Sodium Nitroprusside Improves the Growth and Behavior of the Stomata of Silybum marianum L. Subjected to Different Degrees of Drought
Abstract
1. Introduction
2. Materials and Methods
2.1. Experimental Design and Treatments
2.2. Relative Water Content (RWC)
2.3. Determination of Free Proline
2.4. Electrolytic Leakage
2.5. Stomatal Characteristics
2.6. Parameters of Yield Components
2.7. Grain and Biological Yield
2.8. Statistical Analysis
3. Results
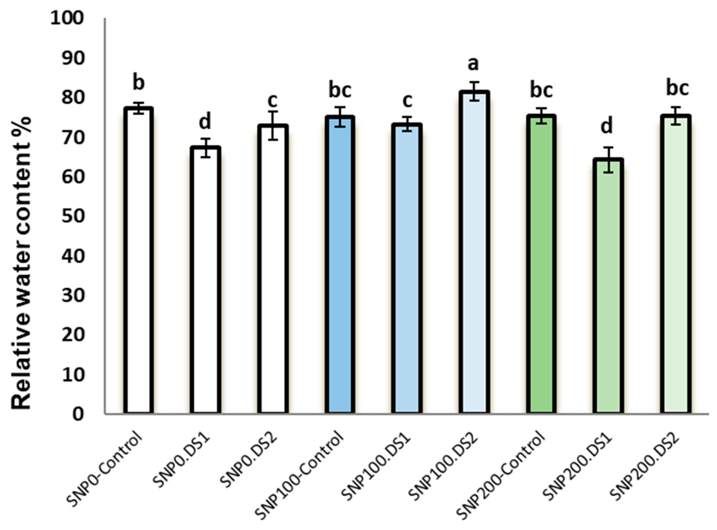
3.1. Relative Water Content (RWC)
3.2. Leaf Electrolyte Leakage
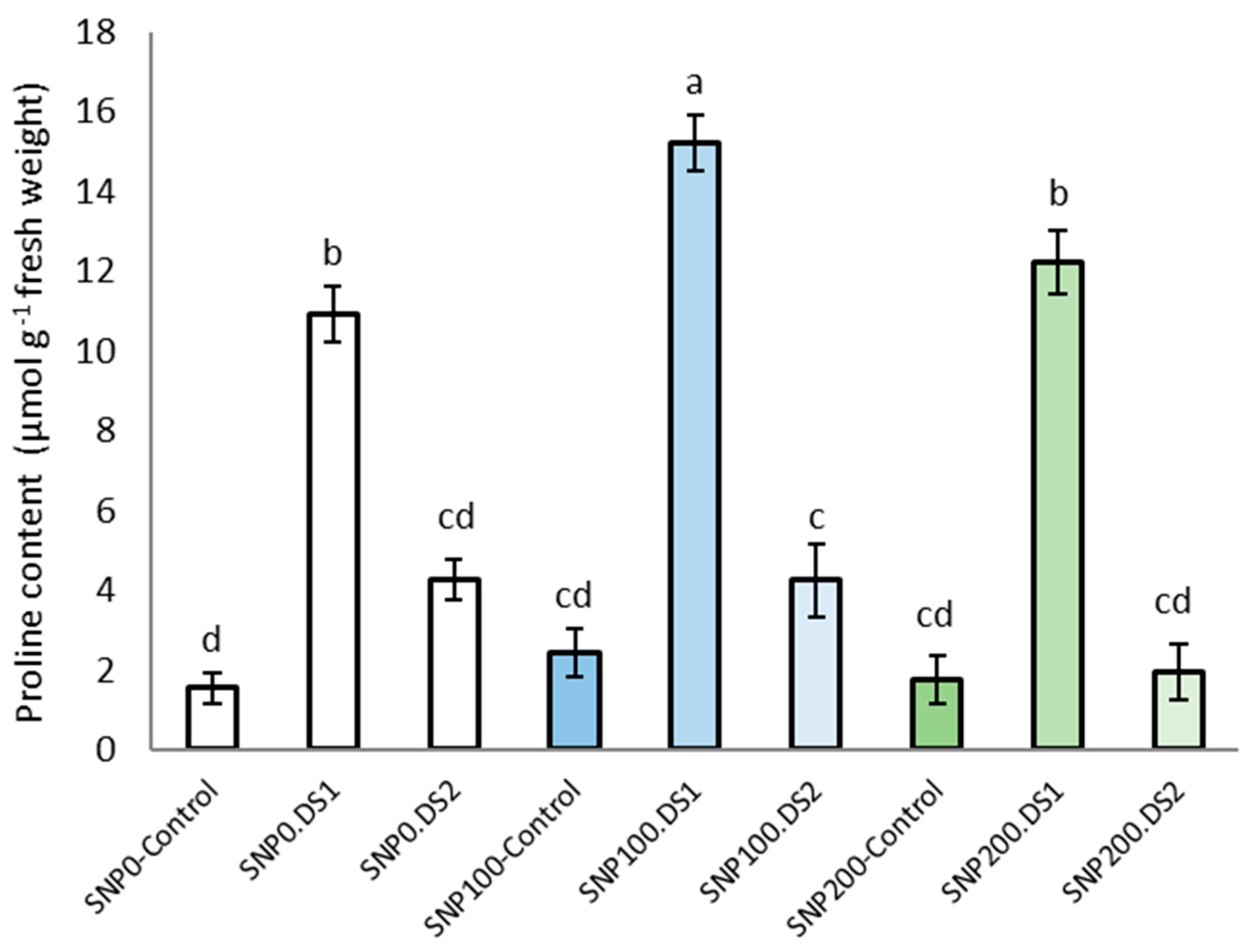
3.3. Free Proline Content
3.4. Stomatal Characteristics
3.5. Yield Components
3.6. Biological and Grain Yield
4. Discussion
5. Conclusions
Author Contributions
Funding
Institutional Review Board Statement
Informed Consent Statement
Data Availability Statement
Conflicts of Interest
References
- Javeed, A.; Ahmed, M.; Sajid, A.R.; Sikandar, A.; Aslam, M.; ul Hassan, T.; Samiullah; Nazir, Z.; Ji, M.S.; Li, C. Comparative Assessment of Phytoconstituents, Antioxidant Activity and Chemical Analysis of Different Parts of Milk Thistle Silybum marianum L. Molecules 2022, 27, 2641. [Google Scholar] [CrossRef]
- Karkanis, A.; Bilalis, D.; Efthimiadou, A. Cultivation of milk thistle (Silybum marianum L. Gaertn.), a medicinal weed. Ind. Crops Prod. 2011, 34, 825–830. [Google Scholar] [CrossRef]
- Aghemo, A.; Alekseeva, O.P.; Angelico, F.; Bakulin, I.G.; Bakulina, N.V.; Bordin, D.; Bueverov, A.O.; Drapkina, O.M.; Gillessen, A.; Kagarmanova, E.M.; et al. Role of silymarin as antioxidant in clinical management of chronic liver diseases: A narrative review. Ann. Med. 2022, 54, 1548–1560. [Google Scholar] [CrossRef] [PubMed]
- Marceddu, R.; Dinolfo, L.; Carrubba, A.; Sarno, M.; Di Miceli, G. Milk Thistle (Silybum Marianum L.) as a Novel Multipurpose Crop for Agriculture in Marginal Environments: A Review. Agronomy 2022, 12, 729. [Google Scholar] [CrossRef]
- Keshavarz Afshar, R.; Hashemi, M.; DaCosta, M.; Spargo, J.; Sadeghpour, A. Biochar Application and Drought Stress Effects on Physiological Characteristics ofSilybum marianum. Commun. Soil Sci. Plant Anal. 2016, 47, 743–752. [Google Scholar] [CrossRef]
- Bayati, P.; Karimmojeni, H.; Razmjoo, J.; Pucci, M.; Abate, G.; Baldwin, T.C.; Mastinu, A. Physiological, Biochemical, and Agronomic Trait Responses of Nigella sativa Genotypes to Water Stress. Horticulturae 2022, 8, 193. [Google Scholar] [CrossRef]
- Biareh, V.; Shekari, F.; Sayfzadeh, S.; Zakerin, H.; Hadidi, E.; Beltrao, J.G.T.; Mastinu, A. Physiological and Qualitative Response of Cucurbita pepo L. to Salicylic Acid under Controlled Water Stress Conditions. Horticulturae 2022, 8, 79. [Google Scholar] [CrossRef]
- Khaleghnezhad, V.; Yousefi, A.R.; Tavakoli, A.; Farajmand, B.; Mastinu, A. Concentrations-dependent effect of exogenous abscisic acid on photosynthesis, growth and phenolic content of Dracocephalum moldavica L. under drought stress. Planta 2021, 253, 127. [Google Scholar] [CrossRef]
- Mahdavi, A.; Moradi, P.; Mastinu, A. Variation in Terpene Profiles of Thymus vulgaris in Water Deficit Stress Response. Molecules 2020, 25, 1091. [Google Scholar] [CrossRef]
