Effects of Arthrospira platensis on Human Umbilical Vein Endothelial Cells
Abstract
1. Introduction
2. Material and Methods
2.1. Study Design
2.2. Endothelial Cells
2.3. Real-Time Measurement of the HUVEC Monolayer Formation
2.4. Fabrication of APE
2.5. Analysis of Cell Viability and Cell Density
2.6. Analysis of Cell Metabolism
2.7. Cell Membrane Integrity
2.8. Secretion Profile Screening
2.9. Staining of Cell–Cell and Cell–Substrate Contacts
2.10. Statistical Analysis
3. Results
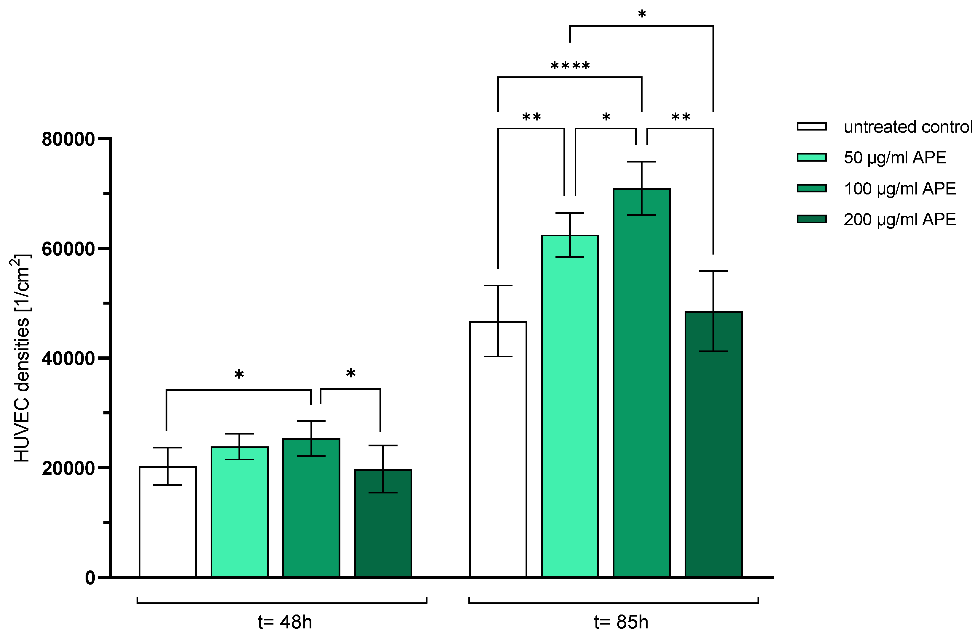
3.1. Effect of Arthrospira on the Number of Adherent HUVECs
3.2. Effect of Arthrospira on the Viability of Adherent HUVECs
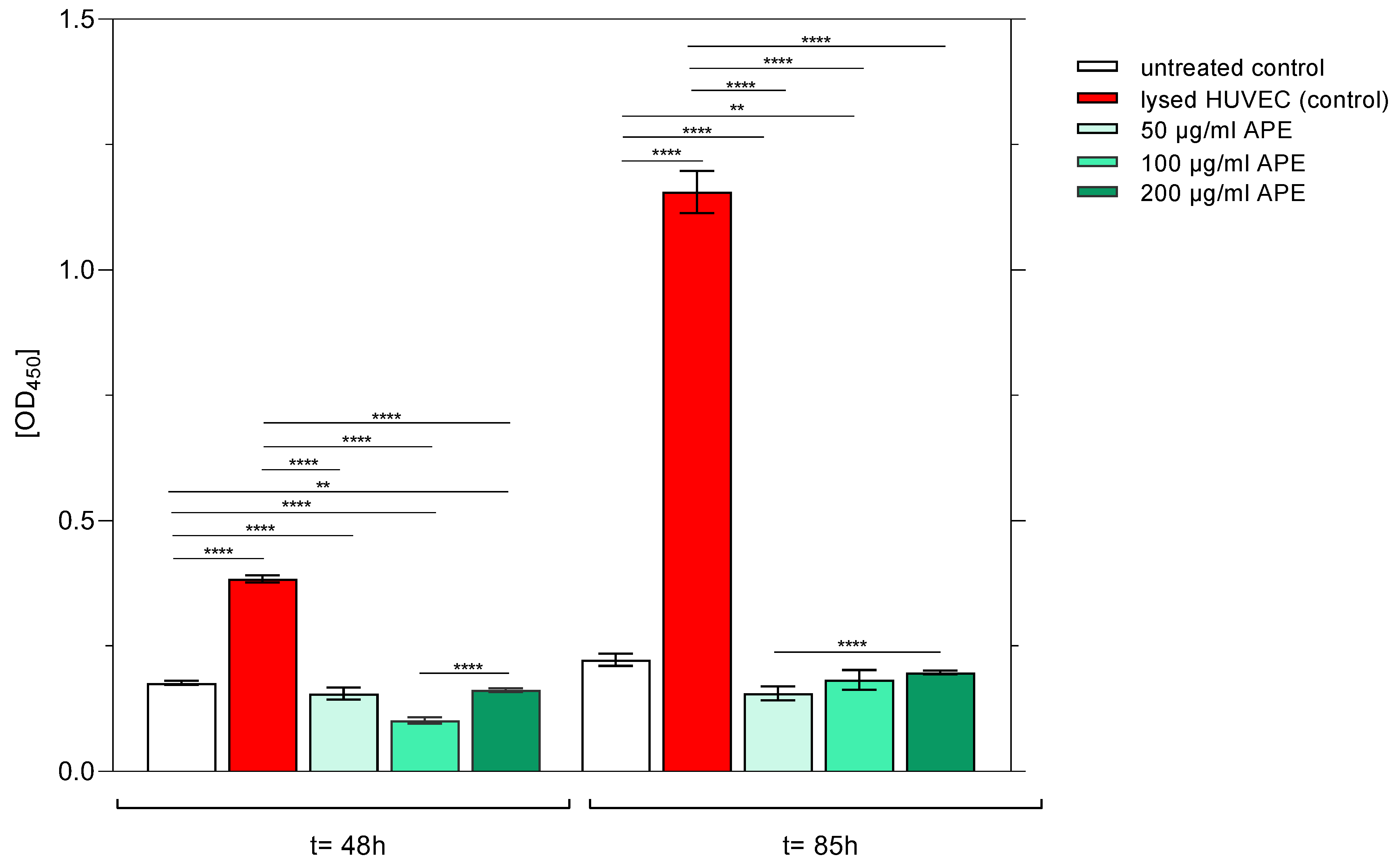
3.3. Effect of Arthrospira platensis on the Integrity of the Outer Membrane of HUVECs
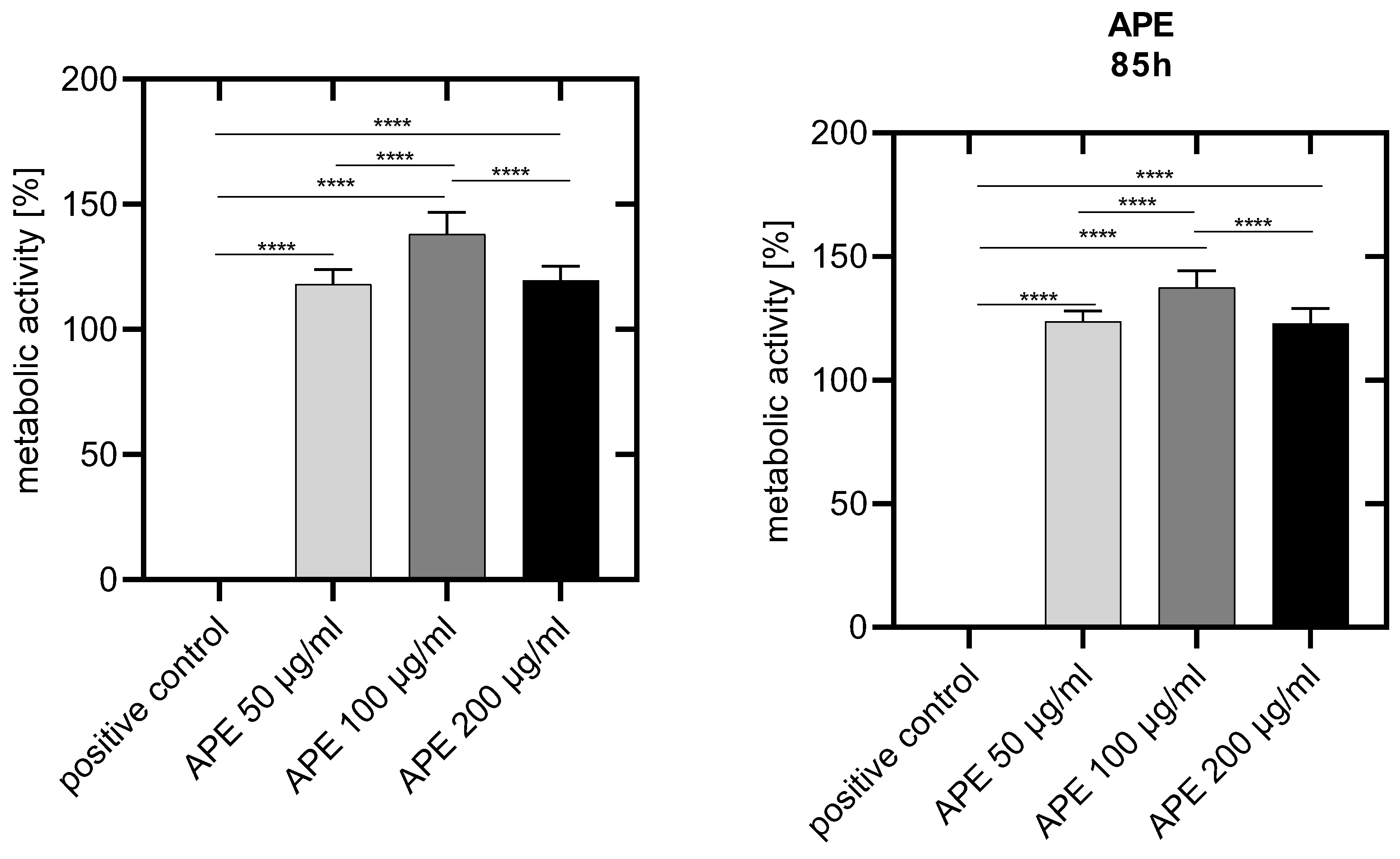
3.4. Arthrospira Induced a Concentration-Dependent Decrease in Metabolic Activity in HUVECs
3.5. Arthrospira Affects the HUVEC Function
3.5.1. Prostacyclin
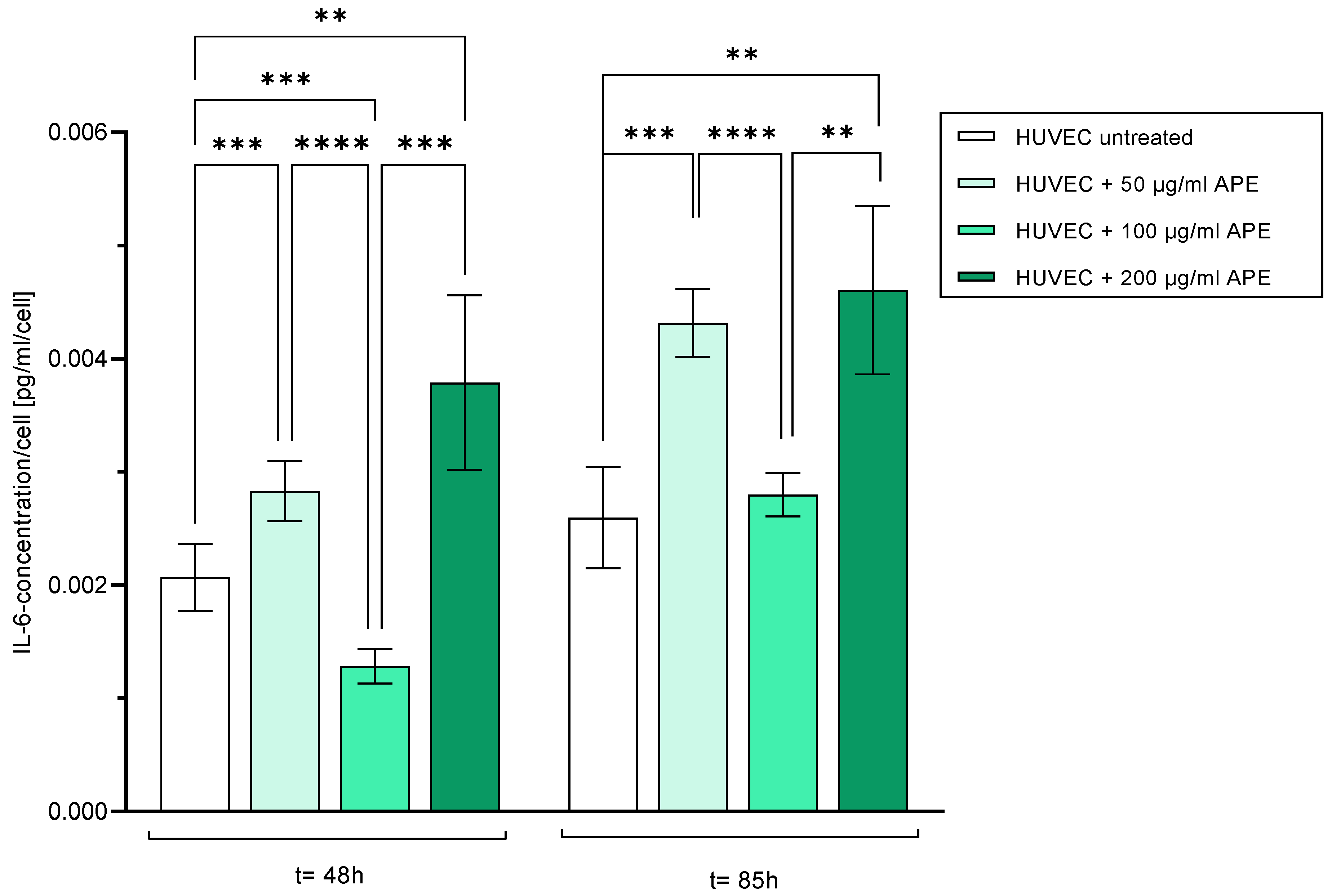
3.5.2. Interleukin-6
3.5.3. Thromboxane
3.5.4. Analysis of Cell–Cell and Cell–Substrate Contacts
4. Discussion
5. Conclusions
Author Contributions
Funding
Institutional Review Board Statement
Informed Consent Statement
Data Availability Statement
Acknowledgments
Conflicts of Interest
References
- Dri, E.; Lampas, E.; Lazaros, G.; Lazarou, E.; Theofilis, P.; Tsioufis, C.; Tousoulis, D. Inflammatory Mediators of Endothelial Dysfunction. Life 2023, 13, 1420. [Google Scholar] [CrossRef] [PubMed]
- Krüger-Genge, A.; Blocki, A.; Franke, R.P.; Jung, F. Vascular Endothelial Cell Biology: An Update. Int. J. Mol. Sci. 2019, 20, 4411. [Google Scholar] [CrossRef] [PubMed]
- Michiels, C. Endothelial cell functions. J. Cell Physiol. 2003, 196, 430–443. [Google Scholar] [CrossRef] [PubMed]
- Moncada, S.; Herman, A.G.; Higgs, E.A.; Vane, J.R. Differential formation of prostacyclin (PGX or PGI2) by layers of the arterial wall. An explanation for the anti-thrombotic properties of vascular endothelium. Thromb. Res. 1977, 11, 323–344. [Google Scholar] [CrossRef] [PubMed]
- Verhamme, P.; Hoylaerts, M.F. The pivotal role of the endothelium in haemostasis and thrombosis. Acta Clin. Belg. 2006, 61, 213–219. [Google Scholar] [CrossRef]
- Ross, R. The pathogenesis of atherosclerosis—An update. N. Engl. J. Med. 1986, 314, 488–500. [Google Scholar] [CrossRef]
- Chung, I.; Lip, G.Y. Virchow’s triad revisited: Blood constituents. Pathophysiol. Haemost. Thromb. 2003, 33, 449–454. [Google Scholar] [CrossRef]
- Jung, F.; Braune, S.; Jung, C.H.G.; Kruger-Genge, A.; Waldeck, P.; Petrick, I.; Kupper, J.H. Lipophilic and Hydrophilic Compounds from Arthrospira platensis and Its Effects on Tissue and Blood Cells—An Overview. Life 2022, 12, 1497. [Google Scholar] [CrossRef]
