Evaluation of Selected Folk Herbs on the Fertility of Sprague Dawley Male Rats: Biochemical, Histological, and Molecular Investigations
Abstract
1. Introduction
2. Materials and Methods
2.1. Chemicals
2.2. Preparation of Plant Extracts
2.3. Total Phenolic Content (TPC)
2.4. DiPhenyl-2-PicrylHydrazyl Free Radical Scavenging Activity (DPPH) Assay
2.5. Identification and Quantification of Polyphenols by High-Performance Liquid Chromatography (HPLC)
2.6. Animals
2.7. Experimental Design and Sample Collection
2.8. Sperm Analysis
2.9. Serum Hormone Analysis
2.10. Testes Lipid Peroxidation and Antioxidant Markers
2.11. Histological Examination and Morphometric Evaluation
2.12. Western Blotting Assay
2.13. Statistical Analysis
3. Results
3.1. Total Phenolic Content of the Plant Extracts
3.2. Antioxidant Activity of the Plant Extracts
3.3. Identification and Quantification of Phenolic Compounds by HPLC
3.4. Total Body Weight, Testes Weight, and Gonadosomatic Index
3.5. Serum Hormonal Profile
3.6. Sperm Parameters Analysis
3.7. Changes in Testes Oxidative Stress Markers
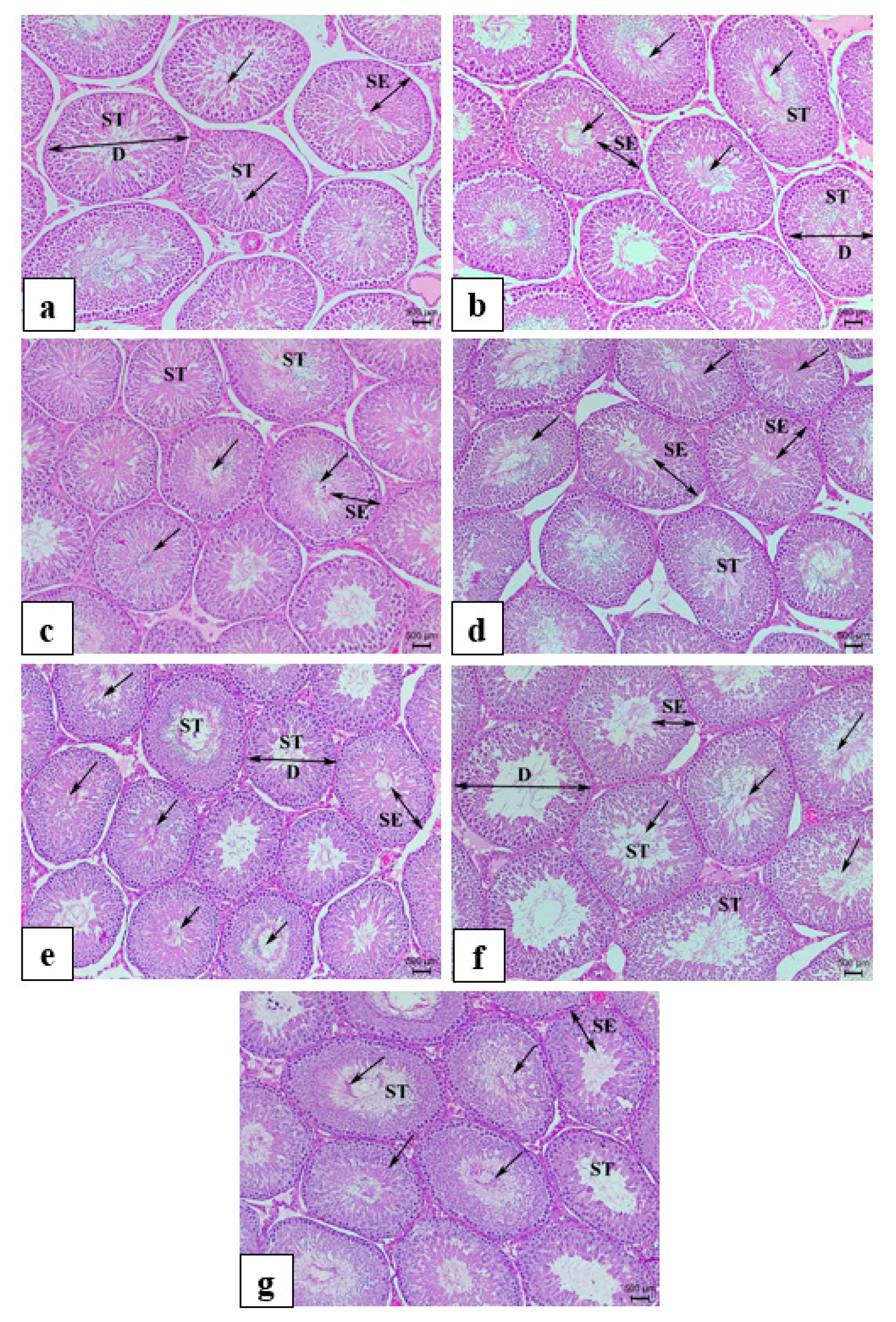
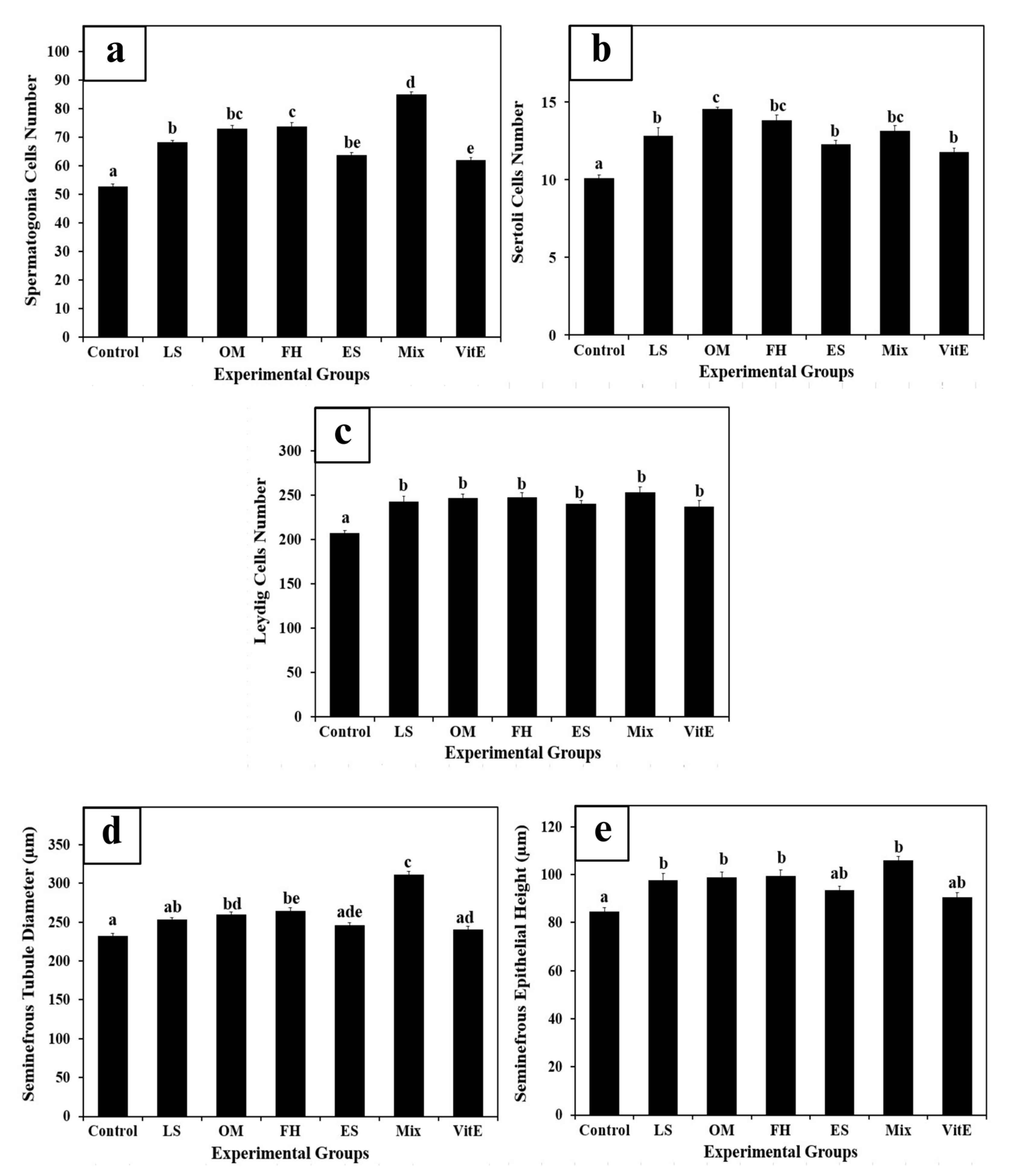
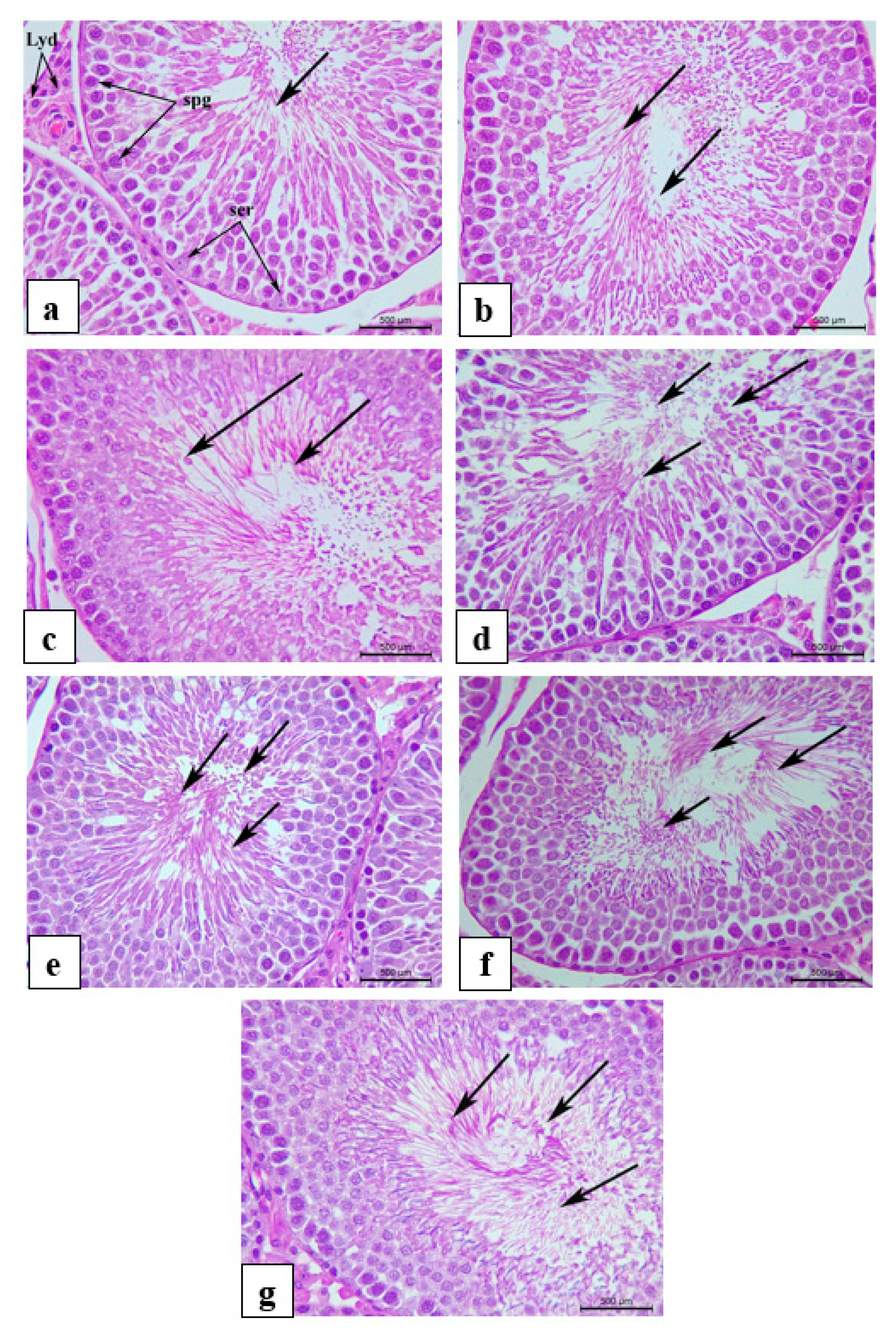
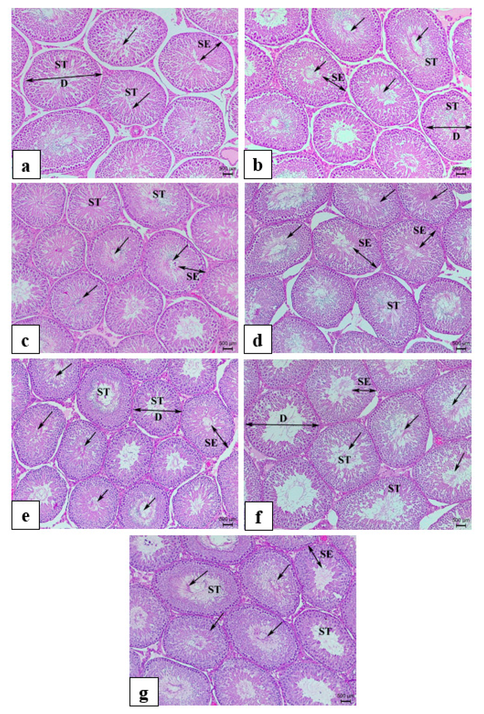
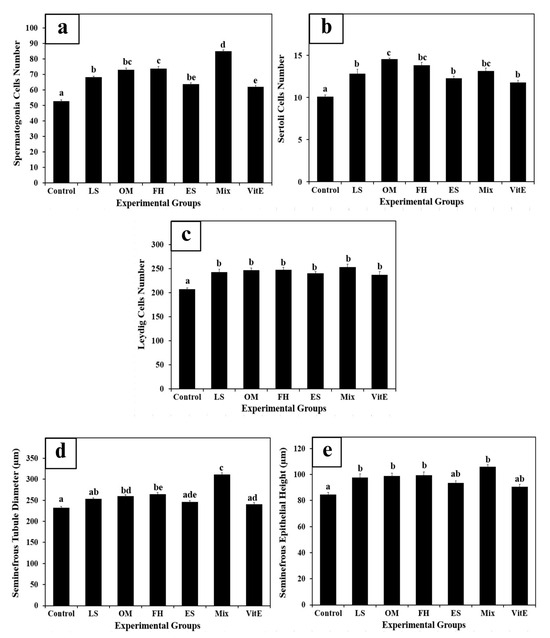
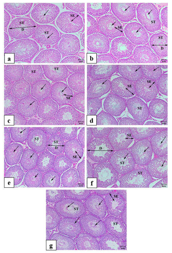
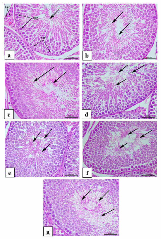
3.8. Histology and Morphometric Measurements
3.9. Western Blot Analysis
4. Discussion
5. Conclusions
Supplementary Materials
Author Contributions
Funding
Institutional Review Board Statement
Informed Consent Statement
Data Availability Statement
Conflicts of Interest
References
- Zegers-Hochschild, F.; Adamson, G.D.; Dyer, S.; Racowsky, C.; de Mouzon, J.; Sokol, R.; Rienzi, L.; Sunde, A.; Schmidt, L.; Cooke, I.D.; et al. The International Glossary on Infertility and Fertility Care, 2017. Fertil. Steril. 2017, 108, 393–406. [Google Scholar] [CrossRef] [PubMed]
- Milardi, D.; Grande, G.; Sacchini, D.; Astorri, A.L.; Pompa, G.; Giampietro, A.; De Marinis, L.; Pontecorvi, A.; Spagnolo, A.G.; Marana, R. Male fertility and reduction in semen parameters: A single tertiary-care center experience. Int. J. Endocrinol. 2012, 2012, 649149. [Google Scholar] [CrossRef] [PubMed]
- Haghmorad, D.; Mahmoudi, M.B.; Haghighi, P.; Alidadiani, P.; Shahvazian, E.; Tavasolian, P.; Hosseini, M.; Mahmoudi, M. Improvement of fertility parameters with Tribulus Terrestris and Anacyclus Pyrethrum treatment in male rats. Int. Braz J Urol Off. J. Braz. Soc. Urol. 2019, 45, 1043–1054. [Google Scholar] [CrossRef] [PubMed]
- Meri, Z.B.; Irshid, I.B.; Migdadi, M.; Irshid, A.B.; Mhanna, S.A. Does cigarette smoking affect seminal fluid parameters? A comparative study. Oman Med. J. 2013, 28, 12–15. [Google Scholar] [CrossRef]
- Oduwole, O.O.; Huhtaniemi, I.T.; Misrahi, M. The Roles of Luteinizing Hormone, Follicle-Stimulating Hormone and Testosterone in Spermatogenesis and Folliculogenesis Revisited. Int. J. Mol. Sci. 2021, 22, 12735. [Google Scholar] [CrossRef]
- Deng, C.Y.; Lv, M.; Luo, B.H.; Zhao, S.Z.; Mo, Z.C.; Xie, Y.J. The Role of the PI3K/AKT/mTOR Signalling Pathway in Male Reproduction. Curr. Mol. Med. 2021, 21, 539–548. [Google Scholar] [CrossRef]
- Wang, H.; Wang, J.; Zhang, J.; Jin, S.; Li, H. Role of PI3K/AKT/mTOR signaling pathway in DBP-induced apoptosis of testicular sertoli cells in vitro. Environ. Toxicol. Pharmacol. 2017, 53, 145–150. [Google Scholar] [CrossRef]
