Aerobic Exercise Delays Alzheimer’s Disease by Regulating Mitochondrial Proteostasis in the Cerebral Cortex and Hippocampus
Abstract
1. Introduction
2. Materials and Methods
2.1. Animals and Groups
2.2. Training Program
2.3. Morris Water Maze (MWM) Test
2.4. The Step-Down Test
2.5. Sample Preparation and Extraction
2.6. Isolation of Mitochondria from Tissue Samples
2.7. Quantitative Real-Time PCR (Q-PCR)
2.8. Western Blot Analysis
2.9. Data Analysis
3. Results
3.1. Aerobic Exercise Improves Cognitive Function in APP/PS1 Mice by Regulating Mitochondrial Proteostasis
3.1.1. MWM
3.1.2. Step-Down Test
3.2. Effects of Aerobic Exercise on the UPRmt
3.2.1. Effects of Aerobic Exercise on the mRNA Levels of Key Proteins Regulating the UPRmt
3.2.2. Effects of Aerobic Exercise on the Levels of Key Proteins Regulating the UPRmt
3.3. Effects of Aerobic Exercise on Mitochondrial Autophagy
3.3.1. Effects of Aerobic Exercise on the mRNA Levels of Key Proteins Regulating Mitochondrial Autophagy
3.3.2. Effects of Aerobic Exercise on the Levels of Key Proteins Regulating Mitochondrial Autophagy
3.4. Effects of Aerobic Exercise on Mitochondrial Protein Import
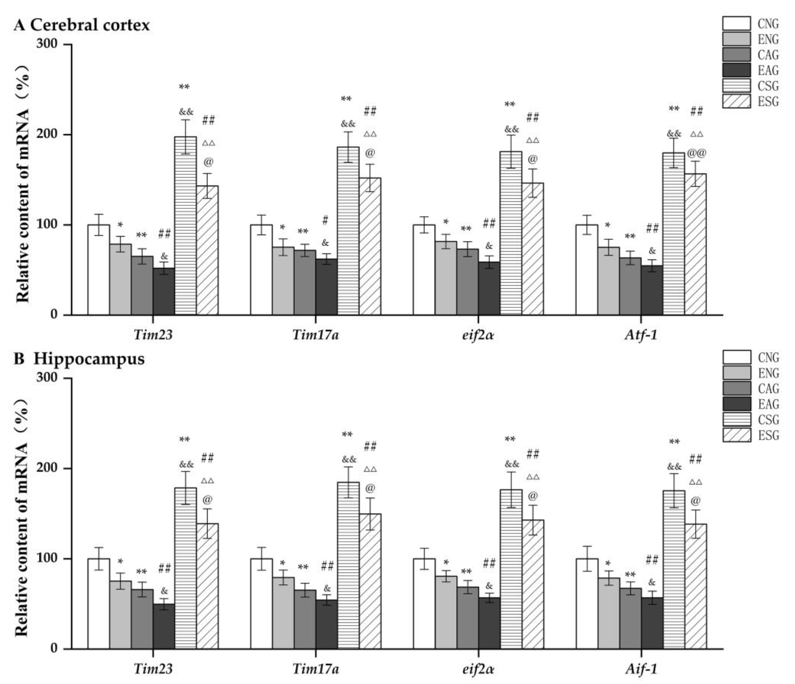
3.4.1. Effects of Aerobic Exercise on the mRNA Levels of Key Proteins Regulating Mitochondrial Protein Import
3.4.2. Effects of Aerobic Exercise on the Level of Key Proteins Regulating Mitochondrial Protein Import
4. Discussion
4.1. Aerobic Exercise Regulates Mitochondrial Proteostasis and Improves Cognitive Function in AD
4.2. Aerobic Exercise Improves AD by Activating UPRmt
4.3. Aerobic Exercise Improves AD by Promoting Mitochondrial Autophagy Levels
4.4. Aerobic Exercise Improves AD by Reducing Mitochondrial Protein Import
5. Conclusions
Author Contributions
Funding
Institutional Review Board Statement
Informed Consent Statement
Data Availability Statement
Acknowledgments
Conflicts of Interest
References
- Breijyeh, Z.; Karaman, R. Comprehensive Review on Alzheimer’s Disease: Causes and Treatment. Molecules 2020, 25, 5789. [Google Scholar] [CrossRef] [PubMed]
- Weidling, I.W.; Swerdlow, R.H. Mitochondria in Alzheimer’s disease and their potential role in Alzheimer’s proteostasis. Exp. Neurol. 2020, 330, 113321. [Google Scholar] [CrossRef] [PubMed]
- Heckmann, B.L.; Teubner, B.J.W.; Tummers, B.; Boada-Romero, E.; Harris, L.; Yang, M.; Guy, C.S.; Zakharenko, S.S.; Green, D.R. LC3-Associated Endocytosis Facilitates β-Amyloid Clearance and Mitigates Neurodegeneration in Murine Alzheimer’s Disease. Cell 2020, 183, 1733–1734. [Google Scholar] [CrossRef] [PubMed]
- Papa, S.; Martino, P.L.; Capitanio, G.; Gaballo, A.; De Rasmo, D.; Signorile, A.; Petruzzella, V. The oxidative phosphorylation system in mammalian mitochondria. Adv. Exp. Med. Biol. 2012, 942, 3–37. [Google Scholar] [CrossRef]
- Pickles, S.; Vigié, P.; Youle, R.J. Mitophagy and Quality Control Mechanisms in Mitochondrial Maintenance. Curr. Biol. 2018, 28, R170–R185. [Google Scholar] [CrossRef]
