Anti-Inflammatory and Antifibrotic Potential of Longidaze in Bleomycin-Induced Pulmonary Fibrosis
Abstract
1. Introduction
2. Materials and Methods
2.1. Animals
2.2. Modeling of Experimental Pulmonary Fibrosis
2.3. Study Design and Experimental Groups
2.4. Reagents
2.4.1. Longidaze
2.4.2. Pirfenidone
2.5. The Study of Blood Parameters
2.6. ELISA
2.6.1. IL-6, TGF-β, TNF-α Measurements
2.6.2. Measurements of Hyaluronic Acid, Hydroxyproline, Type I Collagen
2.7. Histological Examination of Lung Tissue
2.7.1. Analysis of Lung Tissue
2.7.2. Analysis of Pulmonary Inflammation
2.7.3. The Quantification of the Area of Connective Tissue in the Lungs
2.8. Statistical Analysis
3. Results
3.1. Mortality Assessment
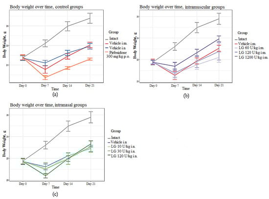
3.2. Body Weight of Mice in Formation of Pulmonary Fibrosis
3.3. Influence of Longidaze on Hematologic Parameters of Blood
3.4. Effects of Longidaze on Bleomycin-Damaged Lungs
3.5. Effects of Longidaze on Perivascular and Peribronchial Inflammation in the Lungs
3.6. Effects of Longidaze on Pulmonary Connective Tissue Content
3.7. Enzyme-Linked Immunosorbent Assay
3.7.1. Levels of IL-6, TNF-α, and Hyaluronic Acid in Bleomycin-Induced Lung Injury
3.7.2. The Concentration of TGF-β1 and Hyaluronic Acid in Bleomycin-Induced Lung Damage on d21
3.7.3. The Collagen I and Hydroxyproline Concentration in Bleomycin-Induced Lung Damage on d21
4. Discussion
5. Conclusions
Supplementary Materials
Author Contributions
Funding
Institutional Review Board Statement
Informed Consent Statement
Data Availability Statement
Acknowledgments
Conflicts of Interest
References
- Bowman, W.S.; Echt, G.A.; Oldham, J.M. Biomarkers in Progressive Fibrosing Interstitial Lung Disease: Optimizing Diagnosis, Prognosis, and Treatment Response. Front. Med. 2021, 10, 680997. [Google Scholar] [CrossRef] [PubMed]
- Abdelhady, R.; Cavalu, S.; Saber, S.; Elmowafy, R.; Morsy, N.E.; Ibrahim, S.; Abdeldaiem, M.S.I.; Samy, M.; Abd-Eldayem, M.A.; Shata, A.; et al. Mirtazapine, an atypical antidepressant, mitigates lung fibrosis by suppressing NLPR3 inflammasome and fibrosis-related mediators in endotracheal bleomycin rat model. Biomed. Pharmacother. 2023, 161, 114553. [Google Scholar] [CrossRef]
- Shukla, A.K.; Misra, S. An overview of post COVID sequelae. J. Basic. Clin. Physiol. Pharmacol. 2022, 33, 715–726. [Google Scholar] [CrossRef] [PubMed]
- Zohny, M.H.; Cavalu, S.; Youssef, M.E.; Kaddah, M.M.Y.; Mourad AA, E.; Gaafar AG, A.; El-Ahwany, E.; Amin, N.A.; Arakeep, H.M.; Shata, A.; et al. Coomassie brilliant blue G-250 dye attenuates bleomycin-induced lung fibrosis by regulating the NF-κB and NLRP3 crosstalk: A novel approach for filling an unmet medical need. Biomed. Pharmacother. 2022, 148, 112723. [Google Scholar] [CrossRef]
- Liu, J.; Gao, D.; Ding, Q.; Zhang, B.; Zhu, W.; Shi, Y. Sparganii Rhizoma alleviates pulmonary fibrosis by inhibiting fibroblasts differentiation and epithelial-mesenchymal transition mediated by TGF-β1/ Smad2/3 pathway. J. Ethnopharmacol. 2023, 309, 116305. [Google Scholar] [CrossRef] [PubMed]
- Xia, J.; Xiong, Z.; Guo, J.; Wang, Y.; Luo, Y.; Sun, Y.; Guo, Z.; Lu, B.; Zhang, T.; Sun, W. Study of paraquat-induced pulmonary fibrosis using biomimetic micro-lung chips. Biofabrication 2022, 7, 15. [Google Scholar] [CrossRef]
- Wynn, T.A. Integrating mechanisms of pulmonary fibrosis. J. Exp. Med. 2011, 208, 1339–1350. [Google Scholar] [CrossRef]