- Yang, K.; Li, S.G.; Zhang, T.Y.; Dong, P.P.; Zeng, Q.Q. Runjing extract promotes spermatogenesis in rats with ornidazole-induced oligoasthenoteratozoospermia through extracellular signal-regulated kinase signalling, and regulating vimentin expression. J. Tradit. Chin. Med. 2021, 41, 581–587. [Google Scholar] [CrossRef]
- Jose-Miller, A.B.; Boyden, J.W.; Frey, K.A. Infertility. Am. Fam. Physician 2007, 75, 849–856. [Google Scholar]
- Ghaedi Heidari, F.; Dehghan, M.; Mokhtarabadi, S. Complementary and Alternative Medicine Usage and Its Determinant Factors Among Infertile Men in Iran. J. Fam. Reprod. Health 2020, 14, 180–185. [Google Scholar] [CrossRef]
- Sinclair, S. Male infertility: Nutritional and environmental considerations. Altern. Med. Rev. A J. Clin. Ther. 2000, 5, 28–38. [Google Scholar]
- Ibraheem, S.R.; Ibraheem, M.R.; Hashim, S. Effect of Lepidium sativum Aqueous Crude Extract in Some Fertility Parameters in Mice. Int. J. Sci. Res. (IJSR) 2015, 6, 260. [Google Scholar] [CrossRef]
- El-Wakf, A.M.; Elhabibi ES, M.; El-Ghany, E.A. Full Length ArticlePreventing male infertility by marjoram and sageessential oils through modulating testicular lipidaccumulation and androgens biosynthesisdisruption in a rat model of dietary obesity. Egypt. J. Basic Appl. Sci. 2015, 2, 167–175. [Google Scholar] [CrossRef]
- El-Wakf, A.M.; El-Habibi, E.M.; Ali, D.A.; Abd El-Ghany, E.; Elmougy, R. Marjoram and sage oils protect against testicular apoptosis, suppressed Ki-67 expression and cell cycle arrest as a therapy for male infertility in the obese rats. J. Food Biochem. 2020, 44, e13080. [Google Scholar] [CrossRef] [PubMed]
- Bagheri, S.M.; Shieh, A.; Ghalenoei, J.A.; Yadegari, M.; Alborzi, N. Review of potential spermatogenic and aphrodisiac effects of the Ferula genus. Clin. Exp. Reprod. Med. 2023, 50, 143–153. [Google Scholar] [CrossRef]
- Homady, M.H.; Khleifat, K.M.; Tarawneh, K.A.; Al-Raheil, I.A. Reproductive toxicity and infertility effect of Ferula hornonis extracts in mice. Theriogenology 2002, 57, 2247–2256. [Google Scholar] [CrossRef]
- Al-Qudah, M.M.A. Effects of Eruca sativa Leaves Extracts on Testes, Fertility Potential and Testosterone Concentration in Male Rats. Annu. Res. Rev. Biol. 2017, 16, 1–7. [Google Scholar] [CrossRef]
- Sadeghi, A.; Farokhi, F.; Shalizar-Jalali, A.; Najafi, G. Protective effect of vitamin E on sperm quality and in vitro fertilizing potential and testosterone concentration in polyvinyl chloride treated male rats. Vet. Res. Forum Int. Q. J. 2020, 11, 257–263. [Google Scholar] [CrossRef]
- Vaez, A.; Mardani, M.; Razavi, S. Impact of saffron on rat sperm membrane integrity and spermatogenesis status. Adv. Biomed. Res. 2014, 3, 146. [Google Scholar] [CrossRef]
- Singleton, V.L.; Orthofer, R.; Lamuela-Raventós, R.M. Analysis of total phenols and other oxidation substrates and antioxidants by means of folin-ciocalteu reagent. Methods Enzymol. 1999, 299, 152–178. [Google Scholar] [CrossRef]
- Brand-Williams, W.; Cuvelier, M.E.; Berset, C.L.W.T. Use of a free radical method to evaluate antioxidant activity. LWT—Food Sci. Technol. 1995, 28, 25–30. [Google Scholar] [CrossRef]
- Vizzotto, M.; Byrne, D.H.; Cisneros-Zevallos, L. Large Variation Found in the Phytochemical and Antioxidant Activity of Peach and Plum Germplasm. J. Am. Soc. Hortic. Sci. 2007, 132, 334–340. [Google Scholar] [CrossRef]
- Rosiepen, G.; Chapin, R.E.; Weinbauer, G.F. The duration of the cycle of the seminiferous epithelium is altered by administration of 2,5-hexanedione in the adult Sprague-Dawley rat. J. Androl. 1995, 16, 127–135. [Google Scholar] [CrossRef] [PubMed]
