Synechococcus elongatus PCC 7942 as a Platform for Bioproduction of Omega-3 Fatty Acids
Abstract
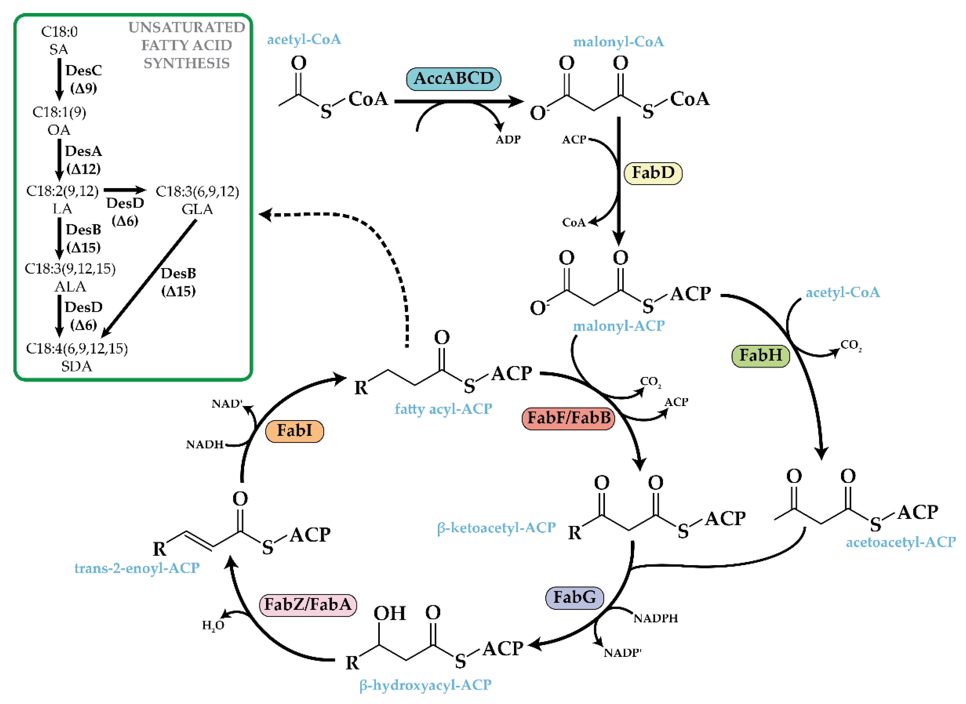
1. Introduction
2. Materials and Methods
2.1. Strains and Cultivation Conditions
2.2. Plasmid Constructions
2.3. Natural Transformation of Se7942
2.4. Culture of Engineered Cyanobacterial Strains for Fatty Acid Production
2.5. Fatty Acid Analysis
2.6. Statistical Analysis
3. Results
3.1. Modification of the Lipid Profile of Se7942 by Overproduction of Enzymes Involved in the Elongation Cycle of the Fatty Acid Synthesis Pathway
3.2. Overproduction of FabG or FabZ Has a Detrimental Effect in the Production of Alpha-Linolenic Acid in Se7942
3.3. Overproduction of FabF and DesABD in a Se7942 Derivative Strain Leads to High Stearidonic Acid Yields
3.4. Stearidonic Acid Production Is Improved by Increasing the Induction Time of the Genes Involved in Its Synthesis
4. Discussion
5. Conclusions
Supplementary Materials
Author Contributions
Funding
Institutional Review Board Statement
Informed Consent Statement
Data Availability Statement
Acknowledgments
Conflicts of Interest
References
- Saini, R.K.; Prasad, P.; Sreedhar, R.V.; Akhilender Naidu, K.; Shang, X.; Keum, Y.S. Omega-3 polyunsaturated fatty acids (PUFAs): Emerging plant and picrobial sources, oxidative stability, bioavailability, and health benefits-a review. Antioxidants 2021, 10, 1627. [Google Scholar] [CrossRef] [PubMed]
- Shahidi, F.; Ambigaipalan, P. Omega-3 polyunsaturated fatty acids and their health benefits. Annu. Rev. Food Sci. Technol. 2018, 9, 345–381. [Google Scholar] [CrossRef] [PubMed]
- Prasad, P.; Anjali, P.; Sreedhar, R.V. Plant-based stearidonic acid as sustainable source of omega-3 fatty acid with functional outcomes on human health. Crit. Rev. Food Sci. Nutr. 2021, 61, 1725–1737. [Google Scholar] [CrossRef] [PubMed]
- Elagizi, A.; Lavie, C.J.; O’Keefe, E.; Marshall, K.; O’Keefe, J.H.; Milani, R.V. An update on omega-3 polyunsaturated fatty acids and cardiovascular health. Nutrients 2021, 13, 204. [Google Scholar] [CrossRef] [PubMed]
- Deacon, G.; Kettle, C.; Hayes, D.; Dennis, C.; Tucci, J. Omega 3 polyunsaturated fatty acids and the treatment of depression. Crit. Rev. Food Sci. Nutr. 2017, 57, 212–223. [Google Scholar] [CrossRef] [PubMed]
- Liao, Y.; Xie, B.; Zhang, H.; He, Q.; Guo, L.; Subramanieapillai, M.; Fan, B.; Lu, C.; McIntyre, R.S. Efficacy of omega-3 PUFAs in depression: A meta-analysis. Transl. Psychiatry 2019, 9, 190. [Google Scholar] [CrossRef] [PubMed]
- Cutuli, D. Functional and structural benefits induced by omega-3 polyunsaturated fatty acids during aging. Curr. Neuropharmacol. 2017, 15, 534–542. [Google Scholar] [CrossRef]
