Predictive Ability of Perfusion Index for Determining the Success of Adductor Canal Nerve Block for Postoperative Analgesia in Patients Undergoing Unilateral Total Knee Arthroplasty
Abstract
:1. Introduction
2. Materials and Methods
2.1. Study Design and Subjects
2.2. Administration of Adductor Canal Nerve Block
2.3. PI and PVi Assessment
2.4. Anesthetic Management
2.5. Additional Postoperative Analgesia
2.6. Outcome Assessments
2.7. Statistical Analysis
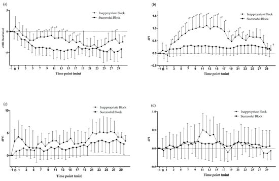
3. Results
4. Discussion
5. Conclusions
Author Contributions
Funding
Institutional Review Board Statement
Informed Consent Statement
Data Availability Statement
Conflicts of Interest
References
- Joshi, G.; Gandhi, K.; Shah, N.; Gadsden, J.; Corman, S.L. Peripheral nerve blocks in the management of postoperative pain: Challenges and opportunities. J. Clin. Anesth. 2016, 35, 524–529. [Google Scholar] [CrossRef] [PubMed]
- Jaeger, P.; Nielsen, Z.J.; Henningsen, M.H.; Hilsted, K.L.; Mathiesen, O.; Dahl, J.B. Adductor canal block versus femoral nerve block and quadriceps strength: A randomized, double-blind, placebo-controlled, crossover study in healthy volunteers. Anesthesiology 2013, 118, 409–415. [Google Scholar] [CrossRef] [PubMed]
- Harikesavan, K.; Chakravarty, R.D.; Maiya, A.G. Influence of early mobilization program on pain, self-reported and performance based functional measures following total knee replacement. J. Clin. Orthop. Trauma 2019, 10, 340–344. [Google Scholar] [CrossRef] [PubMed]
- Jæger, P.; Zaric, D.; Fomsgaard, J.S.; Hilsted, K.L.; Bjerregaard, J.; Gyrn, J.; Mathiesen, O.; Larsen, T.K.; Dahl, J.B. Adductor canal block versus femoral nerve block for analgesia after total knee arthroplasty: A randomized, double-blind study. Reg. Anesth. Pain. Med. 2013, 38, 526–532. [Google Scholar] [CrossRef] [PubMed]
- Hasegawa, M.; Singh, D.; Urits, I.; Pi, M.; Nakasone, C.; Viswanath, O.; Kaye, A.D. Review on Nerve Blocks Utilized for Perioperative Total Knee Arthroplasty Analgesia. Orthop. Rev. 2022, 14, 37405. [Google Scholar] [CrossRef]
- Marian, A.A.; Ranganath, Y.; Bayman, E.O.; Senasu, J.; Brennan, T.J. A Comparison of 2 Ultrasound-Guided Approaches to the Saphenous Nerve Block: Adductor Canal Versus Distal Transsartorial: A Prospective, Randomized, Blinded, Noninferiority Trial. Reg. Anesth. Pain Med. 2015, 40, 623–630. [Google Scholar] [CrossRef]
- Garmon, E.H.; Huecker, M.R. Topical, Local, and Regional Anesthesia and Anesthetics; StatPearls Publishing: Treasure Island, FL, USA, 2023. Available online: https://www.ncbi.nlm.nih.gov/books/NBK430894/ (accessed on 25 August 2023).