- Gentscheva, G.; Nikolova, K.; Panayotova, V.; Peycheva, K.; Makedonski, L.; Slavov, P.; Radusheva, P.; Petrova, P.; Yotkovska, I. Application of Arthrospira platensis for Medicinal Purposes and the Food Industry: A Review of the Literature. Life 2023, 13, 845. [Google Scholar] [CrossRef]
- Vide, J.; Virsolvy, A.; Romain, C.; Ramos, J.; Jouy, N.; Richard, S.; Cristol, J.P.; Gaillet, S.; Rouanet, J.M. Dietary silicon-enriched spirulina improves early atherosclerosis markers in hamsters on a high-fat diet. Nutrition 2015, 31, 1148–1154. [Google Scholar] [CrossRef]
- Braune, S.; Krüger-Genge, A.; Köhler, S.; Küpper, J.-H.; Jung, F. Effects of Arthrospira platensis-derived substances on blood cells. Clin. Hemorheol. Microcirc. 2023, 85, 1–7. [Google Scholar]
- Nikolova, K.; Gentscheva, G.; Gyurova, D.; Pavlova, V.; Dincheva, I.; Velikova, M.; Gerasimova, A.; Makedonski, L.; Gergov, G. Metabolomic Profile of Arthrospira platensis from a Bulgarian Bioreactor—A Potential Opportunity for Inclusion in Dietary Supplements. Life 2024, 14, 174. [Google Scholar] [CrossRef] [PubMed]
- Kiran, B.R.; Venkata Mohan, S. Microalgal cell biofactory—Therapeutic, nutraceutical and functional food applications. Plants 2021, 10, 836. [Google Scholar] [CrossRef] [PubMed]
- Jung, C.; Nghinaunye, T.; Waldeck, P.; Braune, S.; Petrick, I.; Küpper, J.-H.; Jung, F. Decarbonization of Arthrospira platensis production by using atmospheric CO2 as an exclusive carbon source: Proof of principle. Int. J. Environ. Sci. Technol. 2024, 21, 4635–4644. [Google Scholar] [CrossRef]
- Ciferri, O. Spirulina, the edible microorganism. Microbiol. Rev. 1983, 47, 551–578. [Google Scholar] [CrossRef]
- Jung, F.; Krüger-Genge, A.; Köhler, S.; Mrowietz, C.; Küpper, J.H.; Braune, S. Effects of Arthrospira platensis-derived phycocyanin on blood cells. Clin. Hemorheol. Microcirc. 2023, 85, 315–321. [Google Scholar] [CrossRef]
- Krüger-Genge, A.; Steinbrecht, S.; Jung, C.; Westphal, S.; Klöpzig, S.; Waldeck, P.; Küpper, J.-H.; Storsberg, J.; Jung, F. Arthrospira platensis accelerates the formation of an endothelial cell monolayer and protects against endothelial cell detachment after bacterial contamination. Clin. Hemorheol. Microcirc. 2021, 78, 151–161. [Google Scholar] [CrossRef]
- DiNicolantonio, J.J.; Barroso-Aranda, J. Harnessing adenosine A2A receptors as a strategy for suppressing the lung inflammation and thrombotic complications of COVID-19: Potential of pentoxifylline and dipyridamole. Med. Hypotheses 2020, 143, 110051. [Google Scholar] [CrossRef]
- Frazzini, S.; Scaglia, E.; Dell’Anno, M.; Reggi, S.; Panseri, S.; Giromini, C.; Lanzoni, D.; Sgoifo Rossi, C.A.; Rossi, L. Antioxidant and Antimicrobial Activity of Algal and Cyanobacterial Extracts: An In Vitro Study. Antioxidants 2022, 11, 992. [Google Scholar] [CrossRef]