- Abd-Elsalam, R.M.; El Badawy, S.A.; Ogaly, H.A.; Ibrahim, F.M.; Farag, O.M.; Ahmed, K.A. Eruca sativa seed extract modulates oxidative stress and apoptosis and up-regulates the expression of Bcl-2 and Bax genes in acrylamide-induced testicular dysfunction in rats. Environ. Sci. Pollut. Res. Int. 2021, 28, 53249–53266. [Google Scholar] [CrossRef]
- Geroushi, A.; Auzi, A.A.; Elhwuegi, A.S.; Elzawam, F.; Elsherif, A.; Nahar, L.; Sarker, S.D. Antiinflammatory sesquiterpenes from the root oil of Ferula hermonis. Phytother. Res. PTR 2011, 25, 774–777. [Google Scholar] [CrossRef]
- Ramadan, G.; El-Beih, N.M.; Zahra, M.M. Egyptian sweet marjoram leaves protect against genotoxicity, immunosuppression and other complications induced by cyclophosphamide in albino rats. Br. J. Nutr. 2012, 108, 1059–1068. [Google Scholar] [CrossRef]
- Vazifeh, S.; Kananpour, P.; Khalilpour, M.; Eisalou, S.V.; Hamblin, M.R. Anti-inflammatory and Immunomodulatory Properties of Lepidium sativum. BioMed Res. Int. 2022, 2022, 3645038. [Google Scholar] [CrossRef]
- Bradford, M.M. A rapid and sensitive method for the quantitation of microgram quantities of protein utilizing the principle of protein-dye binding. Anal. Biochem. 1976, 72, 248–254. [Google Scholar] [CrossRef]
- Prasad, M.R.; Chinoy, N.J.; Kadam, K.M. Changes in succinic dehydrogenase levels in the rat epididymis under normal and altered physiologic conditions. Fertil. Steril. 1972, 23, 186–190. [Google Scholar] [CrossRef]
- WHO. WHO Laboratory Manual for the Examination and Processing of Human Semen, 5th ed.; WHO: Geneva, Switzerland, 2010. [Google Scholar]
- Didion, B.A.; Dobrinsky, J.R.; Giles, J.R.; Graves, C.N. Staining procedure to detect viability and the true acrosome reaction in spermatozoa of various species. Gamete Res. 1989, 22, 51–57. [Google Scholar] [CrossRef]
- Giannopolitis, C.N.; Ries, S.K. Superoxide dismutases: I. Occurrence in higher plants. Plant Physiol. 1977, 59, 309–314. [Google Scholar] [CrossRef] [PubMed]
- Moron, M.S.; Depierre, J.W.; Mannervik, B. Levels of glutathione, glutathione reductase and glutathione S-transferase activities in rat lung and liver. Biochim. Et Biophys. Acta 1979, 582, 67–78. [Google Scholar] [CrossRef] [PubMed]
- Heath, R.L.; Packer, L. Photoperoxidation in isolated chloroplasts. I. Kinetics and stoichiometry of fatty acid peroxidation. Arch. Biochem. Biophys. 1968, 125, 189–198. [Google Scholar] [CrossRef] [PubMed]
- Kooti, W.; Mansouri, E.; Ghasemiboroon, M.; Harizi, M.; Ashtary-Larky, D.; Afrisham, R. The Effects of Hydroalcoholic Extract of Apium graveolens Leaf on the Number of Sexual Cells and Testicular Structure in Rat. Jundishapur J. Nat. Pharm. Prod. 2014, 9, e17532. [Google Scholar] [CrossRef]
- Bizzarri, A.R.; Moscetti, I.; Cannistraro, S. Interaction of the anticancer p28 peptide with p53-DBD as studied by fluorescence, FRET, docking and MD simulations. Biochim. Et Biophys. Acta (BBA)—Gen. Subj. 2019, 1863, 342–350. [Google Scholar] [CrossRef]
- Johnsen, S.G. Testicular biopsy score count—A method for registration of spermatogenesis in human testes: Normal values and results in 335 hypogonadal males. Hormones 1970, 1, 2–25. [Google Scholar] [CrossRef]
- Saleh, A.A.; Hamed, S.; Hassan, A.M.; Amber, K.; Awad, W.; Alzawqari, M.H.; Shukry, M. Productive Performance, Ovarian Follicular Development, Lipid Peroxidation, Antioxidative Status, and Egg Quality in Laying Hens Fed Diets Supplemented with Salvia officinalis and Origanum majorana Powder Levels. Animals 2021, 11, 3513. [Google Scholar] [CrossRef]