- Martín-Maestro, P.; Gargini, R.; García, E.; Perry, G.; Avila, J.; García-Escudero, V. Slower Dynamics and Aged Mitochondria in Sporadic Alzheimer’s Disease. Oxid. Med. Cell. Longev. 2017, 2017, 9302761. [Google Scholar] [CrossRef]
- Macdonald, R.; Barnes, K.; Hastings, C.; Mortiboys, H. Mitochondrial abnormalities in Parkinson’s disease and Alzheimer’s disease: Can mitochondria be targeted therapeutically? Biochem. Soc. Trans. 2018, 46, 891–909. [Google Scholar] [CrossRef]
- Sorrentino, V.; Romani, M.; Mouchiroud, L.; Beck, J.S.; Zhang, H.; D’Amico, D.; Moullan, N.; Potenza, F.; Schmid, A.W.; Rietsch, S.; et al. Enhancing mitochondrial proteostasis reduces amyloid-β proteotoxicity. Nature 2017, 552, 187–193. [Google Scholar] [CrossRef]
- Nunnari, J.; Suomalainen, A. Mitochondria: In sickness and in health. Cell 2012, 148, 1145–1159. [Google Scholar] [CrossRef]
- Annesley, S.J.; Fisher, P.R. Mitochondria in Health and Disease. Cells 2019, 8, 680. [Google Scholar] [CrossRef]
- De la Rosa, A.; Olaso-Gonzalez, G.; Arc-Chagnaud, C.; Millan, F.; Salvador-Pascual, A.; García-Lucerga, C.; Blasco-Lafarga, C.; Garcia-Dominguez, E.; Carretero, A.; Correas, A.G.; et al. Physical exercise in the prevention and treatment of Alzheimer’s disease. J. Sport Health Sci. 2020, 9, 394–404. [Google Scholar] [CrossRef]
- Luo, L.; Dai, J.R.; Guo, S.S.; Lu, A.M.; Gao, X.F.; Gu, Y.R.; Zhang, X.F.; Xu, H.D.; Wang, Y.; Zhu, Z.; et al. Lysosomal Proteolysis Is Associated with Exercise-Induced Improvement of Mitochondrial Quality Control in Aged Hippocampus. J. Gerontol. A Biol. Sci. Med. Sci. 2017, 72, 1342–1351. [Google Scholar] [CrossRef]
- Zaychik, Y.; Fainstein, N.; Touloumi, O.; Goldberg, Y.; Hamdi, L.; Segal, S.; Nabat, H.; Zoidou, S.; Grigoriadis, N.; Katz, A.; et al. High-Intensity Exercise Training Protects the Brain Against Autoimmune Neuroinflammation: Regulation of Microglial Redox and Pro-inflammatory Functions. Front. Cell. Neurosci. 2021, 15, 640724. [Google Scholar] [CrossRef]
- Yan, Q.W.; Zhao, N.; Xia, J.; Li, B.X.; Yin, L.Y. Effects of treadmill exercise on mitochondrial fusion and fission in the hippocampus of APP/PS1 mice. Neurosci. Lett. 2019, 701, 84–91. [Google Scholar] [CrossRef]
- Johri, A. Disentangling Mitochondria in Alzheimer’s Disease. Int. J. Mol. Sci. 2021, 22, 1520. [Google Scholar] [CrossRef]
- Memme, J.M.; Erlich, A.T.; Phukan, G.; Hood, D.A. Exercise and mitochondrial health. J. Physiol. 2021, 599, 803–817. [Google Scholar] [CrossRef]
- Nahálková, J. Focus on Molecular Functions of Anti-Aging Deacetylase SIRT3. Biochemistry 2022, 87, 21–34. [Google Scholar] [CrossRef]
- Zhu, L.; Zhou, Q.; He, L.; Chen, L. Mitochondrial unfolded protein response: An emerging pathway in human diseases. Free Radic. Biol. Med. 2021, 163, 125–134. [Google Scholar] [CrossRef]