- Naservafaei, S.; Sohrabi, Y.; Moradi, P.; Mac Sweeney, E.; Mastinu, A. Biological Response of Lallemantia iberica to Brassinolide Treatment under Different Watering Conditions. Plants 2021, 10, 496. [Google Scholar] [CrossRef]
- Yousefi, A.R.; Rashidi, S.; Moradi, P.; Mastinu, A. Germination and Seedling Growth Responses of Zygophyllum fabago, Salsola kali L. and Atriplex canescens to PEG-Induced Drought Stress. Environments 2020, 7, 107. [Google Scholar] [CrossRef]
- Yousefvand, P.; Sohrabi, Y.; Heidari, G.; Weisany, W.; Mastinu, A. Salicylic Acid Stimulates Defense Systems in Allium hirtifolium Grown under Water Deficit Stress. Molecules 2022, 27, 83. [Google Scholar] [CrossRef] [PubMed]
- Egilla, J.N.; Davies, F.T.; Boutton, T.W. Drought stress influences leaf water content, photosynthesis, and water-use efficiency of Hibiscus rosa-sinensis at three potassium concentrations. Photosynthetica 2005, 43, 135–140. [Google Scholar] [CrossRef]
- Kim, J.Y.; Mahe, A.; Brangeon, J.; Prioul, J.L. A maize vacuolar invertase, IVR2, is induced by water stress. Organ/tissue specificity and diurnal modulation of expression. Plant Physiol. 2000, 124, 71–84. [Google Scholar] [CrossRef]
- Alnusairi, G.S.H.; Mazrou, Y.S.A.; Qari, S.H.; Elkelish, A.A.; Soliman, M.H.; Eweis, M.; Abdelaal, K.; El-Samad, G.A.; Ibrahim, M.F.M.; ElNahhas, N. Exogenous Nitric Oxide Reinforces Photosynthetic Efficiency, Osmolyte, Mineral Uptake, Antioxidant, Expression of Stress-Responsive Genes and Ameliorates the Effects of Salinity Stress in Wheat. Plants 2021, 10, 1693. [Google Scholar] [CrossRef]
- Garcia-Mata, C.; Lamattina, L. Nitric oxide induces stomatal closure and enhances the adaptive plant responses against drought stress. Plant Physiol. 2001, 126, 1196–1204. [Google Scholar] [CrossRef]
- Sallam, A.; Alqudah, A.M.; Dawood, M.F.A.; Baenziger, P.S.; Börner, A. Drought Stress Tolerance in Wheat and Barley: Advances in Physiology, Breeding and Genetics Research. Int. J. Mol. Sci. 2019, 20, 3137. [Google Scholar] [CrossRef]
- ElSayed, A.I.; El-hamahmy, M.A.M.; Rafudeen, M.S.; Mohamed, A.H.; Omar, A.A. The Impact of Drought Stress on Antioxidant Responses and Accumulation of Flavonolignans in Milk Thistle (Silybum marianum (L.) Gaertn). Plants 2019, 8, 611. [Google Scholar] [CrossRef] [PubMed]
- Hatzig, S.V.; Nuppenau, J.-N.; Snowdon, R.J.; Schießl, S.V. Drought stress has transgenerational effects on seeds and seedlings in winter oilseed rape (Brassica napus L.). BMC Plant Biol. 2018, 18, 297. [Google Scholar] [CrossRef] [PubMed]
- Eisa, E.A.; Honfi, P.; Tilly-Mándy, A.; Gururani, M.A. Exogenous Application of Melatonin Alleviates Drought Stress in Ranunculus asiaticus by Improving Its Morphophysiological and Biochemical Attributes. Horticulturae 2023, 9, 262. [Google Scholar] [CrossRef]
- Hasanuzzaman, M.; Nahar, K.; Rahman, A.; Inafuku, M.; Oku, H.; Fujita, M. Exogenous nitric oxide donor and arginine provide protection against short-term drought stress in wheat seedlings. Physiol. Mol. Biol. Plants 2018, 24, 993–1004. [Google Scholar] [CrossRef] [PubMed]
- Anjum, S.A.; Tanveer, M.; Ashraf, U.; Hussain, S.; Shahzad, B.; Khan, I.; Wang, L.C. Effect of progressive drought stress on growth, leaf gas exchange, and antioxidant production in two maize cultivars. Environ. Sci. Pollut. Res. 2016, 23, 17132–17141. [Google Scholar] [CrossRef]