- Ye, Z.; Hu, Y. TGF-β1: Gentlemanly orchestrator in idiopathic pulmonary fibrosis (Review). Int. J. Mol. Med. 2021, 48, 132. [Google Scholar] [CrossRef]
- Gamad, N.; Malik, S.; Suchal, K.; Vasisht, S.; Tomar, A.; Arava, S.; Arya, D.S.; Bhatia, J. Metformin alleviates bleomycin-induced pulmonary fibrosis in rats: Pharmacological effects and molecular mechanisms. Biomed. Pharmacother. 2018, 97, 1544–1553. [Google Scholar] [CrossRef]
- Qi, F.; Lv, Z.D.; Huang, W.D.; Wei, S.C.; Liu, X.M.; Song, W.D. LncRNA TUG1 promotes pulmonary fibrosis progression via up-regulating CDC27 and activating PI3K/Akt/mTOR pathway. Epigenetics 2023, 18, 2195305. [Google Scholar] [CrossRef]
- Pandolfi, L.; Frangipane, V.; Bocca, C.; Marengo, A.; Tarro Genta, E.; Bozzini, S.; Morosini, M.; D’Amato, M.; Vitulo, S.; Monti, M.; et al. Hyaluronic Acid-Decorated Liposomes as Innovative Targeted Delivery System for Lung Fibrotic Cells. Molecules 2019, 24, 3291. [Google Scholar] [CrossRef]
- Spataro, S.; Guerra, C.; Cavalli, A.; Sgrignani, J.; Sleeman, J.; Poulain, L.; Boland, A.; Scapozza, L.; Moll, S.; Prunotto, M. CEMIP (HYBID, KIAA1199): Structure, function and expression in health and disease. FEBS J. 2022, 290, 3946–3962. [Google Scholar] [CrossRef] [PubMed]
- Noble, P.W.; Jiang, D. Matrix Regulation of Lung Injury, Inflammation, and Repair. The Role of Innate Immunity. Proc. Am. Thorac. Soc. 2006, 3, 401–404. [Google Scholar] [CrossRef] [PubMed]
- Kemparaju, K.; Girish, K.S. Snake venom hyaluronidase: A therapeutic target. Cell Biochem. Funct. 2006, 24, 7–12. [Google Scholar] [CrossRef] [PubMed]
- Skurikhin, E.; Madonov, P.; Pershina, O.; Ermakova, N.; Pakhomova, A.; Widera, D.; Pan, E.; Zhukova, M.; Sandrikina, L.; Artamonov, A.; et al. Micellar Hyaluronidase and Spiperone as a Potential Treatment for Pulmonary Fibrosis. Int. J. Mol. Sci. 2021, 22, 5599. [Google Scholar] [CrossRef]
- Sgalla, G.; Franciosa, C.; Simonetti, J.; Richeldi, L. Pamrevlumab for the treatment of idiopathic pulmonary fibrosis. Expert. Opin. Investig. Drugs. 2020, 29, 771–777. [Google Scholar] [CrossRef]
- Lopez-de la Mora, D.A.; Sanchez-Roque, C.; Montoya-Buelna, M.; Sanchez-Enriquez, S.; Lucano-Landeros, S.; Macias-Barragan, J.; Armendariz-Borunda, J. Role and New Insights of Pirfenidone in Fibrotic Diseases. Int. J. Med. Sci. 2015, 12, 840–847. [Google Scholar] [CrossRef]
- Kolb, P.; Upagupta, C.; Vierhout, M.; Ayaub, E.; Bellaye, P.S.; Gauldie, J.; Shimbori, C.; Inman, M.; Ask, K.; Kolb, M.R.J. The importance of interventional timing in the bleomycin model of pulmonary fibrosis. Eur. Respir. J. 2020, 55, 1901105. [Google Scholar] [CrossRef]
- Abidi, A.; Robbe, A.; Kourda, N.; Ben Khamsa, S.; Legrand, A. Nigella sativa, a traditional Tunisian herbal medicine, attenuates bleomycin-induced pulmonary fibrosis in a rat model. Biomed. Pharmacother. 2017, 90, 626–637. [Google Scholar] [CrossRef]
- Jenkins, R.G.; Moore, B.B.; Chambers, R.C.; Eickelberg, O.; Königshoff, M.; Kolb, M.; Laurent, G.J.; Nanthakumar, C.B.; Olman, M.A.; Pardo, A.; et al. An official American Thoracic Society workshop report: Use of animal models for the preclinical assessment of potential therapies for pulmonary fibrosis. Am. J. Respir. Cell Mol. Biol. 2017, 56, 667–679. [Google Scholar] [CrossRef]
