CrossRef]
- Collins, A.J.; Li, S.; Gilbertson, D.T.; Liu, J.; Chen, S.C.; Herzog, C.A. Chronic kidney disease and cardiovascular disease in the Medicare population. Kidney Int. Suppl. 2003, 87, S24–S31. [Google Scholar] [CrossRef] [PubMed]
- Ma, Q.; Gao, Y.; Lu, J.; Liu, X.; Wang, R.; Shi, Y.; Liu, J.; Su, H. The effect of regular aerobic exercise on renal function in patients with CKD: A systematic review and meta-analysis. Front. Physiol. 2022, 13, 901164. [Google Scholar] [CrossRef]
- Arazi, H.; Mohabbat, M.; Saidie, P.; Falahati, A.; Suzuki, K. Effects of different types of exercise on kidney diseases. Sports 2022, 10, 42. [Google Scholar] [CrossRef]
- Barcellos, F.C.; Del Vecchio, F.B.; Reges, A.; Mielke, G.; Santos, I.S.; Umpierre, D.; Bohlke, M.; Hallal, P.C. Exercise in patients with hypertension and chronic kidney disease: A randomized controlled trial. J. Hum. Hypertens. 2018, 32, 397–407. [Google Scholar] [CrossRef]
- Gomes, T.S.; Aoike, D.T.; Baria, F.; Graciolli, F.G.; Moyses, R.M.A.; Cuppari, L. Effect of aerobic exercise on markers of bone metabolism of overweight and obese patients with chronic kidney disease. J. Ren. Nutr. 2017, 27, 364–371. [Google Scholar] [CrossRef]
- Hamada, M.; Yasuda, Y.; Kato, S.; Arafuka, H.; Goto, M.; Hayashi, M.; Kajita, E.; Maruyama, S. The effectiveness and safety of modest exercise in Japanese patients with chronic kidney disease: A single-armed interventional study. Clin. Exp. Nephrol. 2016, 20, 204–211. [Google Scholar] [CrossRef]
- Stringuetta Belik, F.; Oliveira E Silva, V.R.; Braga, G.P.; Bazan, R.; Perez Vogt, B.; Costa Teixeira Caramori, J.; Barretti, P.; de Souza Gonçalves, R.; Fortes Villas Bôas, P.J.; Hueb, J.C.; et al. Influence of intradialytic aerobic training in cerebral blood flow and cognitive function in patients with chronic kidney disease: A pilot randomized controlled trial. Nephron 2018, 140, 9–17. [Google Scholar] [CrossRef]
- Böhm, J.; Monteiro, M.B.; Andrade, F.P.; Veronese, F.V.; Thomé, F.S. Acute effects of intradialytic aerobic exercise on solute removal, blood gases and oxidative stress in patients with chronic kidney disease. J. Bras. Nefrol. 2017, 39, 172–180. [Google Scholar] [CrossRef]
- Kirkman, D.L.; Lennon-Edwards, S.; Edwards, D.G. Patient Education. The importance of exercise for chronic kidney disease patients. J. Ren. Nutr. 2014, 24, e51–e53. [Google Scholar] [CrossRef][Green Version]
- Baker, L.A.; March, D.S.; Wilkinson, T.J.; Billany, R.E.; Bishop, N.C.; Castle, E.M.; Chilcot, J.; Davies, M.D.; Graham-Brown, M.P.M.; Greenwood, S.A.; et al. Clinical practice guideline exercise and lifestyle in chronic kidney disease. BMC Nephrol. 2022, 23, 75. [Google Scholar] [CrossRef] [PubMed]
- Prasertsri, P.; Phoemsapthawee, J.; Kuamsub, S.; Poolpol, K.; Boonla, O. Effects of long-term regular continuous and intermittent walking on oxidative stress, metabolic profile, heart rate variability, and blood pressure in older adults with hypertension. J. Environ. Public Health 2022, 2022, 5942947. [Google Scholar] [CrossRef]