- Hammouda, F.M.; Ismail, S.I.; Hassan, N.M.; Zaki, A.K.; Kamel, A.; Rimpler, H. Evaluation of the silymarin content inSilybum marianum (L.) Gaertn. Cultivated under different agricultural conditions. Phytother. Res. 1993, 7, 90–91. [Google Scholar] [CrossRef]
- Zahir, A.; Abbasi, B.H.; Adil, M.; Anjum, S.; Zia, M.; Ihsan Ul, H. Synergistic effects of drought stress and photoperiods on phenology and secondary metabolism of Silybum marianum. Appl. Biochem. Biotechnol. 2014, 174, 693–707. [Google Scholar] [CrossRef]
- Wahid, A.; Perveen, M.; Gelani, S.; Basra, S.M. Pretreatment of seed with H2O2 improves salt tolerance of wheat seedlings by alleviation of oxidative damage and expression of stress proteins. J. Plant Physiol. 2007, 164, 283–294. [Google Scholar] [CrossRef]
- Misra, A.N.; Misra, M.; Singh, R. Nitric oxide ameliorates stress responses in plants. Plant Soil Environ. 2011, 57, 95–100. [Google Scholar] [CrossRef]
- Gan, L.; Wu, X.; Zhong, Y. Exogenously Applied Nitric Oxide Enhances the Drought Tolerance in Hulless Barley. Plant Prod. Sci. 2015, 18, 52–56. [Google Scholar] [CrossRef]
- Leshem, Y.a.Y.; Wills, R.B.H.; Ku, V.V.-V. Evidence for the function of the free radical gas—nitric oxide (NO•)—as an endogenous maturation and senescence regulating factor in higher plants. Plant Physiol. Biochem. 1998, 36, 825–833. [Google Scholar] [CrossRef]
- Fan, H.; Li, T.; Guan, L.; Li, Z.; Guo, N.; Cai, Y.; Lin, Y. Effects of exogenous nitric oxide on antioxidation and DNA methylation of Dendrobium huoshanense grown under drought stress. Plant Cell Tissue Organ Cult. (PCTOC) 2011, 109, 307–314. [Google Scholar] [CrossRef]
- Simpson, G.G. NO flowering. BioEssays 2005, 27, 239–241. [Google Scholar] [CrossRef]
- Del Castello, F.; Nejamkin, A.; Cassia, R.; Correa-Aragunde, N.; Fernandez, B.; Foresi, N.; Lombardo, C.; Ramirez, L.; Lamattina, L. The era of nitric oxide in plant biology: Twenty years tying up loose ends. Nitric Oxide 2019, 85, 17–27. [Google Scholar] [CrossRef]
- Lau, S.-E.; Hamdan, M.F.; Pua, T.-L.; Saidi, N.B.; Tan, B.C. Plant Nitric Oxide Signaling under Drought Stress. Plants 2021, 10, 360. [Google Scholar] [CrossRef] [PubMed]
- Santisree, P.; Bhatnagar-Mathur, P.; Sharma, K.K. NO to drought-multifunctional role of nitric oxide in plant drought: Do we have all the answers? Plant Sci. 2015, 239, 44–55. [Google Scholar] [CrossRef] [PubMed]
- Farooq, M.; Basra, S.M.A.; Wahid, A.; Rehman, H. Exogenously Applied Nitric Oxide Enhances the Drought Tolerance in Fine Grain Aromatic Rice (Oryza sativaL.). J. Agron. Crop Sci. 2009, 195, 254–261. [Google Scholar] [CrossRef]
- Zangani, E.; Zehtab-Salmasi, S.; Andalibi, B.; Zamani, A.A. Protective Effects of Nitric Oxide on Photosynthetic Stability and Performance of Silybum marianum under Water Deficit Conditions. Agron. J. 2018, 110, 555–564. [Google Scholar] [CrossRef]
- Aghajanlou, F.; Mirdavoudi, H.; Shojaee, M.; Mac Sweeney, E.; Mastinu, A.; Moradi, P. Rangeland Management and Ecological Adaptation Analysis Model for Astragalus curvirostris Boiss. Horticulturae 2021, 7, 67. [Google Scholar] [CrossRef]
- Mirdavoudi, H.; Ghorbanian, D.; Zarekia, S.; Soleiman, J.M.; Ghonchepur, M.; Sweeney, E.M.; Mastinu, A. Ecological Niche Modelling and Potential Distribution of Artemisia sieberi in the Iranian Steppe Vegetation. Land 2022, 11, 2315. [Google Scholar] [CrossRef]
