Effects of Evaporation and Body Thermal Plume on Cough Droplet Dispersion and Exposure Risk for Queuing People
Abstract
1. Introduction
2. Droplet Transport and Evaporation Theories
2.1. Discrete-Phase Motion Model
2.2. Droplet Evaporation Model
2.3. Thermal Buoyancy Theory
3. Simulation Settings and Boundary Conditions
3.1. Manikin Model and Cough Activity
3.2. Simulation Cases and Boundary Conditions
4. Results and Discussion
4.1. Effects of Evaporation on Droplet Dispersion
4.2. Effect of Body Thermal Plume on Droplet Dispersion
4.3. Evaluation of Infection Risk for Standing People in the Multiperson Model
5. Conclusions
- (1)
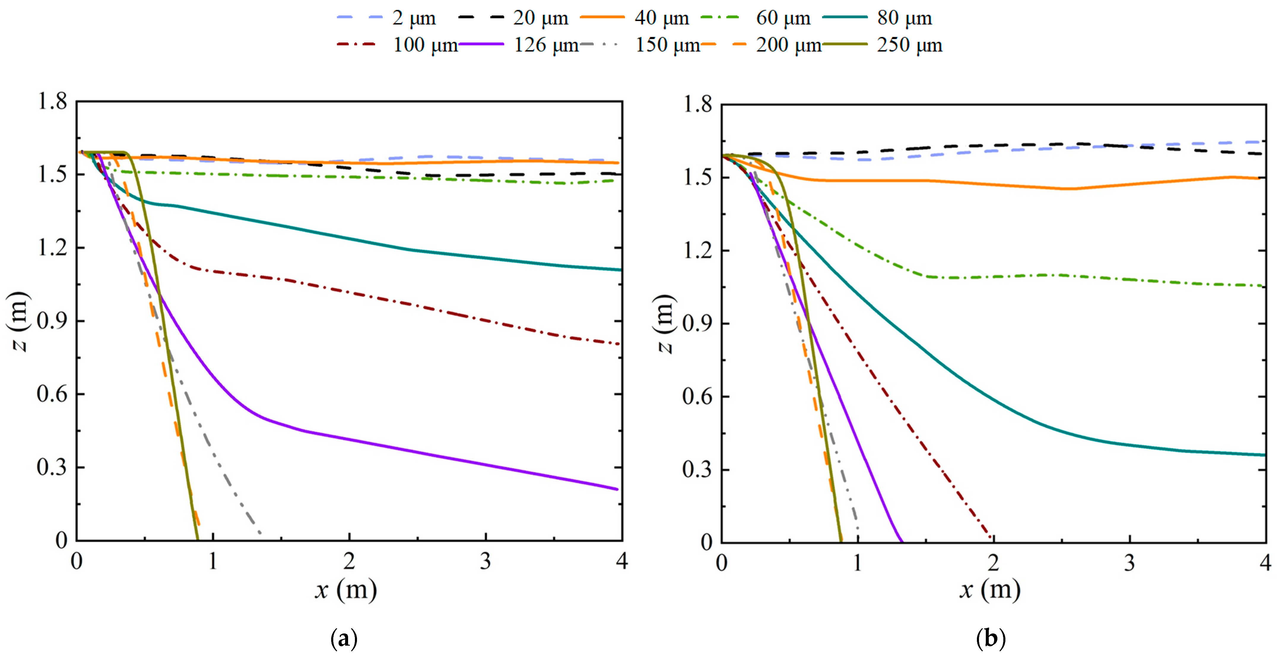
- Different-sized droplets exhibit different dispersion patterns when the environmental humidity is different because of evaporation. The duration of evaporation was longer for larger droplets and more humid environments. The dispersion of droplets smaller than 40 μm and larger than 150 μm was insensitive to the environmental humidity. The motion of medium-sized particles was strongly affected by transient evaporation.
