Straightforward Creation of Possibly Prebiotic Complex Mixtures of Thiol-Rich Peptides
Abstract
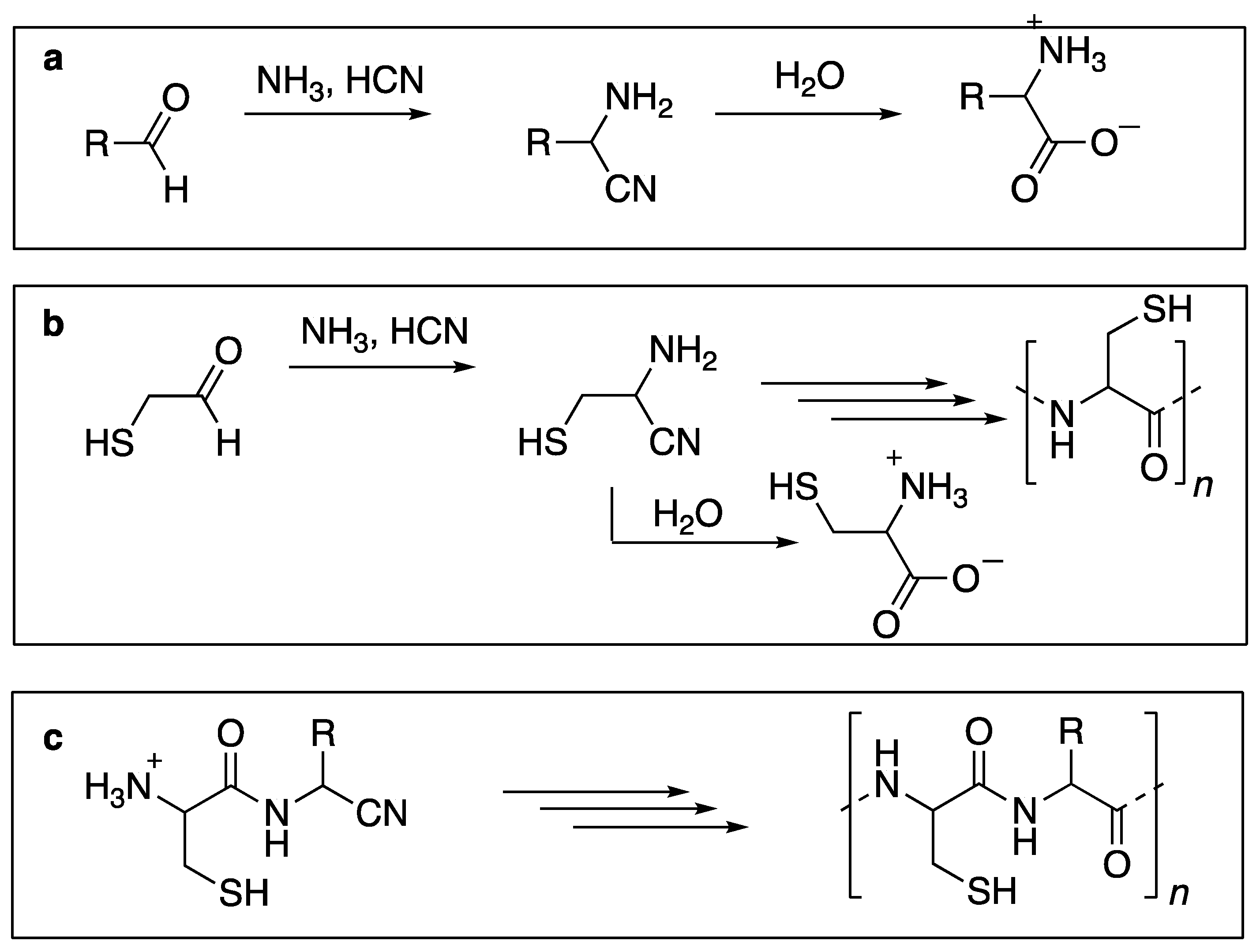
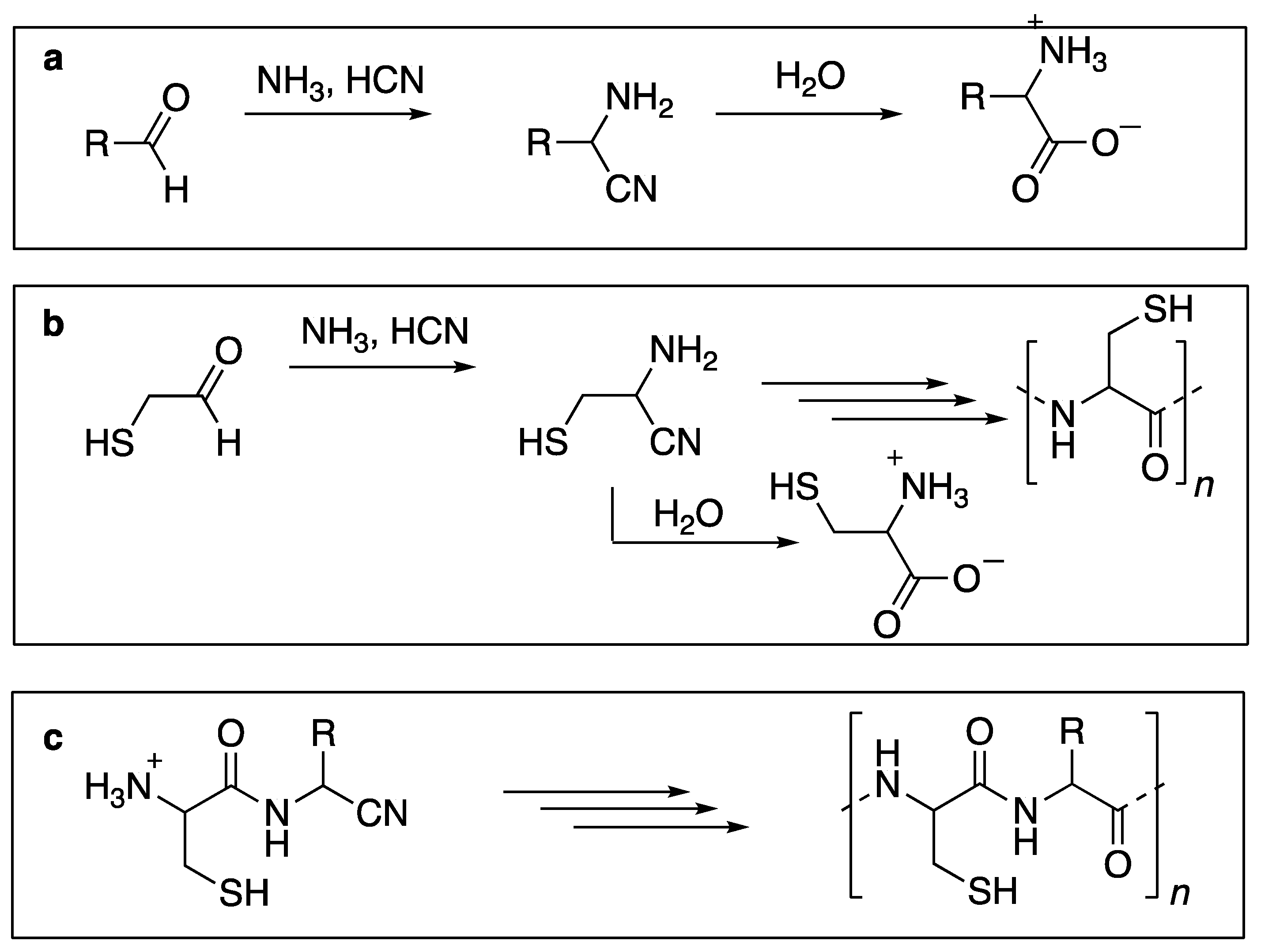
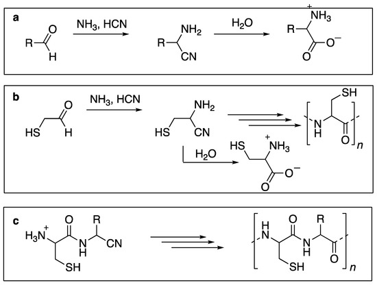
1. Introduction
2. Materials and Methods
- Characterization data for intermediates 7 and 8
- Preparation of nitriles 9 and 10


- Preparation of aminothiol-containing amidonitriles 11 and 12


3. Results
3.1. Formation of Cysteine–Methionine Polymers
3.2. Formation of Cysteine–Alanine Polymers
4. Discussion
Supplementary Materials
Author Contributions
Funding
Institutional Review Board Statement
Informed Consent Statement
Data Availability Statement
Acknowledgments
Conflicts of Interest
References
- McClendon, J.H. The origin of life. Earth-Sci. Rev. 1999, 47, 71–93. [Google Scholar] [CrossRef]
- Eschenmoser, A. The search for the chemistry of life’s origin. Tetrahedron 2007, 63, 12821–12844. [Google Scholar] [CrossRef]
- Wagner, A.J.; Blackmond, D.G. The future of prebiotic chemistry. ACS Cent. Sci. 2016, 2, 775–777. [Google Scholar] [CrossRef] [PubMed]
- Krishnamurthy, R. Giving Rise to Life: Transition from Prebiotic Chemistry to Protobiology. Acc. Chem. Res. 2017, 50, 455–459. [Google Scholar] [CrossRef] [PubMed]
- Fiore, M. (Ed.) Prebiotic Chemistry and life’s Origin’; Chemical Biology N° 20; The Royal Society of Chemistry: London, UK, 2022; ISBN-10:1788017498. [Google Scholar]
- Pinti, D.L. The origin and evolution of the oceans. Lect. Astrobiol. 2005, 1, 83–112. [Google Scholar] [CrossRef]
- Kitadai, N.; Maruyama, S. Origins of building blocks of life: A review. Geosci. Front. 2018, 9, 1117–1153. [Google Scholar] [CrossRef]
- Saha, R.; Pohorille, A.; Chen, I.A. Molecular crowding and early evolution. Orig. Life Evol. Biosph. 2014, 44, 319–324. [Google Scholar] [CrossRef]
- Snyder, L.E.; Buhl, D.; Zuckerman, B.; Palmer, P. Microwave detection of interstellar formaldehyde. Phys. Rev. Lett. 1969, 22, 679–681. [Google Scholar] [CrossRef]