- Moradi, P.; Aghajanloo, F.; Moosavi, A.; Monfared, H.H.; Khalafi, J.; Taghiloo, M.; Khoshzaman, T.; Shojaee, M.; Mastinu, A. Anthropic Effects on the Biodiversity of the Habitats of Ferula gummosa. Sustainability 2021, 13, 7874. [Google Scholar] [CrossRef]
- Schonfeld, M.A.; Johnson, R.C.; Carver, B.F.; Mornhinweg, D.W. Water Relations in Winter Wheat as Drought Resistance Indicators. Crop Sci. 1988, 28, 526–531. [Google Scholar] [CrossRef]
- Bates, L.S.; Waldren, R.P.; Teare, I.D. Rapid determination of free proline for water-stress studies. Plant Soil 1973, 39, 205–207. [Google Scholar] [CrossRef]
- Lutts, S. NaCl-induced Senescence in Leaves of Rice (Oryza sativaL.) Cultivars Differing in Salinity Resistance. Ann. Bot. 1996, 78, 389–398. [Google Scholar] [CrossRef]
- Radoglou, K.M.; Jarvis, P.G. Effects of CO2 Enrichment on Four Poplar Clones. II. Leaf Surface Properties. Ann. Bot. 1990, 65, 627–632. [Google Scholar] [CrossRef]
- Malone, S.R.; Mayeux, H.S.; Johnson, H.B.; Polley, H.W. Stomatal density and aperture length in four plant species grown across a subambient CO2gradient. Am. J. Bot. 1993, 80, 1413–1418. [Google Scholar] [CrossRef]
- Xiong, J.; Zhang, L.; Fu, G.; Yang, Y.; Zhu, C.; Tao, L. Drought-induced proline accumulation is uninvolved with increased nitric oxide, which alleviates drought stress by decreasing transpiration in rice. J. Plant Res. 2012, 125, 155–164. [Google Scholar] [CrossRef]
- Jam, B.J.; Shekari, F.; Andalibi, B.; Fotovat, R.; Jafarian, V.; Najafi, J.; Uberti, D.; Mastinu, A. Impact of Silicon Foliar Application on the Growth and Physiological Traits of Carthamus tinctorius L. Exposed to Salt Stress. Silicon 2022, 15, 1235–1245. [Google Scholar] [CrossRef]
- Ahmad, P.; Abdel Latef, A.A.; Hashem, A.; Abd_Allah, E.F.; Gucel, S.; Tran, L.-S.P. Nitric Oxide Mitigates Salt Stress by Regulating Levels of Osmolytes and Antioxidant Enzymes in Chickpea. Front. Plant Sci. 2016, 7, 347. [Google Scholar] [CrossRef]
- Zangani, E.; Zehtab-Salmasi, S.; Andalibi, B.; Zamani, A.A.; Hashemi, M. Exogenous nitric oxide improved production and content of flavonolignans in milk thistle seeds under water deficit system. Acta Physiol. Plant 2021, 43, 87. [Google Scholar] [CrossRef]
- Dos Santos, T.B.; Ribas, A.F.; de Souza, S.G.H.; Budzinski, I.G.F.; Domingues, D.S. Physiological Responses to Drought, Salinity, and Heat Stress in Plants: A Review. Stresses 2022, 2, 113–135. [Google Scholar] [CrossRef]
- Sousa, L.F.; Menezes-Silva, P.E.; Lourenço, L.L.; Galmés, J.; Guimarães, A.C.; Silva, A.F.; Reis Lima, A.P.; Henning, L.M.M.; Costa, A.C.; Silva, F.G.; et al. Improving water use efficiency by changing hydraulic and stomatal characteristics in soybean exposed to drought: The involvement of nitric oxide. Physiol. Plant. 2019, 168, 576–589. [Google Scholar] [CrossRef]
- Garcia-Mata, C.; Lamattina, L. Abscisic acid (ABA) inhibits light-induced stomatal opening through calcium- and nitric oxide-mediated signaling pathways. Nitric Oxide 2007, 17, 143–151. [Google Scholar] [CrossRef]
- Hao, G.P.; Xing, Y.; Zhang, J.H. Role of nitric oxide dependence on nitric oxide synthase-like activity in the water stress signaling of maize seedling. J. Integr. Plant Biol. 2008, 50, 435–442. [Google Scholar] [CrossRef]