- (2)
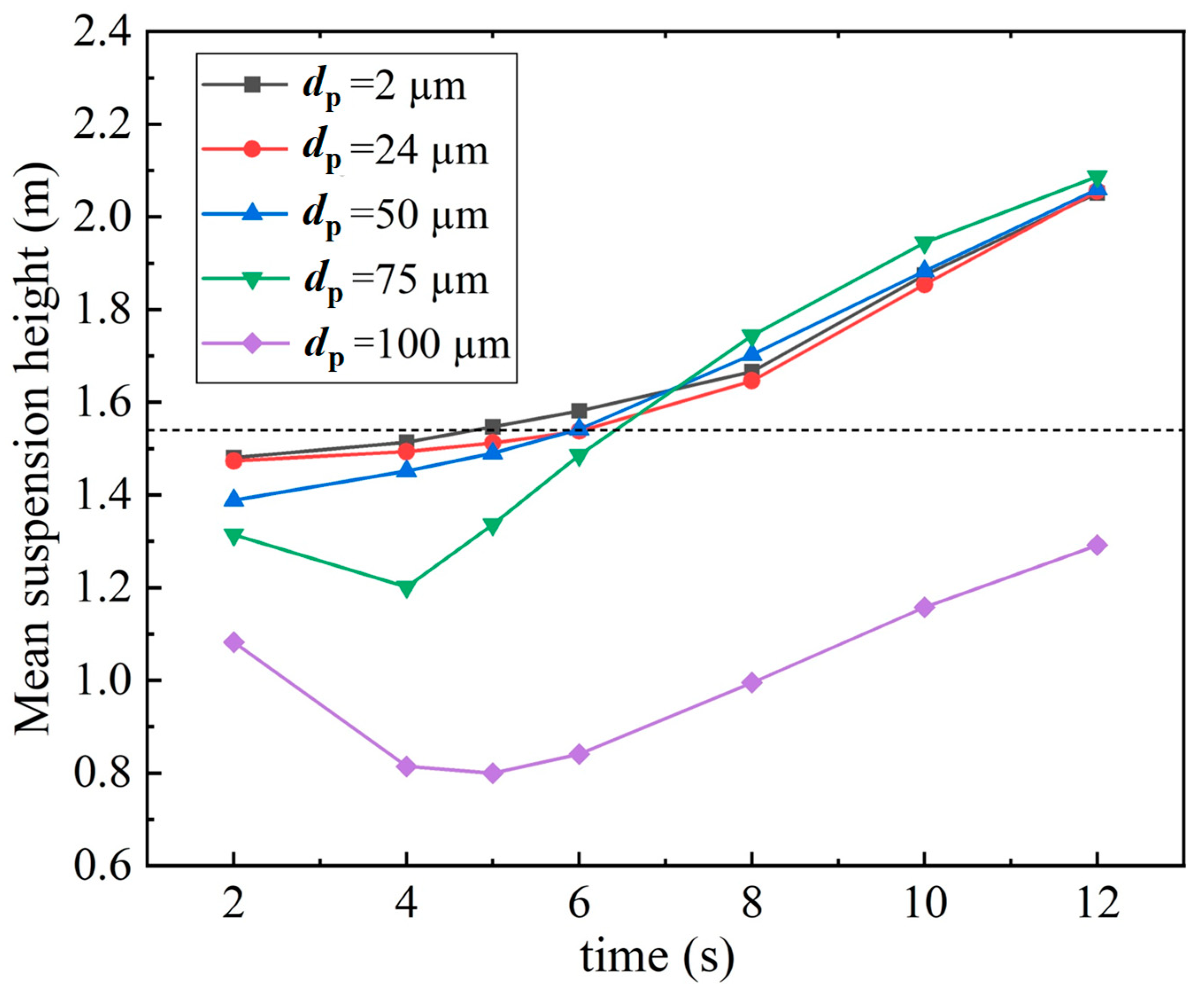
- The body thermal plume had a large influence on airflow and particle dispersion around the human body under weak inflow wind conditions. When the wind was weak, a clear rising flow and upward drift of small particles were discovered behind the human body; the dispersion of medium-sized particles was affected by both the evaporation and body thermal plume. The body thermal plume also widened the dispersion of droplets in the horizontal direction because it increased turbulence. When the incoming wind was stronger, the influence of the body thermal plume on airflow and particle dispersion became small and was nearly negligible for inflow wind flows larger than 0.8 m/s.