- Jambor, T.; Zajickova, T.; Arvay, J.; Ivanisova, E.; Tirdilova, I.; Knizatova, N.; Greifova, H.; Kovacik, A.; Galova, E.; Lukac, N. Exceptional Properties of Lepidium sativum L. Extract and Its Impact on Cell Viability, Ros Production, Steroidogenesis, and Intracellular Communication in Mice Leydig Cells In Vitro. Molecules 2022, 27, 5127. [Google Scholar] [CrossRef]
- Ayuob, N.N.; Al-Harbi, M.S.; Abdulhadi, S.S. Is the chronic use of Ferula harmonis to enhance mice erectile function effective and safe? A histopathological study. Syst. Biol. Reprod. Med. 2014, 60, 282–292. [Google Scholar] [CrossRef]
- Hussein, Z.F. Study the effect of Eruca sativa leaves extract on male fertility in albino mice. Al-Nahrain J. Sci. 2013, 16, 143–146. [Google Scholar] [CrossRef]
- Roby, M.H.H.; Sarhan, M.A.; Selim, K.A.-H.; Khalel, K.I. Evaluation of antioxidant activity, total phenols and phenolic compounds in thyme (Thymus vulgaris L.), sage (Salvia officinalis L.), and marjoram (Origanum majorana L.) extracts. Ind. Crops Prod. 2013, 43, 827–831. [Google Scholar] [CrossRef]
- Baâtour, O.; Tarchoun, I.; Nasri, N.; Kaddour, R. Effect of growth stages on phenolics content and antioxidant activities of shoots in sweet marjoram (Origanum majorana L.) varieties under salt stress. Afr. J. Biotechnol. 2012, 11, 16486–16493. [Google Scholar]
- Sadiq, A.; Hayat, M.Q.; Mall, S.M. Qualitative and Quantitative Determination of Secondary metabolites and Antioxidant Potential of Eruca sativa. Nat. Prod. Chem. Res. 2014, 2, 137. [Google Scholar] [CrossRef]
- Kasabe, P.J.; Patil, P.N.; Kamble, D.D.; Dandge, P.B. Nutritional, elemental analysis and antioxidant activity of Garden cress (Lepidium Sativum L.) seeds. Int. J. Pharm. Pharm. Sci. 2012, 4, 392–395. [Google Scholar]
- Abdel-Kader, M.M.; Kassem, S.S.; Danial, E.N.; El-Raouf, A.A.; Hanafi, E.M. Evaluation of ferula hermonis root extract as a growt promoter. Int. J. Acad. Res. 2011, 3, 140–147. [Google Scholar]
- Dhull, S.B.; Kaur, P.; Purewal, S.S. Phytochemical analysis, phenolic compounds, condensed tannin content and antioxidant potential in Marwa (Origanum majorana) seed extracts. Resour. Effic. Technol. 2016, 2, 168–174. [Google Scholar] [CrossRef]
- Rathod, N.B.; Elabed, N.; Punia, S.; Ozogul, F.; Kim, S.K.; Rocha, J.M. Recent Developments in Polyphenol Applications on Human Health: A Review with Current Knowledge. Plants 2023, 12, 1217. [Google Scholar] [CrossRef]
- Saad, S.; Karoune, S.; Lahmadi, S.; Djemouai, N.; Foughalia, A.; Siabdallah, N.; Djedidi, M.; Hana, A.; Kechebar, M. Multivariate analysis of polyphenolic content and in vitro antioxidant capacities of different fractions of Lepidium sativum L. aerial parts and roots from algeria. Appl. Ecol. Environ. Res. 2023, 21, 889–923. [Google Scholar] [CrossRef]
- El-Haggar, M.; El-Hosseiny, L.; Ghazy, N.M.; El-Fiky, F.K.; El-Hawiet, A. Phytochemical investigation, antimicrobial and cytotoxic activities of suspension cultures of Lepidium sativum L. South Afr. J. Bot. 2021, 138, 500–505. [Google Scholar] [CrossRef]
- Elguera, J.C.T.; Barrientos, E.Y.; Wrobel, K.; Wrobel, K. Effect of cadmium (Cd(II)), selenium (Se(IV)) and their mixtures on phenolic compounds and antioxidant capacity in Lepidium sativum. Acta Physiol. Plant. 2013, 35, 431–441. [Google Scholar] [CrossRef]
- Ahmed, M.E.M.; Eldanasoury, M.M.; El-khamissi, H.A.; Taie, H.A.A. Phytochemicals, Phenolic Compounds and Antioxidant Activity of Garden cress (Lepidium sativum L.) seeds. Al-Azhar J. Agric. Res. 2023, 48, 168–176. [Google Scholar] [CrossRef]
- Tsakni, A.; Chatzilazarou, A.; Tsakali, E.; Tsantes, A.G.; Van Impe, J.; Houhoula, D. Identification of Bioactive Compounds in Plant Extracts of Greek Flora and Their Antimicrobial and Antioxidant Activity. Separations 2023, 10, 373. [Google Scholar] [CrossRef]