- Imran, M.; Khan, A.L.; Shahzad, R.; Khan, M.A.; Bilal, S.; Khan, A.; Kang, S.M.; Lee, I.J. Exogenous melatonin induces drought stress tolerance by promoting plant growth and antioxidant defence system of soybean plants. AoB Plants 2021, 13, plab026. [Google Scholar] [CrossRef] [PubMed]
- Dien, D.C.; Mochizuki, T.; Yamakawa, T. Effect of various drought stresses and subsequent recovery on proline, total soluble sugar and starch metabolisms in Rice (Oryza sativa L.) varieties. Plant Prod. Sci. 2019, 22, 530–545. [Google Scholar] [CrossRef]
- Omidi, H.; Shams, H.; Seif Sahandi, M.; Rajabian, T. Balangu (Lallemantia sp.) growth and physiology under field drought conditions affecting plant medicinal content. Plant Physiol. Biochem. 2018, 130, 641–646. [Google Scholar] [CrossRef]
- Surender Reddy, P.; Jogeswar, G.; Rasineni, G.K.; Maheswari, M.; Reddy, A.R.; Varshney, R.K.; Kavi Kishor, P.B. Proline over-accumulation alleviates salt stress and protects photosynthetic and antioxidant enzyme activities in transgenic sorghum [Sorghum bicolor (L.) Moench]. Plant Physiol. Biochem. 2015, 94, 104–113. [Google Scholar] [CrossRef] [PubMed]
- Liu, S.; Dong, Y.; Xu, L.; Kong, J. Effects of foliar applications of nitric oxide and salicylic acid on salt-induced changes in photosynthesis and antioxidative metabolism of cotton seedlings. Plant Growth Regul. 2013, 73, 67–78. [Google Scholar] [CrossRef]
- Ben Rejeb, K.; Abdelly, C.; Savouré, A. How reactive oxygen species and proline face stress together. Plant Physiol. Biochem. 2014, 80, 278–284. [Google Scholar] [CrossRef]
- Wang, F.; Zeng, B.; Sun, Z.; Zhu, C. Relationship between proline and Hg2+-induced oxidative stress in a tolerant rice mutant. Arch. Environ. Contam. Toxicol. 2009, 56, 723–731. [Google Scholar] [CrossRef]
- Mohamed, I.A.A.; Shalby, N.; Bai, C.; Qin, M.; Agami, R.A.; Jie, K.; Wang, B.; Zhou, G. Stomatal and Photosynthetic Traits Are Associated with Investigating Sodium Chloride Tolerance of Brassica napus L. Cultivars. Plants 2020, 9, 62. [Google Scholar] [CrossRef]
- Fu, Z.-W.; Wang, Y.-L.; Lu, Y.-T.; Yuan, T.-T. Nitric oxide is involved in stomatal development by modulating the expression of stomatal regulator genes in Arabidopsis. Plant Sci. 2016, 252, 282–289. [Google Scholar] [CrossRef]
- Sami, F.; Faizan, M.; Faraz, A.; Siddiqui, H.; Yusuf, M.; Hayat, S. Nitric oxide-mediated integrative alterations in plant metabolism to confer abiotic stress tolerance, NO crosstalk with phytohormones and NO-mediated post translational modifications in modulating diverse plant stress. Nitric Oxide 2018, 73, 22–38. [Google Scholar] [CrossRef] [PubMed]
- GalmÉS, J.; OchogavÍA, J.M.; Gago, J.; RoldÁN, E.J.; Cifre, J.; Conesa, M.À. Leaf responses to drought stress in Mediterranean accessions ofSolanum lycopersicum: Anatomical adaptations in relation to gas exchange parameters. Plant Cell Environ. 2013, 36, 920–935. [Google Scholar] [CrossRef] [PubMed]
- Sun, L.; Li, Y.; Miao, W.; Piao, T.; Hao, Y.; Hao, F.-S. NADK2 positively modulates abscisic acid-induced stomatal closure by affecting accumulation of H2O2, Ca2+ and nitric oxide in Arabidopsis guard cells. Plant Sci. 2017, 262, 81–90. [Google Scholar] [CrossRef] [PubMed]