- Ji, T.; Zhang, X.; Xin, Z.; Xu, B.; Jin, Z.; Wu, J.; Hu, W.; Yang, Y. Does perturbation in the mitochondrial protein folding pave the way for neurodegeneration diseases? Ageing Res. Rev. 2020, 57, 100997. [Google Scholar] [CrossRef]
- Jovaisaite, V.; Auwerx, J. The mitochondrial unfolded protein response—Synchronizing genomes. Curr. Opin. Cell Biol. 2015, 33, 74–81. [Google Scholar] [CrossRef]
- Melber, A.; Haynes, C.M. UPR(mt) regulation and output: A stress response mediated by mitochondrial-nuclear communication. Cell Res. 2018, 28, 281–295. [Google Scholar] [CrossRef] [PubMed]
- Haynes, C.M.; Fiorese, C.J.; Lin, Y.F. Evaluating and responding to mitochondrial dysfunction: The mitochondrial unfolded-protein response and beyond. Trends Cell Biol. 2013, 23, 311–318. [Google Scholar] [CrossRef] [PubMed]
- Feng, R.; Cai, M.; Wang, X.; Zhang, J.; Tian, Z. Early Aerobic Exercise Combined with Hydrogen-Rich Saline as Preconditioning Protects Myocardial Injury Induced by Acute Myocardial Infarction in Rats. Appl. Biochem. Biotechnol. 2019, 187, 663–676. [Google Scholar] [CrossRef] [PubMed]
- Valenzuela, P.L.; Castillo-García, A.; Morales, J.S.; de la Villa, P.; Hampel, H.; Emanuele, E.; Lista, S.; Lucia, A. Exercise benefits on Alzheimer’s disease: State-of-the-science. Ageing Res. Rev. 2020, 62, 101108. [Google Scholar] [CrossRef] [PubMed]
- Han, Y.; Wang, N.; Kang, J.; Fang, Y. β-Asarone improves learning and memory in Aβ(1-42)-induced Alzheimer’s disease rats by regulating PINK1-Parkin-mediated mitophagy. Metab. Brain Dis. 2020, 35, 1109–1117. [Google Scholar] [CrossRef]
- Nouri, K.; Feng, Y.; Schimmer, A.D. Mitochondrial ClpP serine protease-biological function and emerging target for cancer therapy. Cell Death Dis. 2020, 11, 841. [Google Scholar] [CrossRef]
- Ashrafi, G.; Schwarz, T.L. The pathways of mitophagy for quality control and clearance of mitochondria. Cell Death Differ. 2013, 20, 31–42. [Google Scholar] [CrossRef]
- White, E.; Mehnert, J.M.; Chan, C.S. Autophagy, Metabolism, and Cancer. Clin. Cancer Res. 2015, 21, 5037–5046. [Google Scholar] [CrossRef]
- Hansen, K.G.; Herrmann, J.M. Transport of Proteins into Mitochondria. Protein J. 2019, 38, 330–342. [Google Scholar] [CrossRef]
- Kang, Y.; Fielden, L.F.; Stojanovski, D. Mitochondrial protein transport in health and disease. Semin. Cell Dev. Biol. 2018, 76, 142–153. [Google Scholar] [CrossRef]
- Lionaki, E.; Gkikas, I.; Daskalaki, I.; Ioannidi, M.K.; Klapa, M.I.; Tavernarakis, N. Mitochondrial protein import determines lifespan through metabolic reprogramming and de novo serine biosynthesis. Nat. Commun. 2022, 13, 651. [Google Scholar] [CrossRef]
- Kerr, J.S.; Adriaanse, B.A.; Greig, N.H.; Mattson, M.P.; Cader, M.Z.; Bohr, V.A.; Fang, E.F. Mitophagy and Alzheimer’s Disease: Cellular and Molecular Mechanisms. Trends Neurosci. 2017, 40, 151–166. [Google Scholar] [CrossRef]
