Bleeding Symptoms in Pediatric Patients with Congenital FVII Deficiency and Correlation to Thrombin Generation Assay Parameters: A Single-Center Retrospective Analysis
Abstract
1. Introduction
2. Patients and Methods
2.1. Subjects
2.2. Controls (No FVII Deficiency)
2.3. Laboratory Data Collection
2.4. Bleeding Assessment Tool (BAT)
2.5. Laboratory Determinations
2.6. Thrombin Generation Assays
2.7. Routine Laboratory Measurements
PT, aPTT, Fibrinogen and FVII
2.8. Counts of Hemoglobin, White Blood Cells and Platelets Count
2.9. Statistical Analysis
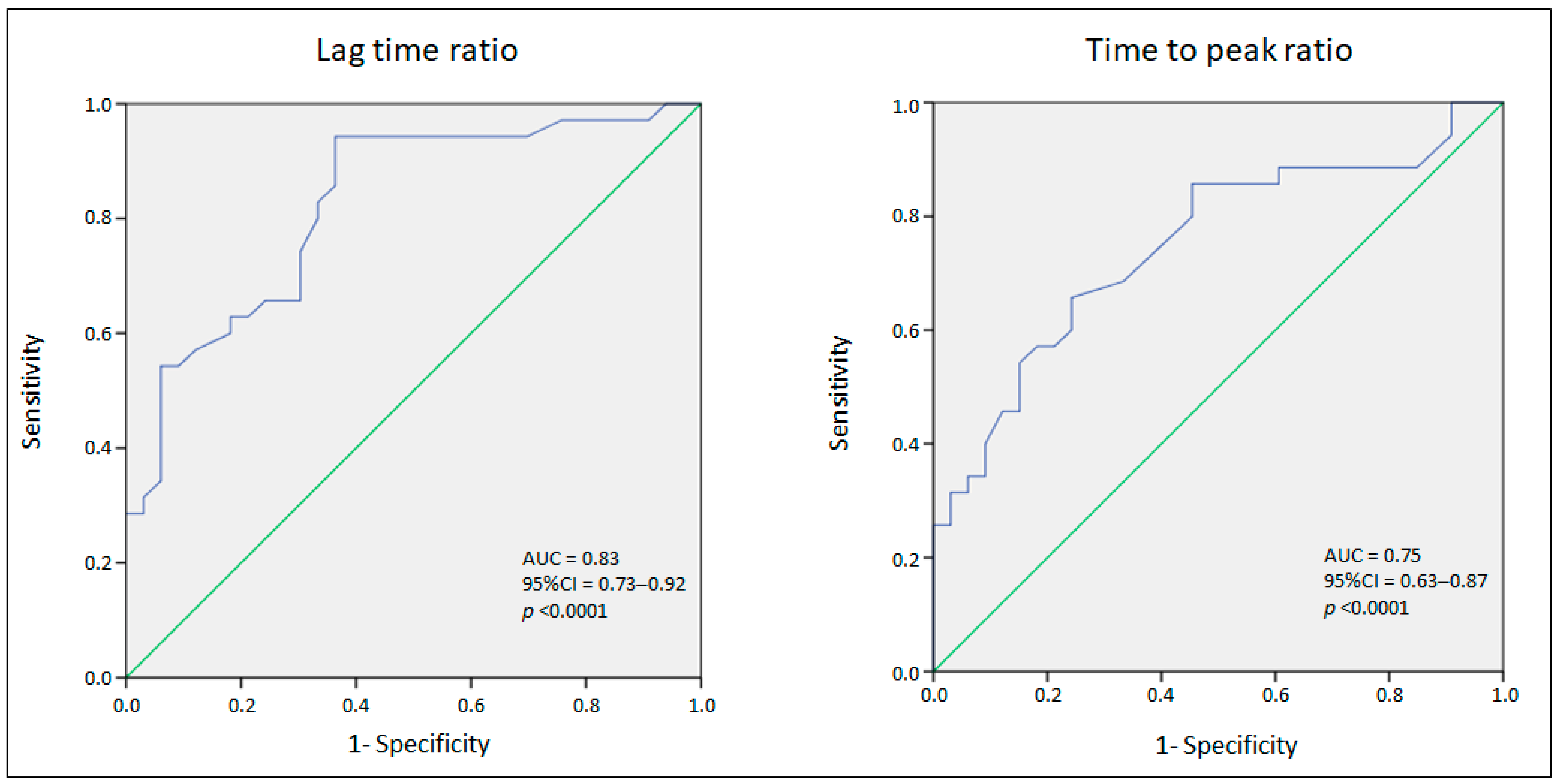
3. Results
4. Discussion
5. Conclusions
Supplementary Materials
Author Contributions
Funding
Institutional Review Board Statement
Informed Consent Statement
Data Availability Statement
Acknowledgments
Conflicts of Interest
References
- Mariani, G.; Herrmann, F.H.; Dolce, A.; Batorova, A.; Etro, D.; Peyvandi, F.; Wulff, K.; Schved, J.F.; Auerswald, G.; Ingerslev, J.; et al. Clinical phenotypes and factor VII genotype in congenital factor VII deficiency. Thromb. Haemost. 2005, 93, 481–487. [Google Scholar] [CrossRef] [PubMed]
- Di Minno, M.N.; Dolce, A.; Mariani, G. Bleeding symptoms at disease presentation and prediction of ensuing bleeding in inherited FVII deficiency. Thromb. Haemost. 2013, 109, 1051–1059. [Google Scholar] [CrossRef]
- Jain, S.; Donkin, J.; Frey, M.J.; Peltier, S.; Gunawardena, S.; Cooper, D.L. Phenotypical variability in congenital FVII deficiency follows the ISTH-SSC severity classification guidelines: A review with illustrative examples from the clinic. J. Blood Med. 2018, 9, 211–218. [Google Scholar] [CrossRef] [PubMed]
- Robinson, K.S. An overview of inherited factor VII deficiency. Transfus. Apher. Sci. 2019, 58, 569–571. [Google Scholar] [CrossRef]
- Toret, E.; Ay, Y.; Karapinar, T.H.; Oymak, Y.; Kavakli, K.; Vergin, R.C. Evaluation of Bleeding Phenotype of Inherited Factor VII Deficiency in Children With a Bleeding Assessment Tool and Global Assays. J. Pediatr. Hematol./Oncol. 2020, 42, e527–e530. [Google Scholar] [CrossRef]
- Greene, L.A.; Goldenberg, N.A.; Simpson, M.L.; Villalobos-Menuey, E.; Bombardier, C.; Acharya, S.S.; Santiago-Borrero, P.J.; Cambara, A.; DiMichele, D.M. Use of global assays to understand clinical phenotype in congenital factor VII deficiency. Haemophilia 2013, 19, 765–772. [Google Scholar] [CrossRef] [PubMed]