- Mallamaci, F.; Pisano, A.; Tripepi, G. Physical activity in chronic kidney disease and the EXerCise Introduction To Enhance trial. Nephrol. Dial. Transplant. 2020, 35 (Suppl. S2), ii18–ii22. [Google Scholar] [CrossRef]
- Aoike, D.T.; Baria, F.; Kamimura, M.A.; Ammirati, A.; Cuppari, L. Home-based versus center-based aerobic exercise on cardiopulmonary performance, physical function, quality of life and quality of sleep of overweight patients with chronic kidney disease. Clin. Exp. Nephrol. 2018, 22, 87–98. [Google Scholar] [CrossRef]
- Faul, F.; Erdfelder, E.; Buchner, A.; Lang, A.G. Statistical power analyses using G*Power 3.1: Tests for correlation and regression analyses. Behav. Res. Methods 2009, 41, 1149–1160. [Google Scholar] [CrossRef]
- Levey, A.S.; Stevens, L.A.; Schmid, C.H.; Zhang, Y.L.; Castro, A.F., 3rd; Feldman, H.I.; Kusek, J.W.; Eggers, P.; Van Lente, F.; Greene, T.; et al. A new equation to estimate glomerular filtration rate. Ann. Intern. Med. 2009, 150, 604–612. [Google Scholar] [CrossRef]
- Cockcroft, D.W.; Gault, M.H. Prediction of creatinine clearance from serum creatinine. Nephron 1976, 16, 31–41. [Google Scholar] [CrossRef] [PubMed]
- Boonla, O.; Booranasuksakul, U.; Padkao, T.; Phoemsapthawee, J.; Tangwattanachuleeporn, M.; Koowattanatianchai, S.; Prasertsri, P. Effects of 4-week Eri silkworm cornflakes supplementation on oxidative stress and antioxidant status in male university athletes: A preliminary crossover study. Nutr. Health 2024, 2024, 2601060241302387. [Google Scholar] [CrossRef]
- Prasertsri, P.; Singsanan, S.; Chonanant, C.; Boonla, O.; Trongtosak, P. Effects of arm swing exercise training on cardiac autonomic modulation, cardiovascular risk factors, and electrolytes in persons aged 60-80 years with prehypertension: A randomized controlled trial. J. Exerc. Sci. Fit. 2019, 17, 47–54. [Google Scholar] [CrossRef]
- Katamba, G.; Musasizi, A.; Kinene, M.A.; Namaganda, A.; Muzaale, F. Relationship of anthropometric indices with rate pressure product, pulse pressure and mean arterial pressure among secondary adolescents of 12-17 years. BMC Res. Notes 2021, 14, 101. [Google Scholar] [CrossRef] [PubMed]
- Szaflik, P.; Zadoń, H.; Michnik, R.; Nowakowska-Lipiec, K. Handgrip strength as an indicator of overall strength and functional performance—Systematic review. Appl. Sci. 2025, 15, 1847. [Google Scholar] [CrossRef]
- McDonald, O.; Perraton, L.; Osadnik, C. Validity and clinical applicability of the 60-second sit-to-stand test in people with acute exacerbations of COPD. Respir. Med. 2023, 107264. [Google Scholar] [CrossRef]
- Mahatnirunkul, S.; Tuntipivatanaskul, W.; Pumpisanchai, W.; Wongsuwan, K.; Ponmanajirangkul, R. Comparison of the Whoqol-100 and the Whoqol-Bref (26 Items). J. Ment. Health Thai. 1998, 5, 4–15. [Google Scholar]