- Girgis, S.M.; Elraouf, A.A.; Abdou, H.S. Protective effect of Ferula hermonis root extract against cycram-induced DNA, biochemical and testicular damage in rats. Jordan J. Biol. Sci. 2021, 14, 105–110. [Google Scholar]
- Abdelkader, R.; El-Beih, N.; Zaahkouk, S.; El-Hussieny, E. Ameliorative Effect of Eruca sativa Seeds and Its Rutin on Gentamicin-Induced Nephrotoxicity in Male Rats via Targeting Inflammatory Status, Oxidative Stress and Kidney Injury Molecule-1 (KIM-1)/Cystatin C Expression. Indones. Biomed. J. 2022, 14, 74–83. [Google Scholar] [CrossRef]
- Rotimi, D.E.; Elebiyo, T.C.; Ojo, O.A. Therapeutic potential of rutin in male infertility: A mini review. J. Integr. Med. 2023, 21, 130–135. [Google Scholar] [CrossRef]
- Aslam, S.; Jahan, N.; Rahman, K.; Zafar, F.; Ashraf, M.Y. Synergistic interactions of polyphenols and their effect on antiradical potential. Pak. J. Pharm. Sci. 2017, 30, 1297–1304. [Google Scholar]
- Rahim, N.F.A.; Muhammad, N.; Abdullah, N.; Talip, B.A.; Dusuki, N.J.S. Synergistic Effect of Polyherbal Formulations on DPPH Radical Scavenging Activity. J. Sci. Technol. 2018, 10, 116–121. [Google Scholar] [CrossRef]
- Rai, A.; Gill, M.; Kinra, M.; Dsouza, L.A.; Sumalatha, S.; Raj, S.; Shetty, R.; Nandakumar, K.; Chamallamudi, M.R.; Kumar, N. Assessment of preclinical effect of (+)-catechin hydrate on sexual function: An in silico and in vivo study. Andrologia 2020, 52, e13737. [Google Scholar] [CrossRef]
- Santos, J.C.; Marques, C.C.; Baptista, M.C.; Pimenta, J.; Teixeira, J.; Montezinho, L.; Cagide, F.; Borges, F.; Oliveira, P.J.; Pereira, R. Effect of a Novel Hydroxybenzoic Acid Based Mitochondria Directed Antioxidant Molecule on Bovine Sperm Function and Embryo Production. Animals 2022, 12, 804. [Google Scholar] [CrossRef]
- Djaldetti, M. Ellagic Acid—A Dietary Polyphenol with Anticancer Activity That Deserves More Consideration. Recent Prog. Nutr. 2023, 3, 1–32. [Google Scholar] [CrossRef]
- Hosseinzadeh, A.; Mehrzadi, S.; Siahpoosh, A.; Basir, Z.; Bahrami, N.; Goudarzi, M. The ameliorative effect of ellagic acid on di-(2-ethylhexyl) phthalate-induced testicular structural alterations, oxidative stress, inflammation and sperm damages in adult mice. Reprod. Biol. Endocrinol. RBE 2021, 19, 146. [Google Scholar] [CrossRef] [PubMed]
- Izquierdo-Vega, J.A.; Osiris Madrigal-Santillán, E.; Chavez-Pagola, J.T.; Valadez-Vega, M.D.C.; Sánchez-Gutiérrez, M. The Activity of Ellagic Acid in Male Reproduction: A mini-review. Int. J. Med. Rev. 2019, 6, 135–139. [Google Scholar] [CrossRef]
- Ogawa, H.; Nishio, T.; Yoshikawa, Y.; Sadakane, K.; Yoshikawa, K. Chlorogenic Acid Protects DNA against Double-Strand Breaks: Evidence from Single Molecule Observation. Chem. Lett. 2023, 52, 524–527. [Google Scholar] [CrossRef]
- Komeili-Movahhed, T.; Heidari, F.; Moslehi, A. Chlorogenic acid alleviated testicular inflammation and apoptosis in tunicamycin induced endoplasmic reticulum stress. Physiol. Int. 2023, 110, 19–33. [Google Scholar] [CrossRef] [PubMed]
- Owumi, S.E.; Anaikor, R.A.; Arunsi, U.O.; Adaramoye, O.A.; Oyelere, A.K. Chlorogenic acid co-administration abates tamoxifen-mediated reproductive toxicities in male rats: An experimental approach. J. Food Biochem. 2021, 45, e13615. [Google Scholar] [CrossRef]
- Kaur, G.; Mankoo, R.K. p-Coumaric Acid: A Naturally Occurring Chemical with Potential Therapeutic Applications. Curr. Org. Chem. 2022, 27, 1333–1349. [Google Scholar] [CrossRef]