- Lal, J.; Bhardwaj, M.; Malik, A.; Bansal, T. A study to evaluate the change in perfusion index as an indicator of successful ultrasound-guided supraclavicular block. Indian J. Anaesth. 2021, 65, 738–743. [Google Scholar] [PubMed]
- Goldman, J.M.; Petterson, M.T.; Kopotic, R.J.; Barker, S.J. Masimo signal extraction pulse oximetry. J. Clin. Monit. Comput. 2000, 16, 475–483. [Google Scholar] [CrossRef] [PubMed]
- Ginosar, Y.; Weiniger, C.F.; Meroz, Y.; Kurz, V.; Bdolah-Abram, T.; Babchenko, A.; Nitzan, M.; Davidson, E.M. Pulse oximeter perfusion index as an early indicator of sympathectomy after epidural anesthesia. Acta Anaesthesiol. Scand. 2009, 53, 1018–1026. [Google Scholar] [CrossRef]
- Galvin, E.M.; Niehof, S.; Verbrugge, S.J.; Maissan, I.; Jahn, A.; Klein, J.; van Bommel, J. Peripheral flow index is a reliable and early indicator of regional block success. Anesth. Analg. 2006, 103, 239–243. [Google Scholar] [CrossRef]
- Abdelnasser, A.; Abdelhamid, B.; Elsonbaty, A.; Hasanin, A.; Rady, A. Predicting successful supraclavicular brachial plexus block using pulse oximeter perfusion index. Br. J. Anaesth. 2017, 119, 276–280. [Google Scholar] [CrossRef]
- Kus, A.; Gurkan, Y.; Gormus, S.K.; Solak, M.; Toker, K. Usefulness of perfusion index to detect the effect of brachial plexus block. J. Clin. Monit. Comput. 2013, 27, 325–328. [Google Scholar] [CrossRef] [PubMed]
- Bergek, C.; Zdolsek, J.H.; Hahn, R.G. Non-invasive blood haemoglobin and plethysmographic variability index during brachial plexus block. Br. J. Anaesth. 2015, 114, 812–817. [Google Scholar] [CrossRef] [PubMed]
- Sebastiani, A.; Philippi, L.; Boehme, S.; Closhen, D.; Schmidtmann, I.; Scherhag, A.; Markstaller, K.; Engelhard, K.; Pestel, G. Perfusion index and plethysmographic variability index in patients with interscalene nerve catheters. Can. J. Anaesth. 2012, 59, 1095–1101. [Google Scholar] [CrossRef]
- Jenstrup, M.T.; Jæger, P.; Lund, J.; Fomsgaard, J.S.; Bache, S.; Mathiesen, O.; Larsen, T.K.; Dahl, J.B. Effects of adductor-canal-blockade on pain and ambulation after total knee arthroplasty: A randomized study. Acta Anaesthesiol. Scand. 2012, 56, 357–364. [Google Scholar] [CrossRef]
- Hales, J.R.; Stephens, F.R.; Fawcett, A.A.; Daniel, K.; Sheahan, J.; Westerman, R.A.; James, S.B. Observations on a new non-invasive monitor of skin blood flow. Clin. Exp. Pharmacol. Physiol. 1989, 16, 403–415. [Google Scholar] [CrossRef]
- Cannesson, M.; Desebbe, O.; Rosamel, P.; Delannoy, B.; Robin, J.; Bastien, O.; Lehot, J.J. Pleth variability index to monitor the respiratory variations in the pulse oximeter plethysmographic waveform amplitude and predict fluid responsiveness in the operating theatre. Br. J. Anaesth. 2008, 101, 200–206. [Google Scholar] [CrossRef]
- Mirski, M.A.; LeDroux, S.N.; Lewin, J.J., 3rd; Thompson, C.B.; Mirski, K.T.; Griswold, M. Validity and reliability of an intuitive conscious sedation scoring tool: The nursing instrument for the communication of sedation. Crit. Care Med. 2010, 38, 1674–1684. [Google Scholar] [CrossRef]
- Breivik, H.; Borchgrevink, P.C.; Allen, S.M.; Rosseland, L.A.; Romundstad, L.; Hals, E.K.; Kvarstein, G.; Stubhaug, A. Assessment of pain. Br. J. Anaesth. 2008, 101, 17–24. [Google Scholar] [CrossRef]
- Fujita, Y.; Mera, H.; Watanabe, T.; Furutani, K.; Kondo, H.O.; Wakai, T.; Kawashima, H.; Ogose, A. Significantly earlier ambulation and reduced risk of near-falls with continuous infusion nerve blocks: A retrospective pilot study of adductor canal block compared to femoral nerve block in total knee arthroplasty. BMC Musculoskelet. Disord. 2022, 23, 768. [Google Scholar] [CrossRef] [PubMed]