- Robinson-Cohen, C.; Katz, R.; Mozaffarian, D.; Dalrymple, L.S.; de Boer, I.; Sarnak, M.; Shlipak, M.; Siscovick, D.; Kestenbaum, B. Physical activity and rapid decline in kidney function among older adults. Arch. Intern. Med. 2009, 169, 2116–2123. [Google Scholar] [CrossRef]
- Pechter, U.; Ots, M.; Mesikepp, S.; Zilmer, K.; Kullissaar, T.; Vihalemm, T.; Zilmer, M.; Maaroos, J. Beneficial effects of water-based exercise in patients with chronic kidney disease. Int. J. Rehabil. Res. 2003, 26, 153–156. [Google Scholar] [CrossRef] [PubMed]
- Levey, A.S.; Coresh, J. Chronic kidney disease. Lancet 2012, 379, 165–180. [Google Scholar] [CrossRef]
- Durstine, J.L.; Grandjean, P.W.; Cox, C.A.; Thompson, P.D. Lipids, lipoproteins, and exercise. J. Cardiopulm. Rehabil. 2002, 22, 385–398. [Google Scholar] [CrossRef] [PubMed]
- Kelley, G.A.; Kelley, K.S.; Vu Tran, Z. Aerobic exercise, lipids and lipoproteins in overweight and obese adults: A meta-analysis of randomized controlled trials. Int. J. Obes. 2005, 29, 881–893. [Google Scholar] [CrossRef] [PubMed]
- Kraus, W.E.; Houmard, J.A.; Duscha, B.D.; Knetzger, K.J.; Wharton, M.B.; McCartney, J.S.; Bales, C.W.; Henes, S.; Samsa, G.P.; Otvos, J.D.; et al. Effects of the amount and intensity of exercise on plasma lipoproteins. N. Engl. J. Med. 2002, 347, 1483–1492. [Google Scholar] [CrossRef]
- Vaziri, N.D. Dyslipidemia of chronic renal failure: The nature, mechanisms, and potential consequences. Am. J. Physiol. Renal Physiol. 2006, 290, F262–F272. [Google Scholar] [CrossRef]
- Liao, M.T.; Sung, C.C.; Hung, K.C.; Wu, C.C.; Lo, L.; Lu, K.C. Insulin resistance in patients with chronic kidney disease. J. Biomed. Biotechnol. 2012, 2012, 691369. [Google Scholar] [CrossRef]
- Kritmetapak, K.; Charoensri, S.; Thaopanya, R.; Pongchaiyakul, C. Elevated serum uric acid is associated with rapid decline in kidney function: A 10-year follow-up study. Int. J. Gen. Med. 2020, 13, 945–953. [Google Scholar] [CrossRef]
- Radak, Z.; Chung, H.Y.; Koltai, E.; Taylor, A.W.; Goto, S. Exercise, oxidative stress and hormesis. Ageing Res. Rev. 2008, 7, 34–42. [Google Scholar] [CrossRef]
- Pingitore, A.; Lima, G.P.P.; Mastorci, F.; Quinones, A.; Iervasi, G.; Vassalle, C. Exercise and oxidative stress: Potential effects of antioxidant dietary strategies in sports. Nutrition 2015, 31, 916–922. [Google Scholar] [CrossRef]
- Powers, S.K.; Jackson, M.J. Exercise-induced oxidative stress: Cellular mechanisms and impact on muscle force production. Physiol. Rev. 2008, 88, 1243–1276. [Google Scholar] [CrossRef]
- Dounousi, E.; Papavasiliou, E.; Makedou, A.; Ioannou, K.; Katopodis, K.P.; Tselepis, A.; Siamopoulos, K.C.; Tsakiris, D. Oxidative stress is progressively enhanced with advancing stages of CKD. Am. J. Kidney Dis. 2006, 48, 752–760. [Google Scholar] [CrossRef]