- Tanyeli, A.; Akdemir, F.N.E.; Eraslan, E.; Güler, M.C.; Nacar, T.; Çomaklı, S.; Gülçin, İ. The Role of p-Coumaric Acid on Reproductive and Remote Organ Damages Created by Adnexal Torsion/Detorsion: Biochemical and Immunohistochemical A Study. Clin. Exp. Health Sci. 2022, 12, 1005–1012. [Google Scholar] [CrossRef]
- Owumi, S.E.; Bello, S.A.; Najophe, S.E.; O Nwozo, S.; O Esan, I. Coadministration of gallic acid abates zearalenone-mediated defects in male rat’s reproductive function. J. Biochem. Mol. Toxicol. 2022, 36, e22940. [Google Scholar] [CrossRef]
- Altındağ, F.; Meydan, İ. Evaluation of protective effects of gallic acid on cisplatin-induced testicular and epididymal damage. Andrologia 2021, 53, e14189. [Google Scholar] [CrossRef]
- Parandin, R.; Yousofvand, N.; Ghorbani, R. The enhancing effects of alcoholic extract of Nigella sativa seed on fertility potential, plasma gonadotropins and testosterone in male rats. Iran. J. Reprod. Med. 2012, 10, 355–362. [Google Scholar]
- Smith, L.B.; Walker, W.H. The regulation of spermatogenesis by androgens. Semin. Cell Dev. Biol. 2014, 30, 2–13. [Google Scholar] [CrossRef] [PubMed]
- Ramaswamy, S.; Weinbauer, G.F. Endocrine control of spermatogenesis: Role of FSH and LH/testosterone. Spermatogenesis 2014, 4, e996025. [Google Scholar] [CrossRef] [PubMed]
- Kalwar, Q.; Chu, M.; Ahmad, A.A.; Ding, X.; Wu, X.; Bao, P.; Yan, P. Morphometric Evaluation of Spermatogenic Cells and Seminiferous Tubules and Exploration of Luteinizing Hormone Beta Polypeptide in Testis of Datong Yak. Animals 2019, 10, 66. [Google Scholar] [CrossRef] [PubMed]
- Ohta, Y.; Yoshida, K.; Kamiya, S.; Kawate, N.; Takahashi, M.; Inaba, T.; Hatoya, S.; Morii, H.; Takahashi, K.; Ito, M.; et al. Feeding hydroalcoholic extract powder of Lepidium meyenii (maca) increases serum testosterone concentration and enhances steroidogenic ability of Leydig cells in male rats. Andrologia 2016, 48, 347–354. [Google Scholar] [CrossRef]
- Olawuyi, T.S.; Ukwenya, V.O.; Jimoh, A.G.A.; Akinola, K.B. Histomorphometric evaluation of seminiferous tubules and stereological assessment of germ cells in testes following administration of aqueous leaf-extract of Lawsonia inermis on aluminium-induced oxidative stress in adult Wistar rats. JBRA Assist. Reprod. 2019, 23, 24–32. [Google Scholar] [CrossRef]
- Utomo, B.; Daningtia, N.R.; Yuliani, G.A.; Yuniarti, W.M. Effects of a standardized 40% ellagic acid pomegranate (Punica granatum L.) extract on seminiferous tubule histopathology, diameter, and epithelium thickness in albino Wistar rats after heat exposure. Vet. World 2019, 12, 1261–1265. [Google Scholar] [CrossRef]
- Checa, J.; Aran, J.M. Reactive Oxygen Species: Drivers of Physiological and Pathological Processes. J. Inflamm. Res. 2020, 13, 1057–1073. [Google Scholar] [CrossRef]
- Pizzino, G.; Irrera, N.; Cucinotta, M.; Pallio, G.; Mannino, F.; Arcoraci, V.; Squadrito, F.; Altavilla, D.; Bitto, A. Oxidative Stress: Harms and Benefits for Human Health. Oxidative Med. Cell. Longev. 2017, 2017, 8416763. [Google Scholar] [CrossRef]
- Mehanna, S.; Issa, M.Y.; Hassan, N.H.; Hussien, A.M.; Ibrahim, M.A.; Hassanen, E.I. Origanum majorana essential oil improves the rat’s sexual behavior and testicular oxidative damage induced by imidacloprid via modulating the steroidogenesis pathways. Saudi Pharm. J. 2022, 30, 1315–1326. [Google Scholar] [CrossRef]
- Talib, W.H.; Al-Ataby, I.A.; Mahmod, A.I.; Jawarneh, S.; Al Kury, L.T.; Al-Yasari, I.H. The Impact of Herbal Infusion Consumption on Oxidative Stress and Cancer: The Good, the Bad, the Misunderstood. Molecules 2020, 25, 4207. [Google Scholar] [CrossRef]