- Gebhard, R.E.; Al-Samsam, T.; Greger, J.; Khan, A.; Chelly, J.E. Distal nerve blocks at the wrist for outpatient carpal tunnel surgery offer intraoperative cardiovascular stability and reduce discharge time. Anesth. Analg. 2002, 95, 351–355. [Google Scholar] [CrossRef] [PubMed]
- Thobhani, S.; Scalercio, L.; Elliott, C.E.; Nossaman, B.D.; Thomas, L.C.; Yuratich, D.; Bland, K.; Osteen, K.; Patterson, M.E. Novel Regional Techniques for Total Knee Arthroplasty Promote Reduced Hospital Length of Stay: An Analysis of 106 Patients. Ochsner J. 2017, 17, 233–238. [Google Scholar]
- Fan Chiang, Y.H.; Wang, M.T.; Chan, S.M.; Chen, S.Y.; Wang, M.L.; Hou, J.D.; Tsai, H.C.; Lin, J.A. Motor-Sparing Effect of Adductor Canal Block for Knee Analgesia: An Updated Review and a Subgroup Analysis of Randomized Controlled Trials Based on a Corrected Classification System. Healthcare 2023, 11, 210. [Google Scholar] [CrossRef] [PubMed]
- Gao, F.; Ma, J.; Sun, W.; Guo, W.; Li, Z.; Wang, W. Adductor Canal Block Versus Femoral Nerve Block for Analgesia After Total Knee Arthroplasty: A Systematic Review and Meta-analysis. Clin. J. Pain 2017, 33, 356–368. [Google Scholar] [CrossRef]
- Karkhur, Y.; Mahajan, R.; Kakralia, A.; Pandey, A.P.; Kapoor, M.C. A comparative analysis of femoral nerve block with adductor canal block following total knee arthroplasty: A systematic literature review. J. Anaesthesiol. Clin. Pharmacol. 2018, 34, 433–438. [Google Scholar]
- Vora, M.U.; Nicholas, T.A.; Kassel, C.A.; Grant, S.A. Adductor canal block for knee surgical procedures: Review article. J. Clin. Anesth. 2016, 35, 295–303. [Google Scholar] [CrossRef]
- Metesky, J.-L.; Rosenblatt, M.A. Enhanced Recovery After Total Knee Replacement. In Regional Anesthesia and Acute Pain Medicine: A Problem-Based Learning Approach; Elkassabany, N., Elkassabany, N., Nada, E., Anitescu, M., Elkassabany, N., Elkassabany, N., Nada, E., Anitescu, M., Eds.; Oxford University Press: Oxford, UK, 2023; pp. 329–340. [Google Scholar]
- Hasanin, A.; Mohamed, S.A.R.; El-Adawy, A. Evaluation of perfusion index as a tool for pain assessment in critically ill patients. J. Clin. Monit. Comput. 2017, 31, 961–965. [Google Scholar] [CrossRef]
- Rajan, K.; Dave, N.; Dias, R.; Muneshwar, P.; Kesarkar, N.; Saxena, V. Perfusion index as a predictor of working pediatric caudal block under general anesthesia—A prospective observational study. J. Anaesthesiol. Clin. Pharmacol. 2022, 38, 635–639. [Google Scholar] [CrossRef]
- Uemura, A.; Yagihara, M.; Miyabe, M. Pulse oxymeter perfusion index as a predictor for the effect of pediatric epidural block. Anaesthesiology 2006, 105, A1354. [Google Scholar]
- Mehandale, S.G.; Rajasekhar, P. Perfusion index as a predictor of hypotension following propofol induction—A prospective observational study. Indian J. Anaesth. 2017, 61, 990–995. [Google Scholar] [CrossRef]
- Matsukawa, T.; Kurz, A.; Sessler, D.I.; Bjorksten, A.R.; Merrifield, B.; Cheng, C. Propofol linearly reduces the vasoconstriction and shivering thresholds. Anesthesiology 1995, 82, 1169–1180. [Google Scholar] [CrossRef] [PubMed]
- Lima, A.P.; Beelen, P.; Bakker, J. Use of a peripheral perfusion index derived from the pulse oximetry signal as a noninvasive indicator of perfusion. Crit. Care Med. 2002, 30, 1210–1213. [Google Scholar] [CrossRef]
- Xu, Z.; Zhang, J.; Shen, H.; Zheng, J. Assessment of pulse oximeter perfusion index in pediatric caudal block under basal ketamine anesthesia. Sci. World J. 2013, 2013, 183493. [Google Scholar] [CrossRef] [PubMed]