- Lee, E.G.; Chen, S.; Leong, L.; Tulloch, J.; Yu, C.E. TOMM40 RNA Transcription in Alzheimer’s Disease Brain and Its Implication in Mitochondrial Dysfunction. Genes 2021, 12, 871. [Google Scholar] [CrossRef]








| Week | Running Speed (m/min) | Training Time (min) |
|---|---|---|
| 1–3 | 12 | 30 |
| 4–6 | 13 | 40 |
| 7–9 | 14 | 50 |
| 10–12 | 15 | 60 |
| Gene | Upstream Primer | Downstream Primer |
|---|---|---|
| Hspa9 | 5′-CAAGTCAGATTGGAGCAT-3′ | 5′-CATTGAAATAAGCAGGGA-3′ |
| Hsp60 | 5′-GCACTGGCTCCTCATCTC-3′ | 5′-CACAGTTCTTCCCTTTGG-3′ |
| Hsp10 | 5′-AGTTTCTTCCGCTCTTTG-3′ | 5′-ACTCTTTCCTTTCCCTCC-3′ |
| Yme1l1 | 5′-TTAAGGGACCTTGGATTA-3′ | 5′-AAGGACTGTGCCGAAATA-3′ |
| Clpp | 5′-TCTGTTGTCTCGCCTTGC-3′ | 5′-CCGTCTGCTCCACCACTA-3′ |
| Lonp1 | 5′-TCCTCACCTGCCGCTCAT-3′ | 5′-GAAGACGCCAACATAGGG-3′ |
| Bnip3 | 5′-GCTGAAATAGACACCCAC-3′ | 5′-GACTTGACCAATCCCATA-3′ |
| p62 | 5′-ATGAGTGGATTTAACTTTG-3′ | 5′-CACTTGAGATGGCATTGGT-3′ |
| Parkin | 5′-GTGGTTGCTAAGCGACAG-3′ | 5′-GTTGTTCCAGGTCACAGTTT-3′ |
| Pink1 | 5′-GGCTGATCGAGGAGAAGCA-3′ | 5′-CATCGAGTGTCCAGTGGGT-3′ |
| LC3a | 5′-CAGCATGGTGAGCGTCTC-3′ | 5′-CCGAAGGTTTCTTGGGAG-3′ |
| Tim23 | 5′-ATTGAAGGAAACCCAGAG-3′ | 5′-CTAGAGTATTAGCCCAAAGTG-3′ |
| Tim17A | 5′-CCGAGGAAGTTTGACAGC-3′ | 5′-CACCGCTAGTGATGGAGTT-3′ |
| eIF2α | 5′-CGCCATGTTGCTGAGGTA-3′ | 5′-GCATCGTAGGCACCGTAT-3′ |
| ATF-1 | 5′-ACGGAGCCTTACAGTTGG-3′ | 5′-TCGGGACGAGTATCTGCT-3′ |
| β-Actin | 5′-GTTGACATCCGTAAAGAC-3′ | 5′-TAGGAGCCAGGGCAGTAA-3′ |
Disclaimer/Publisher’s Note: The statements, opinions and data contained in all publications are solely those of the individual author(s) and contributor(s) and not of MDPI and/or the editor(s). MDPI and/or the editor(s) disclaim responsibility for any injury to people or property resulting from any ideas, methods, instructions or products referred to in the content. |
© 2023 by the authors. Licensee MDPI, Basel, Switzerland. This article is an open access article distributed under the terms and conditions of the Creative Commons Attribution (CC BY) license (https://creativecommons.org/licenses/by/4.0/).
Share and Cite
Cui, K.; Li, C.; Fang, G. Aerobic Exercise Delays Alzheimer’s Disease by Regulating Mitochondrial Proteostasis in the Cerebral Cortex and Hippocampus. Life 2023, 13, 1204. https://doi.org/10.3390/life13051204
Cui K, Li C, Fang G. Aerobic Exercise Delays Alzheimer’s Disease by Regulating Mitochondrial Proteostasis in the Cerebral Cortex and Hippocampus. Life. 2023; 13(5):1204. https://doi.org/10.3390/life13051204
Chicago/Turabian StyleCui, Kaiyin, Chaoyang Li, and Guoliang Fang. 2023. "Aerobic Exercise Delays Alzheimer’s Disease by Regulating Mitochondrial Proteostasis in the Cerebral Cortex and Hippocampus" Life 13, no. 5: 1204. https://doi.org/10.3390/life13051204
APA StyleCui, K., Li, C., & Fang, G. (2023). Aerobic Exercise Delays Alzheimer’s Disease by Regulating Mitochondrial Proteostasis in the Cerebral Cortex and Hippocampus. Life, 13(5), 1204. https://doi.org/10.3390/life13051204