- Degryse, A.L.; Tanjore, H.; Xu, X.C.; Polosukhin, V.V.; Jones, B.R.; McMahon, F.B.; Gleaves, L.A.; Blackwell, T.S.; Lawson, W.E. Repetitive intratracheal bleomycin models several features of idiopathic pulmonary fibrosis. Am. J. Physiol. Lung Cell Mol. Physiol. 2010, 299, L442–L452. [Google Scholar] [CrossRef] [PubMed]
- Shenderov, K.; Collins, S.L.; Powell, J.D.; Horton, M.R. Immune dysregulation as a driver of idiopathic pulmonary fibrosis. J. Clin. Investig. 2021, 131, e143226. [Google Scholar] [CrossRef] [PubMed]
- Bitencourt, C.S.; Pereira, P.A.; Ramos, S.G.; Sampaio, S.V.; Arantes, E.C.; Aronoff, D.M.; Faccioli, L.H. Hyaluronidase recruits mesenchymal-like cells to the lung and ameliorates fibrosis. Fibrogenesis Tissue Repair. 2011, 4, 3. [Google Scholar] [CrossRef] [PubMed]
- Thompson, C.B.; Shepard, H.M.; O’Connor, P.M.; Kadhim, S.; Jiang, P.; Osgood, R.J.; Bookbinder, L.H.; Li, X.; Sugarman, B.J.; Connor, R.J.; et al. Enzymatic Depletion of Tumor Hyaluronan Induces Antitumor Responses in Preclinical Animal Models. Mol. Cancer Ther. 2010, 9, 3052–3064. [Google Scholar] [CrossRef]
- Kulchavenya, E.V.; Shevchenko, S.Y.; Cherednichenko, A.G.; Breusov, A.A.; Vinitskiy, A.A. New opportunities of using gialuronidase in chronic prostatitis. Urologiia 2020, 3, 56–62. [Google Scholar] [CrossRef]
- Chuchalin, A.G.; Yablonskiy, P.K.; Rubanik, T.V.; Chernyavskaya, O.A.; Naumov, V.V.; Korneva, L.I.; Kudelya, L.M.; Petukhova, A.Y.; Masalkina, O.V.; Argamakova, Y.V.; et al. Efficacy and safety of bovhyaluronidase azoximer (Longidase) in patients with post-COVID syndrome: Results of an open, prospective, controlled, comparative, multicenter clinical trial. Ann. Clin. Med. Case Rep. 2022, 10, 1–9. [Google Scholar] [CrossRef]
- Ortiz, L.A.; Gambelli, F.; McBride, C.; Gaupp, D.; Baddoo, M.; Kaminski, N.; Phinney, D.G. Mesenchymal stem cell engraftment in lung is enhanced in response to bleomycin exposure and ameliorates its fibrotic effects. Proc. Nat. Acad. Sci. USA 2003, 100, 8407–8411. [Google Scholar] [CrossRef]
- Liu, J.; Shi, G. Pirfenidone activates cannabinoid receptor 2 in a mouse model of bleomycin-induced pulmonary fibrosis. Exp. Ther. Med. 2019, 18, 4241–4248. [Google Scholar] [CrossRef]
- Gueders, M.M.; Bertholet, P.; Perin, F.; Rocks, N.; Maree, R.; Botta, V.; Louis, R.; Foidart, J.M.; Noel, A.; Evrard, B.; et al. A novel formulation of inhaled doxycycline reduces allergen-induced inflammation, hyperrespon: Siveness and remodeling by matrix metalloproteinases and cytokines modulation in a mouse model of asthma. Biochem. Pharmacol. 2008, 75, 514–526. [Google Scholar] [CrossRef]
- Nasrollahi, N.F.; Asadi, A.; Zahri, S.; Abdolmaleki, A. Biosynthesis, characterization and evaluation of supporting properties and biocompatibility of DBM nanoparticles on a tissue-engineered nerve conduit from decellularized sciatic nerve. Regen. Ther. 2020, 14, 315–321. [Google Scholar] [CrossRef]
- Costabel, U.; Albera, C.; Lancaster, L.H.; Lin, C.Y.; Hormel, P.; Hulter, H.N.; Noble, P.W. An Open-Label Study of the Long-Term Safety of Pirfenidone in Patients with Idiopathic Pulmonary Fibrosis (RECAP). Respiration 2017, 94, 408–415. [Google Scholar] [CrossRef] [PubMed]
- Lancaster, L.H.; de Andrade, J.A.; Zibrak, J.D.; Padilla, M.L.; Albera, C.; Nathan, S.D.; Wijsenbeek, M.S.; Stauffer, J.L.; Kirchgaessler, K.U.; Costabel, U. Pirfenidone safety and adverse event management in idiopathic pulmonary fibrosis. Eur. Respir. Rev. Off. J. Eur. Respir. Soc. 2017, 26, 170057. [Google Scholar] [CrossRef] [PubMed]