- Ning, P.; Wang, J.; Zhou, Y.; Gao, L.; Wang, J.; Gong, C. Adaptional evolution of trichome inCaragana korshinskiito natural drought stress on the Loess Plateau, China. Ecol. Evol. 2016, 6, 3786–3795. [Google Scholar] [CrossRef]
- Mioto, P.T.; Mercier, H. Abscisic acid and nitric oxide signaling in two different portions of detached leaves of Guzmania monostachia with CAM up-regulated by drought. J. Plant Physiol. 2013, 170, 996–1002. [Google Scholar] [CrossRef] [PubMed]
- Imbamba, S.K. Response of Cowpeas to Salinity and (2-Chloroethyl) trimethyl-ammonium Chloride (CCC). Physiol. Plant. 1973, 28, 346–349. [Google Scholar] [CrossRef]
- Bista, D.; Heckathorn, S.; Jayawardena, D.; Mishra, S.; Boldt, J. Effects of Drought on Nutrient Uptake and the Levels of Nutrient-Uptake Proteins in Roots of Drought-Sensitive and -Tolerant Grasses. Plants 2018, 7, 28. [Google Scholar] [CrossRef]
- Zahra, N.; Wahid, A.; Hafeez, M.B.; Alyemeni, M.N.; Shah, T.; Ahmad, P. Plant growth promoters mediated quality and yield attributes of milk thistle (Silybum marianum L.) ecotypes under salinity stress. Sci. Rep. 2021, 11, 3630. [Google Scholar] [CrossRef]
- Banon, S.; Ochoa, J.; Franco, J.A.; Alarcon, J.J.; Sanchez-Banco, M.J. Hardening of oleander seedlings by deficit irrigation and low air humidity. Environ. Exp. Bot. 2006, 56, 36–43. [Google Scholar] [CrossRef]
- Lovisolo, C.; Schubert, A. Effects of water stress on vessel size and xylem hydraulic conductivity in Vitis vinifera L. J. Exp. Bot. 1998, 49, 693–700. [Google Scholar] [CrossRef]
- Hendawy, S.F.; Hussein, M.S.; Youssef, A.-E.A.; El-Mergawi, R.A. Response of Silybum marianum plant to irrigation intervals combined with fertilization. Nusant. Biosci. 1970, 5. [Google Scholar] [CrossRef]
- Belitz, A.R.; Sams, C.E. The Effect of Water Stress on the Growth, Yield, and Flavonolignan Content in Milk Thistle (Silybum Marianum). Acta Hortic. 2007, 756, 259–266. [Google Scholar] [CrossRef]
- Besson-Bard, A.; Pugin, A.; Wendehenne, D. New Insights into Nitric Oxide Signaling in Plants. Annu. Rev. Plant Biol. 2008, 59, 21–39. [Google Scholar] [CrossRef] [PubMed]
- Niazian, M.; Sadat-Noori, S.A.; Abdipour, M. Modeling the seed yield of Ajowan (Trachyspermum ammi L.) using artificial neural network and multiple linear regression models. Ind. Crops Prod. 2018, 117, 224–234. [Google Scholar] [CrossRef]
- Naeem, M.; Naeem, M.S.; Ahmad, R.; Ahmad, R.; Ashraf, M.Y.; Ihsan, M.Z.; Nawaz, F.; Athar, H.-u.-R.; Ashraf, M.; Abbas, H.T.; et al. Improving drought tolerance in maize by foliar application of boron: Water status, antioxidative defense and photosynthetic capacity. Arch. Agron. Soil Sci. 2017, 64, 626–639. [Google Scholar] [CrossRef]
- Petropoulos, S.A.; Daferera, D.; Polissiou, M.G.; Passam, H.C. The effect of water deficit stress on the growth, yield and composition of essential oils of parsley. Sci. Hortic. 2008, 115, 393–397. [Google Scholar] [CrossRef]
- Zangani, E.; Afsahi, K.; Shekari, F.; Mac Sweeney, E.; Mastinu, A. Nitrogen and Phosphorus Addition to Soil Improves Seed Yield, Foliar Stomatal Conductance, and the Photosynthetic Response of Rapeseed (Brassica napus L.). Agriculture 2021, 11, 483. [Google Scholar] [CrossRef]
- Tian, X.; Lei, Y. Nitric oxide treatment alleviates drought stress in wheat seedlings. Biol. Plant. 2006, 50, 775–778. [Google Scholar] [CrossRef]