- (3)
- The infection risk was evaluated for people queuing in various arrangements given an outdoor wind speed of 1.8 m/s. Droplets smaller than 100 μm could reach the head of a susceptible person, suggesting a high exposure risk. High exposure fractions and deposition fractions were discovered for only the two people nearest the infected individual. Both the exposure fraction and deposition fraction were the largest for the TQ-1 queuing model and lowest for the TQ-2 queuing model. This suggests that male–female–male–female–male queuing poses a relatively low infection risk in an outdoor environment.
Author Contributions
Funding
Institutional Review Board Statement
Informed Consent Statement
Data Availability Statement
Conflicts of Interest
References
- Asadi, S.; Bouvier, N.; Wexler, A.S. The coronavirus pandemic and aerosols: Does COVID-19 transmit via expiratory particles? Aerosol Sci. Tech. 2020, 54, 635–638. [Google Scholar] [CrossRef] [PubMed]
- Duguid, J.P. The size and the duration of air-carriage of respiratory droplets and droplet-nuclei. Epidemiol. Infect. 1946, 44, 471–479. [Google Scholar] [CrossRef] [PubMed]
- Wells, W.F. On Air-borne Infection: Study II. Droplets and Droplet Nuclei. Am. J. Epidemiol. 1934, 20, 611–618. [Google Scholar] [CrossRef]
- Yang, S.; Lee, G.W.M.; Chen, C.; Wu, C.; Yu, K. The Size and Concentration of Droplets Generated by Coughing in Human Subjects. J. Aerosol Med. 2007, 20, 484–494. [Google Scholar] [CrossRef]
- Xie, X.; Li, Y.; Sun, H.; Liu, L. Exhaled droplets due to talking and coughing. J. R. Soc. Interface 2009, 6, S703–S714. [Google Scholar] [CrossRef]
- Chao, C.Y.H.; Wan, M.P.; Morawska, L.; Johnson, G.R.; Ristovski, Z.D.; Hargreaves, M.; Mengersen, K.; Corbett, S.; Li, Y.; Xie, X.; et al. Characterization of expiration air jets and droplet size distributions immediately at the mouth opening. J. Aerosol Sci. 2009, 40, 122–133. [Google Scholar] [CrossRef]
- Gupta, J.K.; Lin, C.H.; Chen, Q. Flow dynamics and characterization of a cough. Indoor Air 2009, 19, 517–525. [Google Scholar] [CrossRef]
- Gupta, J.K.; Lin, C.H.; Chen, Q. Characterizing exhaled airflow from breathing and talking. Indoor Air 2010, 20, 31–39. [Google Scholar] [CrossRef]
- Han, M.; Ooka, R.; Kikumoto, H.; Oh, W.; Bu, Y.; Hu, S. Measurements of exhaled airflow velocity through human coughs using particle image velocimetry. Build. Environ. 2021, 202, 108020. [Google Scholar] [CrossRef]
- Zhang, Z.; Chen, Q. Experimental measurements and numerical simulations of particle transport and distribution in ventilated rooms. Atmos. Environ. 2006, 40, 3396–3408. [Google Scholar] [CrossRef]
- Liu, Z.; Wang, L.; Rong, R.; Fu, S.; Cao, G.; Hao, C. Full-scale experimental and numerical study of bioaerosol characteristics against cross-infection in a two-bed hospital ward. Build. Environ. 2020, 186, 107373. [Google Scholar] [CrossRef] [PubMed]
- Zhang, Z.; Chen, X.; Mazumdar, S.; Zhang, T.; Chen, Q. Experimental and numerical investigation of airflow and contaminant transport in an airliner cabin mockup. Build. Environ. 2009, 44, 85–94. [Google Scholar] [CrossRef]
- Gupta, J.K.; Lin, C.H.; Chen, Q. Transport of expiratory droplets in an aircraft cabin. Indoor Air 2011, 21, 3–11. [Google Scholar] [CrossRef] [PubMed]
- Yang, L.; Li, X.; Yan, Y.; Tu, J. Effects of cough-jet on airflow and contaminant transport in an airliner cabin section. J. Comput. Multiph. Flows 2018, 10, 72–82. [Google Scholar] [CrossRef]