- Ferreira, A.O.; Polonini, H.C.; Dijkers, E.C.F. Postulated Adjuvant Therapeutic Strategies for COVID-19. J. Pers. Med. 2020, 10, 80. [Google Scholar] [CrossRef]
- Krüger-Genge, A.; Fuhrmann, R.; Jung, F.; Franke, R.-P. Morphology of primary human venous endothelial cell cultures before and after culture medium exchange. Clin. Hemorheol. Microcirc. 2015, 61, 151–156. [Google Scholar] [CrossRef] [PubMed]
- Krüger, A.; Fuhrmann, R.; Jung, F.; Franke, R. Influence of the coating with extracellular matrix and the number of cell passages on the endothelialization of a polystyrene surface. Clin. Hemorheol. Microcirc. 2015, 60, 153–161. [Google Scholar] [CrossRef] [PubMed]
- Ke, N.; Wang, X.; Xu, X.; Abassi, Y.A. The xCELLigence system for real-time and label-free monitoring of cell viability. In Mammalian Cell Viability: Methods and Protocols; Humana Press: Totowa, NJ, USA, 2011; pp. 33–43. [Google Scholar]
- Zarrouk, C. Contribution à L’étude d’une Cyanophycée. Ph.D. Thesis, University of Paris, Paris, France, 1966. [Google Scholar]
- Franke, R.-P.; Gräfe, M.; Schnittler, H.; Seiffge, D.; Mittermayer, C.; Drenckhahn, D. Induction of human vascular endothelial stress fibres by fluid shear stress. Nature 1984, 307, 648–649. [Google Scholar] [CrossRef] [PubMed]
- Braune, S.; Küpper, J.H.; Jung, F. Effect of Prostanoids on Human Platelet Function: An Overview. Int. J. Mol. Sci. 2020, 21, 9020. [Google Scholar] [CrossRef] [PubMed]
- Kulshreshtha, A.; Zacharia, A.J.; Jarouliya, U.; Bhadauriya, P.; Prasad, G.B.; Bisen, P.S. Spirulina in health care management. Curr. Pharm. Biotechnol. 2008, 9, 400–405. [Google Scholar] [CrossRef]
- Bhat, V.B.; Madyastha, K. Scavenging of peroxynitrite by phycocyanin and phycocyanobilin from Spirulina platensis: Protection against oxidative damage to DNA. Biochem. Biophys. Res. Commun. 2001, 285, 262–266. [Google Scholar] [CrossRef]
- Nagaoka, S.; Shimizu, K.; Kaneko, H.; Shibayama, F.; Morikawa, K.; Kanamaru, Y.; Otsuka, A.; Hirahashi, T.; Kato, T. A novel protein C-phycocyanin plays a crucial role in the hypocholesterolemic action of Spirulina platensis concentrate in rats. J. Nutr. 2005, 135, 2425–2430. [Google Scholar] [CrossRef]
- Riss, J.; Décordé, K.; Sutra, T.; Delage, M.; Baccou, J.-C.; Jouy, N.; Brune, J.-P.; Oréal, H.; Cristol, J.-P.; Rouanet, J.-M. Phycobiliprotein C-phycocyanin from Spirulina platensis is powerfully responsible for reducing oxidative stress and NADPH oxidase expression induced by an atherogenic diet in hamsters. J. Agric. Food Chem. 2007, 55, 7962–7967. [Google Scholar] [CrossRef]