- Iwaniec, T.; Zdziarska, J.; Musiał, J.; Sanak, M. A Retrospective Analysis of Clinical and Laboratory Data of Patients with Factor VII Deficiency: A Single Centre Experience. Hamostaseologie 2019, 39, 368–376. [Google Scholar] [CrossRef]
- Napolitano, M.; Siragusa, S.; Mariani, G. Factor VII Deficiency: Clinical Phenotype, Genotype and Therapy. J. Clin. Med. 2017, 6, 38. [Google Scholar] [CrossRef]
- Halimeh, S.; Koch, L.; Kenet, G.; Kuta, P.; Rahmfeld, T.; Stoll, M.; Nowak-Göttl, U. Genotype-Phenotype Relationship among 785 Unrelated White Women with Inherited Congenital Factor VII Deficiency: A Three-Center Database Study. J. Clin. Med. 2023, 13, 49. [Google Scholar] [CrossRef]
- Peyvandi, F.; Palla, R.; Menegatti, M.; Siboni, S.M.; Halimeh, S.; Faeser, B.; Pergantou, H.; Platokouki, H.; Giangrande, P.; Peerlinck, K.; et al. Coagulation factor activity and clinical bleeding severity in rare bleeding disorders: Results from the European Network of Rare Bleeding Disorders. J. Thromb. Haemost. 2012, 10, 615–621. [Google Scholar] [CrossRef]
- Sevenet, P.O.; Kaczor, D.A.; Depasse, F. Factor VII Deficiency: From Basics to Clinical Laboratory Diagnosis and Patient Management. Clin. Appl. Thromb./Hemost. 2017, 23, 703–710. [Google Scholar] [CrossRef] [PubMed]
- Lapecorella, M.; Mariani, G. Factor VII deficiency: Defining the clinical picture and optimizing therapeutic options. Haemophilia 2008, 14, 1170–1175. [Google Scholar] [CrossRef]
- Rodeghiero, F.; Tosetto, A.; Abshire, T.; Arnold, D.M.; Coller, B.; James, P.; Neunert, C.; Lillicrap, D. ISTH/SSC bleeding assessment tool: A standardized questionnaire and a proposal for a new bleeding score for inherited bleeding disorders. J. Thromb. Haemost. 2010, 8, 2063–2065. [Google Scholar] [CrossRef] [PubMed]
- Elbatarny, M.; Mollah, S.; Grabell, J.; Bae, S.; Deforest, M.; Tuttle, A.; Hopman, W.; Clark, D.S.; Mauer, A.C.; Bowman, M.; et al. Normal range of bleeding scores for the ISTH-BAT: Adult and pediatric data from the merging project. Haemophilia 2014, 20, 831–835. [Google Scholar] [CrossRef]
- Peltier, S.; Kellum, A.; Brewer, J.; Duncan, A.; Cooper, D.L.; Saad, H. Psychosocial Impact and Disease Management in Patients with Congenital Factor VII Deficiency. J. Blood Med. 2020, 11, 297–303. [Google Scholar] [CrossRef] [PubMed]
- Bernardi, F.; Mariani, G. Biochemical, molecular and clinical aspects of coagulation factor VII and its role in hemostasis and thrombosis. Haematologica 2021, 106, 351–362. [Google Scholar] [CrossRef]