- Yamazaki, H.; Nishiyama, J.; Suzuki, T. Use of perfusion index from pulse oximetry to determine efficacy of stellate ganglion block. Local. Reg. Anesth. 2012, 5, 9–14. [Google Scholar] [CrossRef]
- Şahin, Ö.F.; Tarıkçı Kılıç, E.; Aksoy, Y.; Kaydu, A.; Gökçek, E. The importance of perfusion index monitoring in evaluating the efficacy of stellate ganglion blockage treatment in Raynaud’s disease. Libyan J. Med. 2018, 13, 1422666. [Google Scholar] [CrossRef] [PubMed]
- Robertson, D.; Biaggioni, I.; Burnstock, G.; Low, P.A.; Paton, J.F.R. Primer on the Autonomic Nervous System, 3rd ed.; Academic Press: San Diego, CA, USA, 2012; pp. 187–191. [Google Scholar]
- Hermanns, H.; Braun, S.; Werdehausen, R.; Werner, A.; Lipfert, P.; Stevens, M.F. Skin temperature after interscalene brachial plexus blockade. Reg. Anesth. Pain. Med. 2007, 32, 481–487. [Google Scholar] [CrossRef]
- Minville, V.; Gendre, A.; Hirsch, J.; Silva, S.; Bourdet, B.; Barbero, C.; Fourcade, O.; Samii, K.; Bouaziz, H. The efficacy of skin temperature for block assessment after infraclavicular brachial plexus block. Anesth. Analg. 2009, 108, 1034–1036. [Google Scholar] [CrossRef]
- Sargın, M.; Uluer, M.S. Evaluation of distal skin temperature and tissue oxygen saturation determined by near-infrared spectroscopy for predicting ultrasound-guided lateral infraclavicular block success. Anesth. Pain Med. 2023, 18, 75–83. [Google Scholar] [CrossRef]
- Binggeli, C.; Corti, R.; Sudano, I.; Luscher, T.F.; Noll, G. Effects of chronic calcium channel blockade on sympathetic nerve activity in hypertension. Hypertension 2002, 39, 892–896. [Google Scholar] [CrossRef]
- Kopp, S.L.; Børglum, J.; Buvanendran, A.; Horlocker, T.T.; Ilfeld, B.M.; Memtsoudis, S.G.; Neal, J.M.; Rawal, N.; Wegener, J.T. Anesthesia and Analgesia Practice Pathway Options for Total Knee Arthroplasty: An Evidence-Based Review by the American and European Societies of Regional Anesthesia and Pain Medicine. Reg. Anesth. Pain. Med. 2017, 42, 683–697. [Google Scholar] [CrossRef]
- Hussain, N.; Brull, R.; Zhou, S.; Schroell, R.; McCartney, C.; Sawyer, T.; Abdallah, F.W. Analgesic benefits of single-shot versus continuous adductor canal block for total knee arthroplasty: A systemic review and meta-analysis of randomized trials. Reg. Anesth. Pain. Med. 2023, 48, 49–60. [Google Scholar] [CrossRef] [PubMed]


| Inclusion Criteria | Exclusion Criteria |
|---|---|
| Planned unilateral total knee arthroplasty | Unwillingness to participate in the study |
| ASA physical status classification score of I or II | General anesthesia |
| Spinal anesthesia | Known allergy to local anesthetics |
| Contraindications for the application of ACB | |
| Localized infection | |
| Neurological disease in the lower extremity | |
| History of cardiovascular disease | |
| Arrhythmia | |
| Anemia | |
| Medication: β-blocker, SSRI | |
| Insufficient cooperation for NRS and pinprick test |
| Successful ACB (N = 33) | Inappropriate ACB (N = 6) | p-Value | |
|---|---|---|---|
| Age | 68.9 ± 5.1 | 71.7 ± 6.4 | 0.253 |
| Gender (female/male) | 30 (90.9)/3 (9.1) | 5 (83.3)/1 (16.7) | 0.585 |
| ASA (I/II) | 7 (21.2)/26 (78.8) | 0 (0.0)/6 (100.0) | 0.224 |
| Height | 153.03 ± 6.44 | 154.71 ± 5.78 | 0.555 |
| Weight | 61.29 ± 9.53 | 65.85 ± 6.51 | 0.270 |
| BMI | 26.16 ± 3.54 | 27.57 ± 3.10 | 0.369 |
| Duration of surgery (min) | 63.5 ± 10.2 | 59.3 ± 7.7 | 0.348 |
| Time Point | AUROC | 95% CI | p-Value | Time-Point | AUROC | 95% CI | p-Value |