- Matos, Â.P. The impact of microalgae in food science and technology. J. Am. Oil Chem. Soc. 2017, 94, 1333–1350. [Google Scholar] [CrossRef]
- Balasubramaniam, V.; Gunasegavan, R.D.-N.; Mustar, S.; Lee, J.C.; Mohd Noh, M.F. Isolation of industrial important bioactive compounds from microalgae. Molecules 2021, 26, 943. [Google Scholar] [CrossRef]
- Niccolai, A.; Venturi, M.; Galli, V.; Pini, N.; Rodolfi, L.; Biondi, N.; D’Ottavio, M.; Batista, A.P.; Raymundo, A.; Granchi, L. Development of new microalgae-based sourdough “crostini”: Functional effects of Arthrospira platensis (spirulina) addition. Sci. Rep. 2019, 9, 19433. [Google Scholar] [CrossRef] [PubMed]
- Prete, V.; Abate, A.C.; Di Pietro, P.; De Lucia, M.; Vecchione, C.; Carrizzo, A. Beneficial Effects of Spirulina Supplementation in the Management of Cardiovascular Diseases. Nutrients 2024, 16, 642. [Google Scholar] [CrossRef] [PubMed]
- Dartsch, P.C. Antioxidant potential of selected Spirulina platensis preparations. Phytother. Res. Int. J. Devoted Pharmacol. Toxicol. Eval. Nat. Prod. Deriv. 2008, 22, 627–633. [Google Scholar] [CrossRef] [PubMed]
- Liao, G.; Gao, B.; Gao, Y.; Yang, X.; Cheng, X.; Ou, Y. Phycocyanin inhibits tumorigenic potential of pancreatic cancer cells: Role of apoptosis and autophagy. Sci. Rep. 2016, 6, 34564. [Google Scholar] [CrossRef]
- Kir, D.; Saluja, M.; Modi, S.; Venkatachalam, A.; Schnettler, E.; Roy, S.; Ramakrishnan, S. Cell-permeable iron inhibits vascular endothelial growth factor receptor-2 signaling and tumor angiogenesis. Oncotarget 2016, 7, 65348–65363. [Google Scholar] [CrossRef][Green Version]
- Principe, M.V.; Permigiani, I.S.; Della Vedova, M.C.; Petenatti, E.M.; Pacheco, P.H.; Gil, R.A. Bioaccessibility studies of Fe, Cu and Zn from Spirulina dietary supplements with different excipient composition and dosage form. J. Pharm. Pharmacogn. Res. 2020, 8, 422–433. [Google Scholar] [CrossRef]
- Kejžar, J.; Jagodic Hudobivnik, M.; Nečemer, M.; Ogrinc, N.; Masten Rutar, J.; Poklar Ulrih, N. Characterization of algae dietary supplements using antioxidative potential, elemental composition, and stable isotopes approach. Front. Nutr. 2021, 7, 618503. [Google Scholar] [CrossRef]
- Isani, G.; Niccolai, A.; Andreani, G.; Dalmonte, T.; Bellei, E.; Bertocchi, M.; Tredici, M.R.; Rodolfi, L. Iron speciation and iron binding proteins in Arthrospira platensis grown in media containing different iron concentrations. Int. J. Mol. Sci. 2022, 23, 6283. [Google Scholar] [CrossRef]
- Drenckhahn, D.; Gress, T.; Franke, R. Vascular endothelial stress fibres: Their potential role in protecting the vessel wall from rheological damage. Klin. Wochenschr. 1986, 64, 986–988. [Google Scholar]