- Ruiz, S.; Pergola, P.E.; Zager, R.A.; Vaziri, N.D. Targeting the transcription factor Nrf2 to ameliorate oxidative stress and inflammation in chronic kidney disease. Kidney Int. 2013, 83, 1029–1041. [Google Scholar] [CrossRef]
- Gomez-Cabrera, M.C.; Domenech, E.; Viña, J. Moderate exercise is an antioxidant: Upregulation of antioxidant genes by training. Free Radic. Biol. Med. 2008, 44, 126–131. [Google Scholar] [CrossRef]
- Marzatico, F.; Pansarasa, O.; Bertorelli, L.; Somenzini, L.; Della Valle, G. Blood free radical antioxidant enzymes and lipid peroxides following long-distance and lactacidemic performances in highly trained aerobic and sprint athletes. J. Sports Med. Phys. Fit. 1997, 37, 235–239. [Google Scholar]
- Liakopoulos, V.; Roumeliotis, S.; Gorny, X.; Dounousi, E.; Mertens, P.R. Oxidative stress in hemodialysis patients: A review of the literature. Oxid. Med. Cell. Longev. 2017, 2017, 3081856. [Google Scholar] [CrossRef]
- Smart, N.A.; Williams, A.D.; Levinger, I.; Selig, S.; Howden, E.; Coombes, J.S.; Fassett, R.G. Exercise & Sports Science Australia (ESSA) position statement on exercise and chronic kidney disease. J. Sci. Med. Sport. 2013, 16, 406–411. [Google Scholar] [CrossRef]
- Moinuddin, I.; Leehey, D.J. A comparison of aerobic exercise and resistance training in patients with and without chronic kidney disease. Adv. Chronic Kidney Dis. 2008, 15, 83–96. [Google Scholar] [CrossRef]
- Headley, S.; Germain, M.; Mailloux, P.; Mulhern, J.; Ashworth, B.; Burris, J.; Brewer, B.; Nindl, B.C.; Coughlin, M.; Welles, R.; et al. Resistance training improves strength and functional measures in patients with end-stage renal disease. Am. J. Kidney Dis. 2002, 40, 355–364. [Google Scholar] [CrossRef]
- Cornelissen, V.A.; Smart, N.A. Exercise training for blood pressure: A systematic review and meta-analysis. J. Am. Heart Assoc. 2013, 2, e004473. [Google Scholar] [CrossRef]
- Joyner, M.J.; Green, D.J. Exercise protects the cardiovascular system: Effects beyond traditional risk factors. J. Physiol. 2009, 587, 5551–5558. [Google Scholar] [CrossRef]
- Green, D.J.; Hopman, M.T.E.; Padilla, J.; Laughlin, M.H.; Thijssen, D.H.J. Vascular adaptation to exercise in humans: Role of hemodynamic stimuli. Physiol. Rev. 2017, 97, 495–528. [Google Scholar] [CrossRef]
- Ashor, A.W.; Lara, J.; Siervo, M.; Celis-Morales, C.; Mathers, J.C. Effects of exercise modalities on arterial stiffness and wave reflection: A systematic review and meta-analysis of randomized controlled trials. PLoS ONE. 2014, 9, e110034. [Google Scholar] [CrossRef]
- Cornelissen, V.A.; Fagard, R.H. Effects of endurance training on blood pressure, blood pressure–regulating mechanisms, and cardiovascular risk factors. Hypertension 2005, 46, 667–675. [Google Scholar] [CrossRef]
- Carter, J.B.; Banister, E.W.; Blaber, A.P. Effect of endurance exercise on autonomic control of heart rate. Sports Med. 2003, 33, 33–46. [Google Scholar] [CrossRef]