- Orgel, L.E. Self-organizing biochemical cycles. PNAS 2000, 97, 12503–12507. [Google Scholar] [CrossRef]
- Ferris, J.P.; Hagan, W.J., Jr. HCN and chemical evolution: The possible role of cyano compounds in prebiotic synthesis. Tetrahedron 1984, 40, 1093–1120. [Google Scholar] [CrossRef]
- Masamba, W. Petasis vs. Strecker amino acids synthesis: Convergence, divergence and opportunities in organic synthesis. Molecules 2021, 26, 1707. [Google Scholar] [CrossRef] [PubMed]
- Strieker, M.; Tanovic, A.; Marahiel, M.A. Nonribosomal peptide synthetases: Structures and dynamics. Curr. Opin. Struct. Biol. 2010, 20, 234–240. [Google Scholar] [CrossRef] [PubMed]
- Brown, A.M.; Hoopes, S.L.; White, R.H.; Sarisky, C.A. Purine biosynthesis in archaea: Variations on a theme. Biol. Direct 2011, 6, 63. [Google Scholar] [CrossRef] [PubMed]
- Vázquez-Salazar, A.; Becerra, A.; Lazcano, A. Evolutionary convergence in the biosyntheses of imidazole moieties of histidine and purines. PLoS ONE 2018, 13, e0196349. [Google Scholar] [CrossRef]
- He, C.; Hu, B.; Liu, Z.; Wang, Y.; Lv, B.; Yuan, H.; Tian, G.; Feng, S. Some heterocyclic compound formation under hydrothermal conditions: Implications for prebiotic chemistry. Heterocycl. Commun. 2012, 18, 7–10. [Google Scholar] [CrossRef]
- Bartlett, G.J.; Porter, C.T.; Borkakoti, N.; Thornton, J.M. Analysis of catalytic residues in enzymes active sites. J. Mol. Biol. 2002, 324, 105–121. [Google Scholar] [CrossRef]
- Youssef-Saliba, S.; Vallée, Y. Sulfur amino acids: From prebiotic chemistry to biology and vice versa. Synthesis 2021, 53, 2798–2808. [Google Scholar] [CrossRef]
- Shalayel, I.; Youssef-Saliba, S.; Vazart, F.; Ceccarelli, C.; Bridoux, M.; Vallée, Y. Cysteine chemistry in connection with abiogenesis. Eur. J. Org. Chem. 2020, 3019–3023. [Google Scholar] [CrossRef]
- Foden, C.S.; Islam, S.; Fernández-García, C.; Maugeri, L.; Sheppard, T.D.; Powner, M.W. Prebiotic synthesis of cysteine peptides that catalyze peptide ligation in neutral water. Science 2020, 370, 865–869. [Google Scholar] [CrossRef]