- Holland, J.A.; Pritchard, K.; Rogers, N.; Stemerman, M. Perturbation of cultured human endothelial cells by atherogenic levels of low density lipoprotein. Am. J. Pathol. 1988, 132, 474–478. [Google Scholar]
- Franke, R.; Fuhrmann, R.; Schnittler, H.; Petrow, W.; Simons, G. Humane Endothelzellen in vitro unter hydrodynamischer Scherbelastung: Pharmakologische Einflüsse auf Haftfähigkeit und Nonthrombogenität der Gefäßinnenwandzellen. VASA 1988, 24, 11–16. [Google Scholar] [PubMed]
- Raghunandan, S.; Ramachandran, S.; Ke, E.; Miao, Y.; Lal, R.; Chen, Z.B.; Subramaniam, S. Heme oxygenase-1 at the nexus of endothelial cell fate decision under oxidative stress. Front. Cell Dev. Biol. 2021, 9, 702974. [Google Scholar] [CrossRef] [PubMed]
- Zeng, R.; Wang, Y.; Chen, J.; Liu, Q. Furin knockdown inhibited EndMT and abnormal proliferation and migration of endothelial cells. Clin. Hemorheol. Microcirc. 2024, 88, 1–12. [Google Scholar] [CrossRef] [PubMed]
- Akira, S.; Taga, T.; Kishimoto, T. Interleukin-6 in biology and medicine. Adv. Immunol. 1993, 54, 1–78. [Google Scholar]
- Liang, H.; Liu, P.; Yang, M.; Di, P.; Wu, W.; Li, H.; Liu, Y. Effect of alprostadil plus cilostazol on the treatment outcomes and inflammatory factors in patients with lower extremity arteriosclerosis obliterans receiving evidence-based care. Clin. Hemorheol. Microcirc. 2024, 87, 1–9. [Google Scholar] [CrossRef]
- Miyamoto, A.; Hashiguchi, Y.; Obi, T.; Ishiguro, S.; Nishio, A. Ibuprofen or ozagrel increases NO release and l-nitro arginine induces TXA2 release from cultured porcine basilar arterial endothelial cells. Vasc. Pharmacol. 2007, 46, 85–90. [Google Scholar] [CrossRef]
- Nakayama, T. Prostacyclin analogues: Prevention of cardiovascular diseases. Cardiovasc. Hematol. Agents Med. Chem. (Former. Curr. Med. Chem.-Cardiovasc. Hematol. Agents) 2006, 4, 351–359. [Google Scholar] [CrossRef]
- Krüger-Genge, A.; Jung, C.G.H.; Braune, S.; Harb, K.; Westphal, S.; Klopzig, S.; Kupper, J.H.; Jung, F. Effect of Arthrospira powders from different producers on the formation of endothelial cell monolayers. Clin. Hemorheol. Microcirc. 2021, 79, 193–203. [Google Scholar] [CrossRef]
- Lipps, C.; Badar, M.; Butueva, M.; Dubich, T.; Singh, V.V.; Rau, S.; Weber, A.; Kracht, M.; Köster, M.; May, T. Proliferation status defines functional properties of endothelial cells. Cell. Mol. Life Sci. 2017, 74, 1319–1333. [Google Scholar] [CrossRef]
- Hiebl, B.; Cui, J.; Kratz, K.; Frank, O.; Schossig, M.; Richau, K.; Lee, S.; Jung, F.; Lendlein, A. Viability, morphology and function of primary endothelial cells on poly (n-butyl acrylate) networks having elastic moduli comparable to arteries. J. Biomater. Sci. Polym. Ed. 2012, 23, 901–915. [Google Scholar] [CrossRef]