- Gul, A.; Yang, F.; Xie, C.; Du, W.; Mohammadtursun, N.; Wang, B.; Le, J.; Dong, J. Pulmonary fibrosis model of mice induced by different administration methods of bleomycin. BMC Pulm. Med. 2023, 23, 91. [Google Scholar] [CrossRef]
- Achaiah, A.; Rathnapala, A.; Pereira, A.; Bothwell, H.; Dwivedi, K.; Barker, R.; Iotchkova, V.; Benamore, R.; Hoyles, R.K.; Ho, L.P. Neutrophil lymphocyte ratio as an indicator for disease progression in Idiopathic Pulmonary Fibrosis. BMJ Open Respir. Res. 2022, 9, e001202. [Google Scholar] [CrossRef] [PubMed]
- Cheng, G.; Swaidani, S.; Sharma, M.; Lauer, M.E.; Hascall, V.C.; Aronica, M.A. Correlation of hyaluronan deposition with infiltration of eosinophils and lymphocytes in a cockroach-induced murine model of asthma. Glycobiology 2013, 23, 43–58. [Google Scholar] [CrossRef][Green Version]
- Tanner, L.; Single, A.B.; Bhongir, R.K.V.; Heusel, M.; Mohanty, T.; Karlsson, C.A.Q.; Pan, L.; Clausson, C.M.; Bergwik, J.; Wang, K.; et al. Small-molecule-mediated OGG1 inhibition attenuates pulmonary inflammation and lung fibrosis in a murine lung fibrosis model. Nat. Commun. 2023, 14, 643. [Google Scholar] [CrossRef] [PubMed]
- Webber, J.; Meran, S.; Steadman, R.; Phillips, A. Hyaluronan orchestrates transforming growth factor-beta1-dependent maintenance of myofibroblast phenotype. J. Biol. Chem. 2009, 284, 9083–9092. [Google Scholar] [CrossRef] [PubMed]










Disclaimer/Publisher’s Note: The statements, opinions and data contained in all publications are solely those of the individual author(s) and contributor(s) and not of MDPI and/or the editor(s). MDPI and/or the editor(s) disclaim responsibility for any injury to people or property resulting from any ideas, methods, instructions or products referred to in the content. |
© 2023 by the authors. Licensee MDPI, Basel, Switzerland. This article is an open access article distributed under the terms and conditions of the Creative Commons Attribution (CC BY) license (https://creativecommons.org/licenses/by/4.0/).
Share and Cite
Pakhomova, A.; Pershina, O.; Bochkov, P.; Ermakova, N.; Pan, E.; Sandrikina, L.; Dagil, Y.; Kogai, L.; Grimm, W.-D.; Zhukova, M.; et al. Anti-Inflammatory and Antifibrotic Potential of Longidaze in Bleomycin-Induced Pulmonary Fibrosis. Life 2023, 13, 1932. https://doi.org/10.3390/life13091932
Pakhomova A, Pershina O, Bochkov P, Ermakova N, Pan E, Sandrikina L, Dagil Y, Kogai L, Grimm W-D, Zhukova M, et al. Anti-Inflammatory and Antifibrotic Potential of Longidaze in Bleomycin-Induced Pulmonary Fibrosis. Life. 2023; 13(9):1932. https://doi.org/10.3390/life13091932
Chicago/Turabian StylePakhomova, Angelina, Olga Pershina, Pavel Bochkov, Natalia Ermakova, Edgar Pan, Lubov Sandrikina, Yulia Dagil, Lena Kogai, Wolf-Dieter Grimm, Mariia Zhukova, and et al. 2023. "Anti-Inflammatory and Antifibrotic Potential of Longidaze in Bleomycin-Induced Pulmonary Fibrosis" Life 13, no. 9: 1932. https://doi.org/10.3390/life13091932
APA StylePakhomova, A., Pershina, O., Bochkov, P., Ermakova, N., Pan, E., Sandrikina, L., Dagil, Y., Kogai, L., Grimm, W.-D., Zhukova, M., & Avdeev, S. (2023). Anti-Inflammatory and Antifibrotic Potential of Longidaze in Bleomycin-Induced Pulmonary Fibrosis. Life, 13(9), 1932. https://doi.org/10.3390/life13091932