- Mirończuk-Chodakowska, I.; Witkowska, A.M.; Zujko, M.E. Endogenous non-enzymatic antioxidants in the human body. Adv. Med. Sci. 2018, 63, 68–78. [Google Scholar] [CrossRef] [PubMed]
- Elsawy, H.; Alzahrani, A.M.; Alfwuaires, M.; Abdel-Moneim, A.M.; Khalil, M. Beneficial role of naringin against methotrexate-induced injury to rat testes: Biochemical and ultrastructural analyses. Redox Rep. 2022, 27, 158–166. [Google Scholar] [CrossRef] [PubMed]
- Abdullah, F.; Khan Nor-Ashikin, M.N.; Agarwal, R.; Kamsani, Y.S.; Abd Malek, M.; Bakar, N.S.; Mohammad Kamal, A.A.; Sarbandi, M.S.; Abdul Rahman, N.S.; Musa, N.H. Glutathione (GSH) improves sperm quality and testicular morphology in streptozotocin-induced diabetic mice. Asian J. Androl. 2021, 23, 281–287. [Google Scholar] [CrossRef]
- Luqman, S.; Kaushik, S.; Srivastava, S.; Kumar, R.; Bawankule, D.U.; Pal, A.; Darokar, M.P.; Khanuja, S.P.S. Protective effect of medicinal plant extracts on biomarkers of oxidative stress in erythrocytes. Pharm. Biol. 2009, 47, 483–490. [Google Scholar] [CrossRef]
- El-Missiry, M.A.; Shalaby, F. Role of beta-carotene in ameliorating the cadmium-induced oxidative stress in rat brain and testis. J. Biochem. Mol. Toxicol. 2000, 14, 238–243. [Google Scholar] [CrossRef]
- Grami, D.; Rtibi, K.; Hammami, I.; Selmi, S.; De Toni, L.; Foresta, C.; Marzouki, L.; Sebai, H. Protective Action of Eruca sativa Leaves Aqueous Extracts Against Bisphenol A-Caused In Vivo Testicular Damages. J. Med. Food 2020, 23, 600–610. [Google Scholar] [CrossRef]
- Xu, G.; Zhang, W.; Bertram, P.; Zheng, X.F.; McLeod, H. Pharmacogenomic profiling of the PI3K/PTEN-AKT-mTOR pathway in common human tumors. Int. J. Oncol. 2004, 24, 893–900. [Google Scholar] [CrossRef]
- Lee, S.; Suk, K.; Kim, I.K.; Jang, I.S.; Park, J.W.; Johnson, V.J.; Kwon, T.K.; Choi, B.J.; Kim, S.H. Signaling pathways of bisphenol A-induced apoptosis in hippocampal neuronal cells: Role of calcium-induced reactive oxygen species, mitogen-activated protein kinases, and nuclear factor-kappaB. J. Neurosci. Res. 2008, 86, 2932–2942. [Google Scholar] [CrossRef]
- Dibble, C.C.; Cantley, L.C. Regulation of mTORC1 by PI3K signaling. Trends Cell Biol. 2015, 25, 545–555. [Google Scholar] [CrossRef]
- Li, F.; Huang, D.; Yang, W.; Liu, X.; Nie, S.; Xie, M. Polysaccharide from the seeds of Plantago asiatica L. alleviates nonylphenolinduced reproductive system injury of male rats via PI3K/Akt/mTORpathway. J. Funct. Foods 2020, 66, 103828. [Google Scholar] [CrossRef]
- Adeyi, O.E.; Somade, O.T.; James, A.S.; Adeyi, A.O.; Ogbonna-Eze, S.N.; Salako, O.Q.; Makinde, T.V.; Ajadi, O.M.; Nosiru, S.A. Ferulic acid mitigates 2-methoxyethanol-induced testicular oxidative stress via combined downregulation of FoxO1, PTEN, and modulation of Nrf2-Hmox1-NQO1 signaling pathway in rats. Pharmacol. Res.-Mod. Chin. Med. 2023, 7, 100257. [Google Scholar] [CrossRef]
- Vogl, A.W.; Vaid, K.S.; Guttman, J.A. The Sertoli cell cytoskeleton. Adv. Exp. Med. Biol. 2008, 636, 186–211. [Google Scholar] [CrossRef]
- Murphy, C.J.; Richburg, J.H. Implications of Sertoli cell induced germ cell apoptosis to testicular pathology. Spermatogenesis 2014, 4, e979110. [Google Scholar] [CrossRef] [PubMed]
- Ivaska, J.; Pallari, H.M.; Nevo, J.; Eriksson, J.E. Novel functions of vimentin in cell adhesion, migration, and signaling. Exp. Cell Res. 2007, 313, 2050–2062. [Google Scholar] [CrossRef] [PubMed]








| Experimental Groups | Body Weight (g) | Testes Weight (g) | Gonadosomatic Index (%) |
|---|---|---|---|
| Ctrl | 348.75 ± 17.95 | 2.50 ± 0.29 a | 0.71 ± 0.07 a |