- Jiang, L.; Wang, Y.; Yin, Q.; Liu, G.; Liu, H.; Huang, Y.; Li, B. Phycocyanin: A potential drug for cancer treatment. J. Cancer 2017, 8, 3416–3429. [Google Scholar] [CrossRef] [PubMed]
- Pattarayan, D.; Rajarajan, D.; Sivanantham, A.; Palanichamy, R.; Rajasekaran, S. C-phycocyanin suppresses transforming growth factor-β1-induced epithelial mesenchymal transition in human epithelial cells. Pharmacol. Rep. 2017, 69, 426–431. [Google Scholar] [CrossRef] [PubMed]
- Chu, W.-L.; Lim, Y.-W.; Radhakrishnan, A.K.; Lim, P.-E. Protective effect of aqueous extract from Spirulina platensis against cell death induced by free radicals. BMC Complement. Altern. Med. 2010, 10, 53. [Google Scholar] [CrossRef] [PubMed]
- Li, X.-L.; Xu, G.; Chen, T.; Wong, Y.-S.; Zhao, H.-L.; Fan, R.-R.; Gu, X.-M.; Tong, P.C.; Chan, J.C. Phycocyanin protects INS-1E pancreatic beta cells against human islet amyloid polypeptide-induced apoptosis through attenuating oxidative stress and modulating JNK and p38 mitogen-activated protein kinase pathways. Int. J. Biochem. Cell Biol. 2009, 41, 1526–1535. [Google Scholar] [CrossRef] [PubMed]
- Yang, L.; Mashima, T.; Sato, S.; Mochizuki, M.; Sakamoto, H.; Yamori, T.; Oh-Hara, T.; Tsuruo, T. Predominant suppression of apoptosome by inhibitor of apoptosis protein in non-small cell lung cancer H460 cells: Therapeutic effect of a novel polyarginine-conjugated Smac peptide. Cancer Res. 2003, 63, 831–837. [Google Scholar]
- Jung, C.H.; Braune, S.; Waldeck, P.; Küpper, J.-H.; Petrick, I.; Jung, F. Morphology and Growth of Arthrospira platensis during Cultivation in a Flat-Type Bioreactor. Life 2021, 11, 536. [Google Scholar] [CrossRef]
- Miczke, A.; Szulińska, M.; Hansdorfer-Korzon, R.; Kręgielska-Narożna, M.; Suliburska, J.; Walkowiak, J.; Bogdański, P. Effects of spirulina consumption on body weight, blood pressure, and endothelial function in overweight hypertensive Caucasians: A doubleblind, placebo-controlled, randomized trial. Eur. Rev. Med. Pharmacol. Sci. 2016, 20, 150–156. [Google Scholar]
- Ichimura, M.; Kato, S.; Tsuneyama, K.; Matsutake, S.; Kamogawa, M.; Hirao, E.; Miyata, A.; Mori, S.; Yamaguchi, N.; Suruga, K. Phycocyanin prevents hypertension and low serum adiponectin level in a rat model of metabolic syndrome. Nutr. Res. 2013, 33, 397–405. [Google Scholar] [CrossRef]
- Strasky, Z.; Zemankova, L.; Nemeckova, I.; Rathouska, J.; Wong, R.J.; Muchova, L.; Subhanova, I.; Vanikova, J.; Vanova, K.; Vitek, L. Spirulina platensis and phycocyanobilin activate atheroprotective heme oxygenase-1: A possible implication for atherogenesis. Food Funct. 2013, 4, 1586–1594. [Google Scholar] [CrossRef]