- Schloerb, F.P.; Kinzel, W.M.; Swade, D.A.; Irvine, W.M. Observations of HCN in comet P/Halley. Astron. Astrophys. 1987, 187, 475–480. [Google Scholar] [CrossRef]
- Schilke, P.; Menten, K.M. Detection of a second, strong submillimeter HCN laser line toward carbon stars. Astrophys. J. 2003, 583, 446–450. [Google Scholar] [CrossRef]
- Vallée, Y.; Shalayel, I.; Dung, L.K.; Raghavendra Rao, K.V.; de Paepe, G.; Märker, K.; Milet, A. At the very beginning of life on Earth: The thiol rich peptide (TRP) world hypothesis. Int. J. Develop. Biol. 2017, 61, 471–478. [Google Scholar] [CrossRef]
- Danger, G.; Plasson, R.; Pascal, R. Pathways for the formation and evolution of peptides in prebiotic environments. Chem. Soc. Rev. 2012, 41, 5416–5429. [Google Scholar] [CrossRef] [PubMed]
- Shalayel, I.; Leqraa, N.; Blandin, V.; Vallée, Y. Catalysis before enzymes: Thiol-rich peptides as molecular diversity providers on the early Earth. Diversity 2023, 15, 256. [Google Scholar] [CrossRef]
- Ji Ram, V.; Sethi, A.; Nath, M.; Pratap, R. Chapter 5—Five-Membered Heterocycles. In The Chemistry of Heterocycles, Nomenclature and Chemistry of Three-to-Five Membered Heterocycles; Elsevier: Amsterdam, The Netherlands, 2019; pp. 149–478. [Google Scholar] [CrossRef]
- Ruiz-Rodríguez, J.; Miguel, M.; Preciado, S.; Acosta, G.A.; Adan, J.; Bidon-Chanal, A.; Luque, F.J.; Mitjans, F.; Lavilla, R.; Albericio, F. Polythiazole linkers as functional rigid connectors: A new RGD cyclopeptide with enhanced integrin selectivity. Chem. Sci. 2014, 5, 3929–3935. [Google Scholar] [CrossRef]
- Varma, S.J.; Muchowska, K.B.; Chatelain, P.; Moran, J. Native iron reduces CO2 to intermediates and end-products of the acetyl-CoA pathway. Nat. Ecol. Evol. 2018, 2, 1019–1024. [Google Scholar] [CrossRef] [PubMed]
- Martin, W.F. Older than genes: The acetyl CoA pathway and origins. Front. Microbiol. 2020, 11, 817. [Google Scholar] [CrossRef]