| LS | 378.75 ± 12.64 | 3.05 ± 0.07 ab | 0.80 ± 0.03 ab |
| OM | 368.75 ± 12.14 | 3.33 ± 0.12 b | 0.90 ± 0.02 b |
| FH | 393.75 ±8.75 | 3.06 ± 0.12 ab | 0.77 ± 0.02 ab |
| ES | 397.50 ±19.84 | 3.29 ± 0.09 b | 0.82 ± 0.02 ab |
| MIX | 371.25 ± 11.43 | 3.10 ± 0.05 ab | 0.83 ± 0.03 ab |
| VitE | 408.75 ± 11.43 | 3.28 ± 0.09 b | 0.80 ± 0.01 ab |
| Results of one-way ANOVA (groups) | F = 2.138 | F = 3.990 | F = 2.292 |
| p > 0.05 | p < 0.05 | p > 0.05 |
| Experimental Groups | Sperm Concentration (million/mL) | Sperm Motility (%) | Sperm Viability (%) | Mean Johnsen’s Score |
|---|---|---|---|---|
| Ctrl | 16.75 ± 0.85 a | 31.75 ± 3.94 | 43.50 ± 1.55 | 9.30 ± 0.26 |
| LS | 35.50 ± 2.25 ab | 33.50 ± 2.36 | 41.75 ± 3.12 | 9.60 ± 0.30 |
| OM | 57.75 ± 12.18 b | 31.75 ± 1.44 | 45.00 ± 2.20 | 9.70 ± 0.21 |
| FH | 54.25 ± 6.14 b | 34.00 ± 2.68 | 40.00 ± 0.82 | 9.80 ± 0.13 |
| ES | 39.75 ± 3.77 ab | 36.00 ± 2.45 | 46.75 ± 2.36 | 9.60 ± 0.30 |
| MIX | 50.25 ± 1.65 b | 37.50 ± 2.79 | 46.50 ± 3.95 | 9.90 ± 0.10 |
| VitE | 41.25 ± 1.88 ab | 42.50 ± 2.50 | 50.25 ± 4.09 | 9.50 ± 0.40 |
| Results of one-way ANOVA (groups) | F = 6.322 | F = 1.554 | F = 1.481 | F = 0.559 |
| p < 0.001 | p > 0.05 | p > 0.05 | p > 0.05 |
| Experimental Groups | N | Testes GSH (nmol/mg Protein) | Testes SOD (U/mg Protein) | Testes MDA (nmol/g Protein) |
|---|---|---|---|---|
| Ctrl | 4 | 6.40 ± 1.04 a | 17.93 ± 2.583 | 21.41 ± 3.47 |
| LS | 4 | 8.78 ± 1.72 ab | 18.66 ± 0.955 | 28.89 ± 1.20 |
| OM | 4 | 16.03 ± 1.81 bd | 16.29 ± 0.902 | 21.03 ± 1.92 |
| FH | 4 | 8.13 ± 1.01 ae | 14.53 ± 0.622 | 24.34 ± 3.79 |
| ES | 4 | 14.61 ± 1.49 bef | 19.15 ± 1.727 | 19.16 ± 1.17 |
| MIX | 4 | 18.86 ± 1.78 cdf | 18.47 ± 0.489 | 22.78 ± 0.67 |
| VitE | 4 | 12.38 ± 2.51 adf | 20.59 ± 1.049 | 21.94 ± 4.13 |
| Results of one-way ANOVA (groups) | F = 7.374 | F = 2.102 | F = 1.355 | |
| p < 0.001 | p > 0.05 | p > 0.05 | ||
Disclaimer/Publisher’s Note: The statements, opinions and data contained in all publications are solely those of the individual author(s) and contributor(s) and not of MDPI and/or the editor(s). MDPI and/or the editor(s) disclaim responsibility for any injury to people or property resulting from any ideas, methods, instructions or products referred to in the content. |
© 2024 by the authors. Licensee MDPI, Basel, Switzerland. This article is an open access article distributed under the terms and conditions of the Creative Commons Attribution (CC BY) license (https://creativecommons.org/licenses/by/4.0/).
Share and Cite
Khalaf, R.R.; Khazaal, S.; Abouzeinab, N.S.; Khalil, M.I. Evaluation of Selected Folk Herbs on the Fertility of Sprague Dawley Male Rats: Biochemical, Histological, and Molecular Investigations. Life 2024, 14, 1620. https://doi.org/10.3390/life14121620
Khalaf RR, Khazaal S, Abouzeinab NS, Khalil MI. Evaluation of Selected Folk Herbs on the Fertility of Sprague Dawley Male Rats: Biochemical, Histological, and Molecular Investigations. Life. 2024; 14(12):1620. https://doi.org/10.3390/life14121620
Chicago/Turabian StyleKhalaf, Rana R., Salma Khazaal, Noura S. Abouzeinab, and Mahmoud I. Khalil. 2024. "Evaluation of Selected Folk Herbs on the Fertility of Sprague Dawley Male Rats: Biochemical, Histological, and Molecular Investigations" Life 14, no. 12: 1620. https://doi.org/10.3390/life14121620
APA StyleKhalaf, R. R., Khazaal, S., Abouzeinab, N. S., & Khalil, M. I. (2024). Evaluation of Selected Folk Herbs on the Fertility of Sprague Dawley Male Rats: Biochemical, Histological, and Molecular Investigations. Life, 14(12), 1620. https://doi.org/10.3390/life14121620