- Paredes-Carbajal, M.; Torres-Durán, P.; Díaz-Zagoya, J.; Mascher, D.; Juárez-Oropeza, M. Effects of dietary Spirulina maxima on endothelium dependent vasomotor responses of rat aortic rings. Life Sci. 1997, 61, PL211–PL219. [Google Scholar] [CrossRef]
- Kim-Shapiro, D.B.; Gladwin, M.T. Nitric oxide pathology and therapeutics in sickle cell disease. Clin. Hemorheol. Microcirc. 2018, 68, 223–237. [Google Scholar] [CrossRef] [PubMed]
- Metaxa, E.; Meng, H.; Kaluvala, S.R.; Szymanski, M.P.; Paluch, R.A.; Kolega, J. Nitric oxide-dependent stimulation of endothelial cell proliferation by sustained high flow. Am. J. Physiol. -Heart Circ. Physiol. 2008, 295, H736–H742. [Google Scholar] [CrossRef]
- Kim, M.Y.; Cheong, S.H.; Lee, J.H.; Kim, M.J.; Sok, D.-E.; Kim, M.R. Spirulina improves antioxidant status by reducing oxidative stress in rabbits fed a high-cholesterol diet. J. Med. Food 2010, 13, 420–426. [Google Scholar] [CrossRef] [PubMed]
- Ponce-Canchihuamán, J.C.; Pérez-Méndez, O.; Hernández-Muñoz, R.; Torres-Durán, P.V.; Juárez-Oropeza, M.A. Protective effects of Spirulina maxima on hyperlipidemia and oxidative-stress induced by lead acetate in the liver and kidney. Lipids Health Dis. 2010, 9, 35. [Google Scholar] [CrossRef] [PubMed]
- Kalafati, M.; Jamurtas, A.Z.; Nikolaidis, M.G.; Paschalis, V.; Theodorou, A.A.; Sakellariou, G.K.; Koutedakis, Y.; Kouretas, D. Ergogenic and antioxidant effects of spirulina supplementation in humans. Med. Sci. Sports Exerc. 2010, 42, 142–151. [Google Scholar] [CrossRef] [PubMed]
- Chamorro, G.; Salazar, M.; Favila, L.; Bourges, H. Pharmacology and toxicology of Spirulina alga. Rev. Investig. Clin. Organo Hosp. Enfermedades Nutr. 1996, 48, 389–399. [Google Scholar]
- Simpore, J.; Kabore, F.; Zongo, F.; Dansou, D.; Bere, A.; Pignatelli, S.; Biondi, D.M.; Ruberto, G.; Musumeci, S. Nutrition rehabilitation of undernourished children utilizing Spiruline and Misola. Nutr. J. 2006, 5, 3. [Google Scholar] [CrossRef]
- Salazar, M.; Martınez, E.; Madrigal, E.; Ruiz, L.; Chamorro, G. Subchronic toxicity study in mice fed Spirulina maxima. J. Ethnopharmacol. 1998, 62, 235–241. [Google Scholar] [CrossRef]
- Grover, P.; Bhatnagar, A.; Kumari, N.; Bhatt, A.N.; Nishad, D.K.; Purkayastha, J. C-Phycocyanin-a novel protein from Spirulina platensis-In vivo toxicity, antioxidant and immunomodulatory studies. Saudi J. Biol. Sci. 2021, 28, 1853–1859. [Google Scholar] [CrossRef]
- Bashir, S.; Sharif, M.K.; Javed, M.S.; Amjad, A.; Khan, A.A.; Shah, F.-u.-H.; Khalil, A.A. Safety assessment of Spirulina platensis through sprague dawley rats modeling. Food Sci. Technol. 2019, 40, 376–381. [Google Scholar] [CrossRef]
- Naidu, K.A.; Sarada, R.; Manoj, G.; Khan, M.; Swamy, M.M.; Viswanatha, S.; Murthy, K.N.; Ravishankar, G.; Srinivas, L. Toxicity assessment of phycocyanin-A blue colorant from blue green alga Spirulina platensis. Food Biotechnol. 1999, 13, 51–66. [Google Scholar] [CrossRef]