- Guthrie, J.P.; Yim, J.C.-H.; Wang, Q. Hydration of nitriles: An examination in terms of no barrier theory. J. Phys. Org. Chem. 2014, 27, 27–37. [Google Scholar] [CrossRef]
- Roger, R.; Neilson, D.G. The chemistry of imidates. Chem. Rev. 1961, 61, 179–211. [Google Scholar] [CrossRef]
- Berteotti, A.; Vacondio, F.; Lodola, A.; Bassi, M.; Silva, C.; Mor, M.; Cavalli, A. Predicting the reactivity of nitrile-carrying compounds with cysteine: A combined computational and experimental study. Med. Chem. Lett. 2014, 5, 501–505. [Google Scholar] [CrossRef]
- Shalayel, I.; Coulibaly, S.; Ly, K.D.; Milet, A.; Vallée, Y. The reaction of aminonitriles with aminothiols: A way to thiol-containing peptides and nitrogen heterocycles in the primitive earth ocean. Life 2018, 8, 47. [Google Scholar] [CrossRef] [PubMed]
- Elkholy, Y.M.; Erian, A.W. An aminoimidazole and its utility in heterocyclic synthesis. Heteroatom Chem. 2003, 14, 503–508. [Google Scholar] [CrossRef]
- Oró, J.; Basile, B.; Cortes, S.; Shen, C.; Yamron, T. The prebiotic synthesis and catalytic properties of imidazoles and other condensing agents. Orig. Life 1984, 14, 237–242. [Google Scholar] [CrossRef] [PubMed]

















| No. of Monomers | No. of Thiazolines | Calculated Molecular wt. [M + Na]+ | Observed Average Mass [M + Na]+ |
|---|---|---|---|
| (Cys-Met)13-Cys-Met-CN | 13 | 3068.5522 | 3068.278 |
| (Cys-Met)13-Cys-Met-CN | 10 | 3122.5981 | 3122.250 |
| (Cys-Met)13-Cys-Met-CN | 9 | 3140.6134 | 3140.684 |
| (Cys-Met)14-Cys-Met-CN | 9 | 3374.9524 | 3375.55 |
| (Cys-Met)15-Cys-Met-CN | 11 | 3573.2608 | 3573.852 |
| (Cys-Met)15-Cys-Met-CN | 8 | 3627.3067 | 3626.564 |
| No. of Monomers | No. of Thiazolines | Chemical Formula | Calculated Molecular wt. [M + H]+ | Observed Average Mass [M + H]+ |
|---|---|---|---|---|
| Cyclo(Cys-Met)3 | 3 | C24H37N6O3S6+ | 649.978 | 649.074 |
| Cyclo(Cys-Met)4 | 4 | C32H49N8O4S8+ | 866.3027 | 865.745 |
| Cyclo(Cys-Met)5 | 5 | C40H61N10O5S10+ | 1082.6264 | 1081.959 |
| Cyclo(Cys-Met)6 | 6 | C48H73N12O6S12+ | 1298.9501 | 1298.332 |