- Ross, R.; Dagnone, D.; Jones, P.J.; Smith, H.; Paddags, A.; Hudson, R.; Janssen, I. Reduction in obesity and related comorbid conditions after diet-induced weight loss or exercise-induced weight loss in men: A randomized, controlled trial. Ann. Intern. Med. 2000, 133, 92–103. [Google Scholar] [CrossRef]
- Donnelly, J.E.; Blair, S.N.; Jakicic, J.M.; Manore, M.M.; Rankin, J.W.; Smith, B.K. Appropriate physical activity intervention strategies for weight loss and prevention of weight regain. Med. Sci. Sports Exerc. 2009, 41, 459–471. [Google Scholar] [CrossRef] [PubMed]
- Johansen, K.L.; Painter, P. Exercise in individuals with CKD. Am. J. Kidney Dis. 2012, 59, 126–134. [Google Scholar] [CrossRef]
- Fahal, I.H. Uraemic sarcopenia: Aetiology and implications. Nephrol. Dial. Transplant. 2014, 29, 1655–1665. [Google Scholar] [CrossRef]
- Jones, C.J.; Rikli, R.E.; Beam, W.C. A 30-s chair-stand test as a measure of lower body strength in community-residing older adults. Res. Q. Exerc. Sport 1999, 70, 113–119. [Google Scholar] [CrossRef]
- Bohannon, R.W. Sit-to-stand test for measuring performance of lower extremity muscles. Percept. Mot. Skills 1995, 80, 163–166. [Google Scholar] [CrossRef]
- Holloszy, J.O. Biochemical adaptations in muscle: Effects of exercise on mitochondrial oxygen uptake and respiratory enzyme activity. J. Biol. Chem. 1967, 242, 2278–2282. [Google Scholar] [CrossRef]
- Kirkman, D.L.; Ramick, M.G.; Muth, B.J.; Stock, J.M.; Pohlig, R.T.; Townsend, R.R.; Edwards, D.G. Effects of aerobic exercise on vascular function in nondialysis chronic kidney disease: A randomized controlled trial. Am. J. Physiol. Renal. Physiol. 2019, 316, F898–F905. [Google Scholar] [CrossRef] [PubMed]
- Painter, P.; Roshanravan, B. The association of physical activity and physical function with clinical outcomes in adults with CKD. Curr. Opin. Nephrol. Hypertens. 2013, 22, 615–623. [Google Scholar] [CrossRef]
- Tentori, F.; Elder, S.J.; Thumma, J.; Pisoni, R.L.; Bommer, J.; Fissell, R.B.; Fukuhara, S.; Jadoul, M.; Keen, M.L.; Saran, R.; et al. Physical exercise among participants in the Dialysis Outcomes and Practice Patterns Study (DOPPS): Correlates and associated outcomes. Nephrol. Dial. Transplant. 2010, 25, 3050–3062. [Google Scholar] [CrossRef]
- Heiwe, S.; Jacobson, S.H. Exercise training in adults with CKD: Systematic review and meta-analysis. Am. J. Kidney Dis. 2014, 64, 383–393. [Google Scholar] [CrossRef] [PubMed]
- Nakoui, N.; Ilbeigi, S.; Ahmadi, M.M.; Saber, A. Comparison of the effect of aerobic and resistance training on fatigue, quality of life and biochemical factors in hemodialysis patients. Sci. Rep. 2025, 15, 10052. [Google Scholar] [CrossRef] [PubMed]
- Sharma, A.; Madaan, V.; Petty, F.D. Exercise for mental health. Prim. Care Companion J. Clin. Psychiatry 2006, 8, 106. [Google Scholar] [CrossRef] [PubMed]