- Kuperman, A.A.; Barg, A.A.; Fruchtman, Y.; Shaoul, E.; Rosenberg, N.; Kenet, G.; Livnat, T. Primary prophylaxis for children with severe congenital factor VII deficiency—Clinical and laboratory assessment. Blood Cells Mol. Dis. 2017, 67, 86–90. [Google Scholar] [CrossRef]
- Konkle, B.A.; Ebbesen, L.S.; Erhardtsen, E.; Bianco, R.P.; Lissitchkov, T.; Rusen, L.; Serban, M.A. Randomized, prospective clinical trial of recombinant factor VIIa for secondary prophylaxis in hemophilia patients with inhibitors. J. Thromb. Haemost. 2007, 5, 1904–1913. [Google Scholar] [CrossRef]
- Brummel Ziedins, K.; Rivard, G.E.; Pouliot, R.L.; Butenas, S.; Gissel, M.; Parhami-Seren, B.; Mann, K.G. Factor VIIa replacement therapy in factor VII deficiency. J. Thromb. Haemost. 2004, 2, 1735–1744. [Google Scholar] [CrossRef]
- van Geffen, M.; Mathijssen, N.C.; Holme, P.A.; Laros-van Gorkom, B.A.; van Kraaij, M.G.; Masereeuw, R.; Peyvandi, F.; van Heerde, W.L. Pharmacodynamics of recombinant activated factor VII and plasma-derived factor VII in a cohort of severe FVII deficient patients. Thromb. Res. 2013, 132, 116–122. [Google Scholar] [CrossRef]
- Siboni, S.M.; Biguzzi, E.; Mistretta, C.; Garagiola, I.; Peyvandi, F. Long-term prophylaxis in severe factor VII deficiency. Haemophilia 2015, 21, 812–819. [Google Scholar] [CrossRef] [PubMed]
- Strauss, E.R.; Mazzeffi, M.A.; Williams, B.; Key, N.S.; Tanaka, K.A. Perioperative management of rare coagulation factor deficiency states in cardiac surgery. Br. J. Anaesth. 2017, 119, 354–368. [Google Scholar] [CrossRef] [PubMed]
- Kim, S.H.; Park, Y.S.; Kwon, K.H.; Lee, J.H.; Kim, K.C.; Yoo, M.C. Surgery in patients with congenital factor VII deficiency: A single center experience. Korean J. Hematol. 2012, 47, 281–285. [Google Scholar] [CrossRef] [PubMed]
- Qu, C.; Liu, W.; Chen, L.; Zhang, L.; Xue, F.; Yang, R. Factor VII deficiency in China: Phenotype, genotype and current status of management. Br. J. Haematol. 2023, 200, 344–352. [Google Scholar] [CrossRef]
- Tripathi, P.; Mishra, P.; Ranjan, R.; Tyagi, S.; Seth, T.; Saxena, R. Factor VII deficiency—An enigma; clinicohematological profile in 12 cases. Hematology 2019, 24, 97–102. [Google Scholar] [CrossRef]
- Yang, Y.; Zeng, Y.C.; Rumende, P.; Wang, C.G.; Chen, Y. Diagnosis and treatment discussion of congenital factor VII deficiency in pregnancy: A case report. World J. Clin. Cases 2021, 9, 6091–6101. [Google Scholar] [CrossRef]