|---|---|---|---|---|---|---|---|
| −1 | 0.413 | 0.072–0.753 | 0.534 | 15 | 0.719 | 0.417–1.000 | 0.120 |
| B | 0.556 | 0.233–0.879 | 0.689 | 16 | 0.713 | 0.396–1.000 | 0.131 |
| 1 | 0.650 | 0.408–0.892 | 0.286 | 17 | 0.688 | 0.364–1.000 | 0.183 |
| 2 | 0.556 | 0.237–0.875 | 0.689 | 18 | 0.675 | 0.366–0.984 | 0.214 |
| 3 | 0.594 | 0.292–0.895 | 0.505 | 19 | 0.750 | 0.513–0.987 | 0.076 |
| 4 | 0.706 | 0.410–1.000 | 0.090 | 20 | 0.813 | 0.599–1.000 | 0.026 * |
| 5 | 0.725 | 0.499–0.951 | 0.043 * | 21 | 0.638 | 0.285–0.990 | 0.328 |
| 6 | 0.656 | 0.321–0.992 | 0.267 | 22 | 0.656 | 0.322–0.991 | 0.267 |
| 7 | 0.594 | 0.264–0.923 | 0.505 | 23 | 0.638 | 0.294–0.981 | 0.328 |
| 8 | 0.663 | 0.373–0.952 | 0.248 | 24 | 0.631 | 0.273–0.990 | 0.351 |
| 9 | 0.644 | 0.306–0.982 | 0.307 | 25 | 0.625 | 0.259–0.991 | 0.374 |
| 10 | 0.644 | 0.298–0.990 | 0.307 | 26 | 0.638 | 0.305–0.970 | 0.328 |
| 11 | 0.681 | 0.333–1.000 | 0.198 | 27 | 0.638 | 0.285–0.990 | 0.328 |
| 12 | 0.719 | 0.408–1.000 | 0.120 | 28 | 0.600 | 0.262–0.938 | 0.477 |
| 13 | 0.675 | 0.321–1.000 | 0.214 | 29 | 0.588 | 0.251–0.924 | 0.534 |
| 14 | 0.713 | 0.396–1.000 | 0.131 | 30 | 0.638 | 0.283–0.992 | 0.328 |
| Time Point | Threshold Score | Sensitivity | Specificity | PPV | NPV | Diagnostic Accuracy | ΔAUROC | 95% CI | p-Value |
|---|---|---|---|---|---|---|---|---|---|
| 5 | <0.33 | 81.2 | 60.0 | 92.9 | 33.3 | 0.725 | Ref. | 0.499–0.951 | Ref. |
| 20 | <0.64 | 96.9 | 60.0 | 93.9 | 75.0 | 0.813 | 0.088 | 0.599–1.000 | 0.125 |
| Successful ACB (N = 33) | Inappropriate ACB (N = 6) | p-Value | |
|---|---|---|---|
| PACU | 0.21 ± 0.93 | 0.31 ± 0.88 | 0.809 |
| Post-operation 6 h | 1.39 ± 0.86 | 1.33 ± 0.82 | 0.874 |
| Post-operation 12 h | 1.52 ± 1.06 | 1.33 ± 0.82 | 0.694 |
Disclaimer/Publisher’s Note: The statements, opinions and data contained in all publications are solely those of the individual author(s) and contributor(s) and not of MDPI and/or the editor(s). MDPI and/or the editor(s) disclaim responsibility for any injury to people or property resulting from any ideas, methods, instructions or products referred to in the content. |
© 2023 by the authors. Licensee MDPI, Basel, Switzerland. This article is an open access article distributed under the terms and conditions of the Creative Commons Attribution (CC BY) license (https://creativecommons.org/licenses/by/4.0/).
Share and Cite
Yun, H.J.; Kim, J.B.; Chung, H.S. Predictive Ability of Perfusion Index for Determining the Success of Adductor Canal Nerve Block for Postoperative Analgesia in Patients Undergoing Unilateral Total Knee Arthroplasty. Life 2023, 13, 1865. https://doi.org/10.3390/life13091865
Yun HJ, Kim JB, Chung HS. Predictive Ability of Perfusion Index for Determining the Success of Adductor Canal Nerve Block for Postoperative Analgesia in Patients Undergoing Unilateral Total Knee Arthroplasty. Life. 2023; 13(9):1865. https://doi.org/10.3390/life13091865
Chicago/Turabian StyleYun, Hye Joo, Joong Baek Kim, and Hyun Sik Chung. 2023. "Predictive Ability of Perfusion Index for Determining the Success of Adductor Canal Nerve Block for Postoperative Analgesia in Patients Undergoing Unilateral Total Knee Arthroplasty" Life 13, no. 9: 1865. https://doi.org/10.3390/life13091865
APA StyleYun, H. J., Kim, J. B., & Chung, H. S. (2023). Predictive Ability of Perfusion Index for Determining the Success of Adductor Canal Nerve Block for Postoperative Analgesia in Patients Undergoing Unilateral Total Knee Arthroplasty. Life, 13(9), 1865. https://doi.org/10.3390/life13091865