- Nasiri-Savadkoohi, S. Protective Role of Exogenous Nitric Oxide against Zinc Toxicity in Plantago Major L. Appl. Ecol. Environ. Res. 2017, 15, 511–524. [Google Scholar] [CrossRef]
- Farouk, S.; Arafa, S.A. Mitigation of salinity stress in canola plants by sodium nitroprusside application. Span. J. Agric. Res. 2018, 16, e0802. [Google Scholar] [CrossRef]
- Ghadakchiasl, A.; Mozafari, A.A.; Ghaderi, N. Mitigation by sodium nitroprusside of the effects of salinity on the morpho-physiological and biochemical characteristics of Rubus idaeus under in vitro conditions. Physiol. Mol. Biol. Plants 2017, 23, 73–83. [Google Scholar] [CrossRef] [PubMed]










| Potassium mg kg−1 | Phosphorous mg kg−1 | (EC) dS m−1 | Sand (%) | Silt (%) | Clay (%) | Soil Texture | Organic Carbon (%) | (pH) |
|---|---|---|---|---|---|---|---|---|
| 280 | 55.12 | 4.13 | 38.16 | 32 | 29.84 | (Silty clay loam) | 1.0 | 7.69 |
| S.O.V | df | Mean of Squares | ||||||||
|---|---|---|---|---|---|---|---|---|---|---|
| RWC | Proline Content | Electrolyte Leakage | Stomatal Density at the Bottom Epidermis | Stomatal Density at the Top Epidermis | Stomatal Width at the Bottom Epidermis | Stomatal Width at the Top Epidermis | Stomatal Length at the Bottom Epidermis | Stomatal Length at the Top Epidermis | ||
| Replication | 2 | 18.69 | 2.83 | 34.46 | 869.3 | 1335.2 | 3.93 | 1.43 | 2.27 | 1.7 |
| Sodium nitroprusside (S) | 2 | 34.99 n.s. | 53.97 ** | 415.7 * | 4056.6 * | 1011.7 n.s. | 21.7 ** | 1.67 n.s. | 3.85 n.s. | 11.3 n.s. |
| Main plot error | 4 | 17.08 | 3.39 | 241.8 | 2297.7 | 1234.2 | 8.4 | 6.79 | 18.2 | 7.5 |
| Drought stress (S) | 2 | 366.69 ** | 274.70 ** | 702.1 | 2317.7 * | 178.3 n.s. | 1.39 n.s. | 3.58 n.s. | 35.2 ** | 8.9 n.s. |
| Interaction SNP × S | 4 | 88.32 ** | 18.74 * | 278.4 * | 2671.1 ** | 823.7 n.s. | 8.57 ** | 13.6 * | 25.4 ** | 7.1 n.s. |
| Sub plot error | 12 | 12.22 | 6.21 | 81.5 | 732.3 | 567.6 | 2.5 | 3.8 | 5.3 | 12.9 |
| Total | 26 |
| Deficit Irrigation | SNP (µM) | Stomatal Density at the Bottom Epidermis (Number mm−2) | Stomatal Density at the Top Epidermis (Number mm−2) | Stomatal Width at the Bottom Epidermis (µm) | Stomatal Width at the Top Epidermis (µm) | Stomatal Length at the Bottom Epidermis (µm) | Stomatal Length at the Top Epidermis (µm) |
|---|---|---|---|---|---|---|---|
| 0 | 137.9 b | 90.5 ab | 20.2 bc | 24.4 ab | 35.5 a | 41.5 a | |
| Control | 100 | 143.7 b | 88.5 b | 19.2 c | 23.8 ab | 34.1 ab | 37.8 ab |
| 200 | 139.3 b | 87.7 b | 19.3 c | 23.5 ab | 32.2 ab | 37.5 ab | |
| 0 | 226.5 a | 125.8 a | 22.3 ab | 20.5 b | 25.6 c | 36.9 ab | |
| stem elongation stress | 100 | 127.7 b | 84.4 b | 19.3 c | 25.3 a | 31.8 b | 35.3 b |
| 200 | 148.9 b | 82.5 b | 18.7 c | 22.1 b | 30.7 b | 38.9 ab | |
| 0 | 151.1 b | 97.2 ab | 21.5 b | 21.7 b | 30.9 b | 38.5 ab | |
| anthesis stress | 100 | 117.1 b | 77.1 b | 21.1 b | 218 b | 31.1 b | 37.2 ab |
| 200 | 154.1 b | 110.6 ab | 24.4 a | 26.1 a | 30.9 b | 36.9 ab | |
| LSD | 59.64 | 34.87 | 2.28 | 3.22 | 3.59 | 4.62 |
| Trait | 1 | 2 | 3 | 4 | 5 | 6 |
|---|---|---|---|---|---|---|
| Stomatal density at the bottom epidermis (1) | 1 | |||||
| Stomatal width at the bottom epidermis (2) | n.s. | 1 | ||||