- Tran, H.T.; Tjønnfjord, G.E.; Holme, P.A. Use of thromboelastography and thrombin generation assay to predict clinical phenotype in patients with severe FVII deficiency. Haemophilia 2014, 20, 141–146. [Google Scholar] [CrossRef] [PubMed]
- Valke, L.; Rijpma, S.; Meijer, D.; Schols, S.E.M.; van Heerde, W.L. Thrombin generation assays to personalize treatment in bleeding and thrombotic diseases. Front. Cardiovasc. Med. 2022, 9, 1033416. [Google Scholar] [CrossRef]
- Pasca, S.; Santoro, C.; Ambaglio, C.; Napolitano, M.; Milan, M.; Natali, L.; Nannizzi, S.; Mori, F.; Simioni, P.; Zanon, E. Comparison among three different bleeding scores and the thrombin generation assay to assess the different hemorrhagic phenotypes in patients with FVII deficiency. Bleeding Thromb. Vasc. Biol. 2022, 1, 12. [Google Scholar] [CrossRef]





| Parameter | FVII Deficiency Yes | FVII Deficiency No (Controls) | p * | |
|---|---|---|---|---|
| N | 19 | 33 | ||
| Absolute TGA parameters values | Lag time (min) | 3.15 [2.63–3.77] | 2.52 [2.35–2.80] | 0.02 |
| Peak height (nM) | 142.4 [117.6–195.0] | 173.3 [134.2–206.5] | 0.51 | |
| Time-to-peak (min) | 6.06 [5.30–6.58] | 5.11 [4.85–5.83] | 0.054 | |
| ETP (nM/min) | 913 [807–1151] | 1014 [850–1123] | 0.66 | |
| Vel. index (nM/min) | 69.4 [46.7–97.1] | 83.9 [58.3–116.2] | 0.48 | |
| Start tail (min) | 19.7 [17.5–21.2] | 17.8 [15.4–20.6] | 0.27 | |
| Normalized TGA parameters values | Lag time ratio | 1.23 [1.03–1.47] | 0.96 [0.88–1.08] | 0.003 |
| Peak height % | 103.6 [87.0–129.1] | 105.9 [86.4–143.3] | 0.80 | |
| Time-to-peak ratio | 1.11 [0.98–1.25] | 0.92 [0.87–1.05] | 0.04 | |
| ETP% | 91.2 [78.1–106.4] | 86.0 [77.6–98.2] | 0.83 | |
| Vel. index % | 106.2 [84.5–148.8] | 123.0 [84.9–159.8] | 0.70 | |
| Start tail ratio | 0.89 [0.380–0.98] | 0.83 [0.69–0.96] | 0.25 |
| Parameter | Group A | Group S | p | |
|---|---|---|---|---|
| N | 10 | 9 | ||
| Absolute TGA parameters values | Lag time | 2.76 [2.24–3.70] | 3.29 [2.66–3.82] | 0.21 |
| Peak height (nM) | 162.9 [125.7–253.4] | 159.0 [101.7–193.0] | 0.16 | |
| Time-to-peak | 5.37 [4.53–6.53] | 6.14 [5.55–7.05] | 0.03 | |
| ETP (nM/min) | 959 [815–1295] | 890 [727–1157] | 0.11 | |
| Vel. index (nM/min) | 89.3 [37.4–141.1] | 73.9 [47.2–88.5] | 0.16 | |
| Start tail (min) | 18.6 [15.7–21.12] | 18.5 [17.8–22.9] | 0.32 | |
| Normalized TGA parameters values | Lag time ratio | 1.08 [0.97–1.33] | 1.31 [1.07–1.65] | 0.01 |