- Yan, Y.; Li, X.; Yang, L.; Yan, P.; Tu, J. Evaluation of cough-jet effects on the transport characteristics of respiratory-induced contaminants in airline passengers’ local environments. Build. Environ. 2020, 183, 107206. [Google Scholar] [CrossRef]
- Zhang, L.; Li, Y. Dispersion of coughed droplets in a fully-occupied high-speed rail cabin. Build. Environ. 2012, 47, 58–66. [Google Scholar] [CrossRef]
- Liu, S.; Zhao, X.; Nichols, S.R.; Bonilha, M.W.; Derwinski, T.; Auxier, J.T.; Chen, Q. Evaluation of airborne particle exposure for riding elevators. Build. Environ. 2022, 207, 108543. [Google Scholar] [CrossRef]
- Zhu, S.; Kato, S.; Yang, J.H. Study on transport characteristics of saliva droplets produced by coughing in a calm indoor environment. Build. Environ. 2006, 41, 1691–1702. [Google Scholar] [CrossRef]
- He, Q.; Niu, J.; Gao, N.; Zhu, T.; Wu, J. CFD study of exhaled droplet transmission between occupants under different ventilation strategies in a typical office room. Build. Environ. 2011, 46, 397–408. [Google Scholar] [CrossRef]
- Zhang, Y.; Feng, G.; Bi, Y.; Cai, Y.; Zhang, Z.; Cao, G. Distribution of droplet aerosols generated by mouth coughing and nose breathing in an air-conditioned room. Sustain. Cities Soc. 2019, 51, 101721. [Google Scholar] [CrossRef]
- Shang, Y.; Dong, J.; Tian, L.; He, F.; Tu, J. An improved numerical model for epidemic transmission and infection risks assessment in indoor environment. J. Aerosol Sci. 2022, 162, 105943. [Google Scholar] [CrossRef] [PubMed]
- Salmanzadeh, M.; Zahedi, G.; Ahmadi, G.; Marr, D.R.; Glauser, M. Computational modeling of effects of thermal plume adjacent to the body on the indoor airflow and particle transport. J. Aerosol Sci. 2012, 53, 29–39. [Google Scholar] [CrossRef]
- Laverge, J.; Spilak, M.; Novoselac, A. Experimental assessment of the inhalation zone of standing, sitting and sleeping persons. Build. Environ. 2014, 82, 258–266. [Google Scholar] [CrossRef]
- Li, F.; Jiang, G.; Hu, T. Coughing Intensity and Wind Direction Effects on the Transmission of Respiratory Droplets: A Computation with Euler–Lagrange Method. Atmosphere 2022, 13, 594. [Google Scholar] [CrossRef]
- Dbouk, T.; Drikakis, D. On coughing and airborne droplet transmission to humans. Phys. Fluids 2020, 32, 053310. [Google Scholar] [CrossRef] [PubMed]
- Li, H.; Leong, F.; Xu, G.; Ge, Z.; Kang, C.; Lim, K. Dispersion of evaporating cough droplets in tropical outdoor environment. Phys. Fluids 2020, 32, 113301. [Google Scholar] [CrossRef]
- Feng, Y.; Marchal, T.; Sperry, T.; Yi, H. Influence of wind and relative humidity on the social distancing effectiveness to prevent COVID-19 airborne transmission: A numerical study. J. Aerosol Sci. 2020, 147, 105585. [Google Scholar] [CrossRef]
- Yang, X.; Yang, H.; Ou, C.; Luo, Z.; Hang, J. Airborne transmission of pathogen-laden expiratory droplets in open outdoor space. Sci. Total Environ. 2021, 773, 145537. [Google Scholar] [CrossRef]
- Jiang, G.; Li, F.; Hu, T. Transport Characteristics and Transmission Risk of Virus-Containing Droplets from Coughing in Outdoor Windy Environment. Toxics 2022, 10, 294. [Google Scholar] [CrossRef]
- Yakhot, V.; Orszag, S.A. Renormalization group analysis of turbulence. I. Basic theory. J. Sci. Comput. 1986, 1, 3–51. [Google Scholar] [CrossRef]
- Available online: http://www.arch.t-kougei.ac.jp/ito/vm.html (accessed on 27 September 2024).