- Joffre, C.; Dinel, A.L.; Chataigner, M.; Pallet, V.; Laye, S. n-3 polyunsaturated fatty acids and their derivates reduce neuroinflammation during aging. Nutrients 2020, 12, 647. [Google Scholar] [CrossRef]
- Kannan, N.; Rao, A.S.; Nair, A. Microbial production of omega-3 fatty acids: An overview. J. Appl. Microbiol. 2021, 131, 2114–2130. [Google Scholar] [CrossRef]
- Galán, B.; Santos-Merino, M.; Nogales, J.; de la Cruz, F.; García, J.L. Microbial oils as nutraceuticals and animal feeds. In Health Consequences of Microbial Interactions with Hydrocarbons, Oils, and Lipids; Goldfine, H., Ed.; Springer International Publishing: Cham, Switzerland, 2019; pp. 1–45. [Google Scholar]
- Venugopalan, V.K.; Gopakumar, L.R.; Kumaran, A.K.; Chatterjee, N.S.; Soman, V.; Peeralil, S.; Mathew, S.; McClements, D.J.; Nagarajarao, R.C. Encapsulation and protection of omega-3-rich fish oils using food-grade delivery systems. Foods 2021, 10, 1566. [Google Scholar] [CrossRef]
- Lane, K.; Derbyshire, E.; Li, W.; Brennan, C. Bioavailability and potential uses of vegetarian sources of omega-3 fatty acids: A review of the literature. Crit. Rev. Food Sci. Nutr. 2014, 54, 572–579. [Google Scholar] [CrossRef] [PubMed]
- Saini, R.K.; Keum, Y.S. Omega-3 and omega-6 polyunsaturated fatty acids: Dietary sources, metabolism, and significance-A review. Life Sci. 2018, 203, 255–267. [Google Scholar] [CrossRef] [PubMed]
- Amiri-Jami, M.; Abdelhamid, A.G.; Hazaa, M.; Kakuda, Y.; Griffths, M.W. Recombinant production of omega-3 fatty acids by probiotic Escherichia coli Nissle 1917. FEMS Microbiol. Lett. 2015, 362, fnv166. [Google Scholar] [CrossRef]
- Amiri-Jami, M.; Griffiths, M.W. Recombinant production of omega-3 fatty acids in Escherichia coli using a gene cluster isolated from Shewanella baltica MAC1. J. Appl. Microbiol. 2010, 109, 1897–1905. [Google Scholar] [CrossRef]
- Peng, Y.F.; Chen, W.C.; Xiao, K.; Xu, L.; Wang, L.; Wan, X. DHA production in Escherichia coli by expressing reconstituted key genes of polyketide synthase pathway from marine bacteria. PLoS ONE 2016, 11, e0162861. [Google Scholar] [CrossRef]
- Thiyagarajan, S.; Khandelwal, P.; Senthil, N.; Vellaikumar, S.; Arumugam, M.; Dubey, A.A.; Kathiresan, S. Heterologous production of polyunsaturated fatty acids in E. coli using Δ5-desaturase gene from microalga Isochrysis sp. Appl. Biochem. Biotechnol. 2021, 193, 869–883. [Google Scholar] [CrossRef]
- Giner-Robles, L.; Lazaro, B.; de la Cruz, F.; Moncalian, G. fabH deletion increases DHA production in Escherichia coli expressing Pfa genes. Microb. Cell Factories 2018, 17, 88. [Google Scholar] [CrossRef] [PubMed]