- Hedayati, S.S.; Minhajuddin, A.T.; Toto, R.D.; Morris, D.W.; Rush, A.J. Prevalence of major depressive episode in CKD. Am. J. Kidney Dis. 2009, 54, 424–432. [Google Scholar] [CrossRef]
- Gregg, L.P.; Bossola, M.; Ostrosky-Frid, M.; Hedayati, S.S. Fatigue in CKD: Epidemiology, pathophysiology, and treatment. Clin. J. Am. Soc. Nephrol. 2021, 16, 1445–1455. [Google Scholar] [CrossRef] [PubMed]
- Traise, A.; Dieberg, G.; Degotardi, E.; Hart, B.; Kaippilly, F.; McInnes, D.; Pearson, M.J.; Ryan, D.; Smart, N.A. The effect of exercise training on quality of life in people with chronic kidney disease requiring dialysis: A systematic review with meta-analysis. J. Nephrol. 2025, 38, 893–911. [Google Scholar] [CrossRef]
- Nakamura, K.; Sasaki, T.; Yamamoto, S.; Hayashi, H.; Ako, S.; Tanaka, Y. Effects of exercise on kidney and physical function in patients with non-dialysis chronic kidney disease: A systematic review and meta-analysis. Sci. Rep. 2020, 10, 18195. [Google Scholar] [CrossRef]
- Hays, R.D.; Kallich, J.D.; Mapes, D.L.; Coons, S.J.; Carter, W.B. Development of the kidney disease quality of life (KDQOL) instrument. Qual. Life Res. 1994, 3, 329–338. [Google Scholar] [CrossRef]
- Siriwardana, A.N.; Hoffman, A.T.; Morton, R.L.; Smyth, B.; Brown, M.A. Estimating a minimal important difference for the EQ-5D-5L utility index in dialysis patients. Value Health 2024, 27, 469–477. [Google Scholar] [CrossRef]





| Characteristics | Control Group (n = 33) | Walking Group (n = 31) |
|---|---|---|
| Age (years) | 69.03 ± 6.96 | 66.45 ± 7.91 |
| Sex (male/female) (n, %) | 14 (42)/19 (58) | 9 (29)/22 (71) |
| Stages of CKD | ||
| CKD Stage 2 (n, %) | 26 (78.79) | 20 (64.52) |
| CKD Stage 3 (n, %) | 7 (21.21) | 11 (35.48) |
| Co-morbidities | ||
| Hypertension (n, %) | 31 (93.94) | 29 (93.55) |
| Dyslipidemia (n, %) | 13 (39.39) | 18 (58.06) |
| Type 2 diabetes (n, %) | 7 (21.21) | 8 (25.81) |
| Old transient ischemic attack (n, %) | 4 (12.12) | 4 (12.90) |
| Gouty arthritis (n, %) | 2 (6.06) | 4 (12.90) |
| Thyroid disease (n, %) | 2 (6.06) | 0 (0) |
| Atrial fibrillation (n, %) | 1 (3.03) | 0 (0) |
| Asthma (n, %) | 0 (0) | 1 (3.23) |
| Urine protein | ||
| Negative (%) | 96.97 | 90.32 |
| Current lifestyle factors | ||
| Cigarette smoking (n, %) | 6 (18.18) | 1 (3.23) |
| Alcohol consumption (n, %) | 8 (24.24) | 6 (19.35) |
| Parameters | Control Group (n = 33) | Walking Group (n = 31) | p Value (After vs. After) | ||||
|---|---|---|---|---|---|---|---|
| Before | After | Δ Change (%) | Before | After | Δ Change (%) | ||
| Creatinine (mg/dL) | 1.03 ± 0.22 | 1.02 ± 0.18 | −0.01 (0.98) | 1.05 ± 0.40 | 1.04 ± 0.24 | −0.01 (0.95) | 0.744 |
| eGFR (mL/min/1.73 m2) | 65.30 ± 10.05 | 65.89 ± 15.11 | 0.59 (0.90) | 63.62 ± 12.81 | 66.83 ± 18.83 | 3.21 (5.05) | 0.197 |
| eCrCl (mL/min) | 53.16 ± 18.57 | 54.01 ± 20.15 | 0.85 (1.60) | 52.50 ± 13.92 | 55.50 ± 18.64 | 3.00 (5.71) | 0.318 |