| Cyclo(Cys-Met)7 | 7 | C56H85N14O7S14+ | 1515.2738 | 1515.213 |
| Cyclo(Cys-Met)8 | 8 | C64H97N16O8S16+ | 1731.5975 | 1731.996 |
| No. of Monomers | No. of Thiazolines | Calculated Molecular wt. [M + Na]+ | Observed Average Mass [M + Na]+ |
|---|---|---|---|
| (Cys-Ala)5-Cys-Ala-CN | 5 | 977.2534 | 978.267 |
| (Cys-Ala)5-Cys-Ala-CN | 4 | 995.2687 | 995.765 |
| (Cys-Ala)5-Cys-Ala-CN | 3 | 1013.284 | 1013.111 |
| (Cys-Ala)6-Cys-Ala-CN | 6 | 1133.4589 | 1134.965 |
| (Cys-Ala)6-Cys-Ala-CN | 5 | 1151.4742 | 1152.168 |
Disclaimer/Publisher’s Note: The statements, opinions and data contained in all publications are solely those of the individual author(s) and contributor(s) and not of MDPI and/or the editor(s). MDPI and/or the editor(s) disclaim responsibility for any injury to people or property resulting from any ideas, methods, instructions or products referred to in the content. |
© 2023 by the authors. Licensee MDPI, Basel, Switzerland. This article is an open access article distributed under the terms and conditions of the Creative Commons Attribution (CC BY) license (https://creativecommons.org/licenses/by/4.0/).
Share and Cite
Shalayel, I.; Leqraa, N.; Blandin, V.; Vallée, Y. Straightforward Creation of Possibly Prebiotic Complex Mixtures of Thiol-Rich Peptides. Life 2023, 13, 983. https://doi.org/10.3390/life13040983
Shalayel I, Leqraa N, Blandin V, Vallée Y. Straightforward Creation of Possibly Prebiotic Complex Mixtures of Thiol-Rich Peptides. Life. 2023; 13(4):983. https://doi.org/10.3390/life13040983
Chicago/Turabian StyleShalayel, Ibrahim, Naoual Leqraa, Véronique Blandin, and Yannick Vallée. 2023. "Straightforward Creation of Possibly Prebiotic Complex Mixtures of Thiol-Rich Peptides" Life 13, no. 4: 983. https://doi.org/10.3390/life13040983
APA StyleShalayel, I., Leqraa, N., Blandin, V., & Vallée, Y. (2023). Straightforward Creation of Possibly Prebiotic Complex Mixtures of Thiol-Rich Peptides. Life, 13(4), 983. https://doi.org/10.3390/life13040983