| Peak height % | 121.0 [86.5–156.9] | 95.5 [66.1–123.3] | 0.07 | |
| Time-to-peak ratio | 1.02 [0.85–1.29] | 1.14 [1.02–1.29] | 0.02 | |
| ETP% | 97.1 [80.4–110.3] | 82.9 [67.8–99.3] | 0.08 | |
| Vel. index % | 139.9 [100.1–186.5] | 95.0 [66.2–131.5] | 0.03 | |
| Start tail ratio | 0.86 [0.72–0.97] | 0.86 [0.82–1.07] | 0.16 |
Disclaimer/Publisher’s Note: The statements, opinions and data contained in all publications are solely those of the individual author(s) and contributor(s) and not of MDPI and/or the editor(s). MDPI and/or the editor(s) disclaim responsibility for any injury to people or property resulting from any ideas, methods, instructions or products referred to in the content. |
© 2024 by the authors. Licensee MDPI, Basel, Switzerland. This article is an open access article distributed under the terms and conditions of the Creative Commons Attribution (CC BY) license (https://creativecommons.org/licenses/by/4.0/).
Share and Cite
Di Felice, G.; Iavarone, S.; Montemari, A.L.; Tripiciano, C.; Massoud, M.; Pezzi, S.; Giorni, C.; Porzio, O.; Luciani, M. Bleeding Symptoms in Pediatric Patients with Congenital FVII Deficiency and Correlation to Thrombin Generation Assay Parameters: A Single-Center Retrospective Analysis. Life 2024, 14, 1559. https://doi.org/10.3390/life14121559
Di Felice G, Iavarone S, Montemari AL, Tripiciano C, Massoud M, Pezzi S, Giorni C, Porzio O, Luciani M. Bleeding Symptoms in Pediatric Patients with Congenital FVII Deficiency and Correlation to Thrombin Generation Assay Parameters: A Single-Center Retrospective Analysis. Life. 2024; 14(12):1559. https://doi.org/10.3390/life14121559
Chicago/Turabian StyleDi Felice, Giovina, Sonia Iavarone, Anna Lisa Montemari, Costanza Tripiciano, Michela Massoud, Simona Pezzi, Chiara Giorni, Ottavia Porzio, and Matteo Luciani. 2024. "Bleeding Symptoms in Pediatric Patients with Congenital FVII Deficiency and Correlation to Thrombin Generation Assay Parameters: A Single-Center Retrospective Analysis" Life 14, no. 12: 1559. https://doi.org/10.3390/life14121559
APA StyleDi Felice, G., Iavarone, S., Montemari, A. L., Tripiciano, C., Massoud, M., Pezzi, S., Giorni, C., Porzio, O., & Luciani, M. (2024). Bleeding Symptoms in Pediatric Patients with Congenital FVII Deficiency and Correlation to Thrombin Generation Assay Parameters: A Single-Center Retrospective Analysis. Life, 14(12), 1559. https://doi.org/10.3390/life14121559