| Uric acid (mg/dL) | 5.92 ± 1.32 | 5.84 ± 1.37 | −0.08 (1.37) | 6.16 ± 1.64 | 6.08 ± 1.46 | −0.08 (1.32) | 0.896 |
| Glucose (mg/dL) | 112.36 ± 55.23 | 106.76 ± 38.50 | −5.60 (5.25) | 110.68 ± 43.14 | 102.97 ± 23.91 | −7.71 (7.49) | 0.633 |
| TC (mg/dL) | 172.45 ± 37.33 | 168.88 ± 50.94 | −3.57 (2.07) | 190.47 ± 33.59 | 164.90 ± 37.92 *,** | −25.57 (13.42) | 0.030 |
| HDLC (mg/dL) | 48.30 ± 11.33 | 50.06 ± 11.84 | 1.76 (3.64) | 47.29 ± 8.40 | 50.77 ± 15.96 | 3.48 (7.36) | 0.490 |
| LDLC (mg/dL) | 117.13 ± 29.42 | 115.21 ± 40.72 | −1.62 (1.38) | 129.93 ± 38.20 | 112.10 ± 37.52 * | −17.83 (13.72) | 0.086 |
| TG (mg/dL) | 133.19 ± 56.31 | 129.24 ± 56.36 | −3.95 (2.97) | 162.86 ± 63.93 | 130.15 ± 68.30 *,** | −32.71 (20.08) | 0.024 |
| TC/HDLC ratio | 3.57 ± 0.86 | 3.55 ± 0.88 | −0.02 (0.56) | 4.12 ± 1.51 | 3.61 ± 1.08 | −0.51 (12.38) | 0.071 |
| LDLC/HDLC ratio | 2.48 ± 0.88 | 2.43 ± 0.76 | −0.05 (2.06) | 2.86 ± 1.32 | 2.49 ± 1.05 | −0.37 (14.86) | 0.170 |
| TG/HDLC ratio | 3.05 ± 2.46 | 2.86 ± 1.60 | −0.19 (6.23) | 3.88 ± 2.60 | 2.99 ± 1.49 *,** | −0.89 (22.94) | 0.032 |
| Parameters | Control Group (n = 33) | Walking Group (n = 31) | p Value (After vs. After) | ||||
|---|---|---|---|---|---|---|---|
| Before | After | Δ Change (%) | Before | After | Δ Change (%) | ||
| PR (bpm) | 81.12 ± 11.44 | 86.52 ± 13.53 * | 5.40 (6.66) | 80.90 ± 13.07 | 79.44 ± 11.24 ** | −1.46 (1.80) | 0.016 |
| SBP (mmHg) | 148.68 ± 16.78 | 136.45 ± 13.91 * | −12.23 (8.23) | 150.85 ± 14.73 | 134.74 ± 17.67 * | −16.11 (10.68) | 0.822 |
| DBP (mmHg) | 68.30 ± 13.06 | 62.88 ± 13.83 * | −5.42 (7.94) | 71.42 ± 12.12 | 62.00 ± 11.18 * | −9.42 (13.19) | 0.298 |
| PP (mmHg) | 82.55 ± 17.79 | 73.58 ± 13.58 * | −8.97 (10.87) | 77.26 ± 17.37 | 72.74 ± 16.77 | −4.52 (5.85) | 0.578 |
| MAP (mmHg) | 95.82 ± 10.76 | 87.40 ± 12.29 * | −8.42 (8.79) | 97.17 ± 11.17 | 86.25 ± 11.17 * | −10.92 (11.24) | 0.478 |
| RPP × 10−2 (mmHgbpm) | 122.47 ± 21.29 | 119.26 ± 28.60 | −3.21 (2.62) | 119.87 ± 21.16 | 106.20 ± 17.48 *,** | −13.67 (11.40) | 0.039 |
| Parameters | Control Group (n = 33) | Walking Group (n = 31) | p Value (After vs. After) | ||||
|---|---|---|---|---|---|---|---|
| Before | After | Δ Change (%) | Before | After | Δ Change (%) | ||
| BM (kg) | 57.82 ± 10.65 | 58.64 ± 10.93 | 0.82 (1.42) | 59.21 ± 15.16 | 58.39 ± 15.68 | −0.82 (1.38) | 0.973 |
| BMI (kg/m2) | 24.87 ± 4.18 | 25.11 ± 3.98 | 0.24 (0.97) | 24.43 ± 4.12 | 24.42 ± 4.43 | −0.01 (0.04) | 0.863 |
| Fat mass (kg) | 18.38 ± 8.51 | 18.87 ± 8.13 | 0.49 (2.67) | 17.17 ± 8.58 | 17.53 ± 8.21 | 0.36 (2.10) | 0.267 |
| Muscle mass (kg) | 39.55 ± 10.13 | 39.79 ± 10.06 | 0.24 (0.61) | 37.30 ± 7.36 | 37.61 ± 7.29 | 0.31 (0.83) | 0.928 |
| Bone mass (kg) | 2.14 ± 0.44 | 2.16 ± 0.42 | 0.02 (0.93) | 2.21 ± 0.57 | 2.25 ± 0.57 | 0.04 (1.81) | 0.638 |
| Visceral fat level | 8.94 ± 3.95 | 9.16 ± 3.66 | 0.22 (2.46) | 10.18 ± 4.49 | 9.85 ± 4.70 | −0.33 (3.24) | 0.325 |