| Stomatal width at the top epidermis (3) | n.s. | n.s. | 1 | |||
| Stomatal length at the bottom epidermis (4) | −0.75 ** | n.s. | n.s. | 1 | ||
| RWC (5) | −0.935 ** | n.s. | n.s. | 0.52 * | 1 | |
| Grain yield (6) | 0.52 * | n.s. | n.s. | n.s. | 0.57 * | 1 |
| S.O.V | df | Mean of Squares | |||||||
|---|---|---|---|---|---|---|---|---|---|
| Plant Height | 1000 GrainWeight | Grains per Capitula | Capitula per Plant | Branch per Plant | Capitula Diameter | Biological Yield | Grain Yield | ||
| Replication | 2 | 1069.02 | 3.18 | 340.4 | 13.61 | 2.59 | 0.03 | 2,408,973 | 106,551.7 |
| Sodium nitroprusside (S) | 2 | 1077.7 n.s. | 3.9 n.s | 770.9 n.s | 15.91 n.s. | 0.52 n.s. | 0.48 n.s. | 1,259,827 n.s. | 378,050.6 * |
| Main plot error | 4 | 631.4 | 1.1 | 471.54 | 7.06 | 0.28 | 0.57 | 6,175,478 | 15,598.5 |
| Drought stress (S) | 2 | 697.7 ** | 14.9 ** | 1090.3 ** | 102.3 ** | 0.82 ** | 14.72 ** | 57,925,097 ** | 795,510.1 ** |
| Interaction SNP × S | 4 | 67.7 n.s | 1.5 n.s. | 397.9 n.s. | 5.06 * | 0.12 n.s. | 1.46 * | 9,953,187 ** | 60,213.1 ** |
| Sub plot error | 12 | 80.8 | 0.8 | 169.5 | 1.51 | 0.09 | 0.23 | 1,882,326 | 10,409.6 |
| Total | 26 |
| Treatments | Plant Height (cm) | 1000 Grain Weight (g) | Grains per Capitula | Capitula per Plant | Branch per Plant | Capitula Diameter (cm) |
|---|---|---|---|---|---|---|
| Normal irrigation | 130.97 a | 22.44 a | 75.75 c | 9.98 a | 5.71 a | 5.04 a |
| Stem elongation stress | 96.61 b | 20.09 b | 106.16 a | 5.49 b | 3.87 b | 4.65 b |
| Anthesis stress | 128.16 a | 20.78 b | 90.25 b | 8.54 a | 5.33 a | 5.03 a |
Disclaimer/Publisher’s Note: The statements, opinions and data contained in all publications are solely those of the individual author(s) and contributor(s) and not of MDPI and/or the editor(s). MDPI and/or the editor(s) disclaim responsibility for any injury to people or property resulting from any ideas, methods, instructions or products referred to in the content. |
© 2023 by the authors. Licensee MDPI, Basel, Switzerland. This article is an open access article distributed under the terms and conditions of the Creative Commons Attribution (CC BY) license (https://creativecommons.org/licenses/by/4.0/).
Share and Cite
Zangani, E.; Angourani, H.R.; Andalibi, B.; Rad, S.V.; Mastinu, A. Sodium Nitroprusside Improves the Growth and Behavior of the Stomata of Silybum marianum L. Subjected to Different Degrees of Drought. Life 2023, 13, 875. https://doi.org/10.3390/life13040875
Zangani E, Angourani HR, Andalibi B, Rad SV, Mastinu A. Sodium Nitroprusside Improves the Growth and Behavior of the Stomata of Silybum marianum L. Subjected to Different Degrees of Drought. Life. 2023; 13(4):875. https://doi.org/10.3390/life13040875
Chicago/Turabian StyleZangani, Esmaeil, Hossein Rabbi Angourani, Babak Andalibi, Saeid Vaezi Rad, and Andrea Mastinu. 2023. "Sodium Nitroprusside Improves the Growth and Behavior of the Stomata of Silybum marianum L. Subjected to Different Degrees of Drought" Life 13, no. 4: 875. https://doi.org/10.3390/life13040875
APA StyleZangani, E., Angourani, H. R., Andalibi, B., Rad, S. V., & Mastinu, A. (2023). Sodium Nitroprusside Improves the Growth and Behavior of the Stomata of Silybum marianum L. Subjected to Different Degrees of Drought. Life, 13(4), 875. https://doi.org/10.3390/life13040875