- Marles, R.J.; Barrett, M.L.; Barnes, J.; Chavez, M.L.; Gardiner, P.; Ko, R.; Mahady, G.B.; Dog, T.L.; Sarma, N.D.; Giancaspro, G.I. United States pharmacopeia safety evaluation of Spirulina. Crit. Rev. Food Sci. Nutr. 2011, 51, 593–604. [Google Scholar] [CrossRef] [PubMed]
- Gutiérrez-Salmeán, G.; Fabila-Castillo, L.; Chamorro-Cevallos, G. Aspectos nutricionales y toxicológicos de Spirulina (Arthrospira). Nutr. Hosp. 2015, 32, 34–40. [Google Scholar] [PubMed]












| Tests | CI after 85 h (Mean ± Standard Deviation) | p |
|---|---|---|
| Test series 1, n = 8 | ||
| HUVECs + culture medium | 3.9 ± 0.2 | |
| HUVECs + APE 50 µg/mL + culture medium | 3.8 ± 0.2 | p = 0.6 |
| Test series 2, n = 8 | ||
| HUVECs + culture medium | 3.2 ± 0.2 | |
| HUVECs + APE 100 µg/mL + culture medium | 3.9 ± 0.3 | p = 0.0054 |
| Test series 3, n = 8 | ||
| HUVECs + culture medium | 4.3 ± 0.4 | |
| HUVECs + APE 200 µg/mL + culture medium | 3.7 ± 0.3 | p = 0.0001 |
Disclaimer/Publisher’s Note: The statements, opinions and data contained in all publications are solely those of the individual author(s) and contributor(s) and not of MDPI and/or the editor(s). MDPI and/or the editor(s) disclaim responsibility for any injury to people or property resulting from any ideas, methods, instructions or products referred to in the content. |
© 2024 by the authors. Licensee MDPI, Basel, Switzerland. This article is an open access article distributed under the terms and conditions of the Creative Commons Attribution (CC BY) license (https://creativecommons.org/licenses/by/4.0/).
Share and Cite
Krüger-Genge, A.; Harb, K.; Braune, S.; Jung, C.H.G.; Westphal, S.; Bär, S.; Mauger, O.; Küpper, J.-H.; Jung, F. Effects of Arthrospira platensis on Human Umbilical Vein Endothelial Cells. Life 2024, 14, 1253. https://doi.org/10.3390/life14101253
Krüger-Genge A, Harb K, Braune S, Jung CHG, Westphal S, Bär S, Mauger O, Küpper J-H, Jung F. Effects of Arthrospira platensis on Human Umbilical Vein Endothelial Cells. Life. 2024; 14(10):1253. https://doi.org/10.3390/life14101253
Chicago/Turabian StyleKrüger-Genge, Anne, Kudor Harb, Steffen Braune, Conrad H. G. Jung, Sophia Westphal, Stefanie Bär, Olivia Mauger, Jan-Heiner Küpper, and Friedrich Jung. 2024. "Effects of Arthrospira platensis on Human Umbilical Vein Endothelial Cells" Life 14, no. 10: 1253. https://doi.org/10.3390/life14101253
APA StyleKrüger-Genge, A., Harb, K., Braune, S., Jung, C. H. G., Westphal, S., Bär, S., Mauger, O., Küpper, J.-H., & Jung, F. (2024). Effects of Arthrospira platensis on Human Umbilical Vein Endothelial Cells. Life, 14(10), 1253. https://doi.org/10.3390/life14101253