| BMR (kcal) | 1181.58 ± 286.31 | 1150.70 ± 351.34 | −30.88 (2.61) | 1098.26 ± 281.77 | 1128.68 ± 195.65 | 30.42 (2.77) | 0.486 |
| Waist circumference (cm) | 86.81 ± 9.21 | 87.90 ± 8.95 | 1.09 (1.26) | 88.28 ± 10.51 | 85.24 ± 10.79 | −3.04 (3.44) | 0.441 |
| Hip circumference (cm) | 96.30 ± 9.18 | 97.03 ± 8.77 | 0.73 (0.76) | 96.74 ± 7.01 | 96.58 ± 7.05 | −0.16 (0.17) | 0.893 |
| WHR | 0.90 ± 0.06 | 0.91 ± 0.06 | 0.01 (1.11) | 0.91 ± 0.06 | 0.88 ± 0.06 | −0.03 (3.30) | 0.487 |
| Parameters | Control Group (n = 33) | Walking Group (n = 31) | p Value (After vs. After) | ||||
|---|---|---|---|---|---|---|---|
| Before | After | Δ Change (%) | Before | After | Δ Change (%) | ||
| Left handgrip strength (kg) | 20.28 ± 8.89 | 22.17 ± 15.24 | 1.89 (9.32) | 19.21 ± 7.23 | 19.97 ± 6.85 | 0.76 (3.96) | 0.446 |
| Right handgrip strength (kg) | 19.14 ± 9.15 | 20.32 ± 7.74 | 1.18 (6.17) | 18.53 ± 8.24 | 20.24 ± 7.45 * | 1.71 (9.23) | 0.812 |
| 60STS (rep) | 19.50 ± 4.08 | 20.35 ± 5.64 | 0.85 (4.36) | 20.47 ± 6.96 | 22.67 ± 7.63 *,** | 2.20 (10.75) | 0.043 |
| Total QOL score | 103.61 ± 1.87 | 103.64 ± 1.85 | 0.03 (0.03) | 103.23 ± 2.35 | 104.03 ± 2.24 *,** | 0.80 (0.77) | <0.001 |
Disclaimer/Publisher’s Note: The statements, opinions and data contained in all publications are solely those of the individual author(s) and contributor(s) and not of MDPI and/or the editor(s). MDPI and/or the editor(s) disclaim responsibility for any injury to people or property resulting from any ideas, methods, instructions or products referred to in the content. |
© 2025 by the authors. Licensee MDPI, Basel, Switzerland. This article is an open access article distributed under the terms and conditions of the Creative Commons Attribution (CC BY) license (https://creativecommons.org/licenses/by/4.0/).
Share and Cite
Suvannarot, P.; Roengrit, T.; Anuchitchanchai, P.; Prasertsri, P. Rhythmic Walking Exercise as a Low-Intensity Strategy to Enhance Health and Preserve Kidney Function in Individuals with CKD Stages 2–3. Life 2025, 15, 1735. https://doi.org/10.3390/life15111735
Suvannarot P, Roengrit T, Anuchitchanchai P, Prasertsri P. Rhythmic Walking Exercise as a Low-Intensity Strategy to Enhance Health and Preserve Kidney Function in Individuals with CKD Stages 2–3. Life. 2025; 15(11):1735. https://doi.org/10.3390/life15111735
Chicago/Turabian StyleSuvannarot, Pattraphon, Thapanee Roengrit, Promtpong Anuchitchanchai, and Piyapong Prasertsri. 2025. "Rhythmic Walking Exercise as a Low-Intensity Strategy to Enhance Health and Preserve Kidney Function in Individuals with CKD Stages 2–3" Life 15, no. 11: 1735. https://doi.org/10.3390/life15111735
APA StyleSuvannarot, P., Roengrit, T., Anuchitchanchai, P., & Prasertsri, P. (2025). Rhythmic Walking Exercise as a Low-Intensity Strategy to Enhance Health and Preserve Kidney Function in Individuals with CKD Stages 2–3. Life, 15(11), 1735. https://doi.org/10.3390/life15111735