- Bourouiba, L.; Dehandschoewercker, E.; Bush, J.W.M. Violent expiratory events: On coughing and sneezing. J. Fluid Mech. 2014, 745, 537–563. [Google Scholar] [CrossRef]
- Wei, J.; Li, Y. Enhanced spread of expiratory droplets by turbulence in a cough jet. Build. Environ. 2015, 93, 86–96. [Google Scholar] [CrossRef]
- Mamdud, H.; Nkemjika, C.K.; Faisal, N.H.; Prathuru, A.; Asim, T.; Banik, S. Numerical Prediction of the Effect of Thermal Plume of a Standing Human on the Airborne Aerosol Flow in a Room: Assessment of the Social Distancing Rule. Aerosol Sci. Eng. 2023, 7, 96–106. [Google Scholar]
- Nicas, M.; Nazaroff, W.W.; Hubbard, A. Toward Understanding the Risk of Secondary Airborne Infection: Emission of Respirable Pathogens. J. Occup. Environ. Hyg. 2005, 2, 143–154. [Google Scholar] [CrossRef]
- Qian, H.; Li, Y.; Nielsen, P.V.; Huang, X. Spatial distribution of infection risk of SARS transmission in a hospital ward. Build. Environ. 2009, 44, 1651–1658. [Google Scholar] [CrossRef]
- To, G.N.S.; Wan, M.P.; Chao, C.Y.H.; Wei, F.; Yu, S.C.T.; Kwan, J.K.C. A methodology for estimating airborne virus exposures in indoor environments using the spatial distribution of expiratory aerosols and virus viability characteristics. Indoor Air 2008, 18, 423–436. [Google Scholar]
- Johnson, G.R.; Morawska, L.; Ristovski, Z.D.; Hargreaves, M.; Mengersen, K.; Chao, C.Y.H.; Wan, M.P.; Li, Y.; Xie, X.; Katoshevski, D.; et al. Modality of human expired aerosol size distributions. J. Aerosol Sci. 2011, 42, 839–851. [Google Scholar] [CrossRef]















Disclaimer/Publisher’s Note: The statements, opinions and data contained in all publications are solely those of the individual author(s) and contributor(s) and not of MDPI and/or the editor(s). MDPI and/or the editor(s) disclaim responsibility for any injury to people or property resulting from any ideas, methods, instructions or products referred to in the content. |
© 2024 by the authors. Licensee MDPI, Basel, Switzerland. This article is an open access article distributed under the terms and conditions of the Creative Commons Attribution (CC BY) license (https://creativecommons.org/licenses/by/4.0/).
Share and Cite
Li, F.; Jiang, G.; Chen, F.; Yuan, W. Effects of Evaporation and Body Thermal Plume on Cough Droplet Dispersion and Exposure Risk for Queuing People. Life 2025, 15, 28. https://doi.org/10.3390/life15010028
Li F, Jiang G, Chen F, Yuan W. Effects of Evaporation and Body Thermal Plume on Cough Droplet Dispersion and Exposure Risk for Queuing People. Life. 2025; 15(1):28. https://doi.org/10.3390/life15010028
Chicago/Turabian StyleLi, Fengjiao, Guoyi Jiang, Fei Chen, and Weibin Yuan. 2025. "Effects of Evaporation and Body Thermal Plume on Cough Droplet Dispersion and Exposure Risk for Queuing People" Life 15, no. 1: 28. https://doi.org/10.3390/life15010028
APA StyleLi, F., Jiang, G., Chen, F., & Yuan, W. (2025). Effects of Evaporation and Body Thermal Plume on Cough Droplet Dispersion and Exposure Risk for Queuing People. Life, 15(1), 28. https://doi.org/10.3390/life15010028