- Finco, A.M.O.; Mamani, L.D.G.; Carvalho, J.C.; de Melo Pereira, G.V.; Thomaz-Soccol, V.; Soccol, C.R. Technological trends and market perspectives for production of microbial oils rich in omega-3. Crit. Rev. Biotechnol. 2017, 37, 656–671. [Google Scholar] [CrossRef]
- Santos-Merino, M.; Singh, A.K.; Ducat, D.C. New applications of synthetic biology tools for cyanobacterial metabolic engineering. Front. Bioeng. Biotechnol. 2019, 7, 33. [Google Scholar] [CrossRef]
- Prabha, S.; Vijay, A.K.; Paul, R.R.; George, B. Cyanobacterial biorefinery: Towards economic feasibility through the maximum valorization of biomass. Sci. Total Environ. 2022, 814, 152795. [Google Scholar] [CrossRef]
- Los, D.A.; Mironov, K.S. Modes of fatty acid desaturation in cyanobacteria: An update. Life 2015, 5, 554–567. [Google Scholar] [CrossRef] [PubMed]
- Mironov, K.S.; Sidorov, R.A.; Trofimova, M.S.; Bedbenov, V.S.; Tsydendambaev, V.D.; Allakhverdiev, S.I.; Los, D.A. Light-dependent cold-induced fatty acid unsaturation, changes in membrane fluidity, and alterations in gene expression in Synechocystis. Biochim Biophys Acta 2012, 1817, 1352–1359. [Google Scholar] [CrossRef] [PubMed]
- Yang, W.; Wang, F.; Liu, L.N.; Sui, N. Responses of membranes and the photosynthetic apparatus to salt atress in cyanobacteria. Front Plant Sci 2020, 11, 713. [Google Scholar] [CrossRef] [PubMed]
- Chen, G.; Chen, J.; He, Q.; Zhang, Y.; Peng, Z.; Fan, Z.; Bian, F.; Yu, J.; Qin, S. Functional expression of the Arachis hypogaea L. Acyl-ACP thioesterases AhFatA and AhFatB enhances fatty acid production in Synechocystis sp. PCC6803. Energies 2017, 10, 2093. [Google Scholar] [CrossRef]
- Chen, G.; Qu, S.; Wang, Q.; Bian, F.; Peng, Z.; Zhang, Y.; Ge, H.; Yu, J.; Xuan, N.; Bi, Y.; et al. Transgenic expression of delta-6 and delta-15 fatty acid desaturases enhances omega-3 polyunsaturated fatty acid accumulation in Synechocystis sp. PCC6803. Biotechnol. Biofuels 2014, 7, 32. [Google Scholar] [CrossRef]
- Dong, X.; He, Q.; Peng, Z.; Yu, J.; Bian, F.; Li, Y.; Bi, Y. Production of γ-linolenic acid and stearidonic acid by Synechococcus sp. PCC7002 containing cyanobacterial fatty acid desaturase genes. Chin. J. Oceanol. Limnol. 2016, 34, 772–780. [Google Scholar] [CrossRef]
- Yoshino, T.; Kakunaka, N.; Liang, Y.; Ito, Y.; Maeda, Y.; Nomaguchi, T.; Matsunaga, T.; Tanaka, T. Production of omega3 fatty acids in marine cyanobacterium Synechococcus sp. strain NKBG 15041c via genetic engineering. Appl. Microbiol. Biotechnol. 2017, 101, 6899–6905. [Google Scholar] [CrossRef]
- Sakamoto, T.; Bryant, D.A. Synergistic effect of high-light and low temperature on cell growth of the Delta12 fatty acid desaturase mutant in Synechococcus sp. PCC 7002. Photosynth. Res. 2002, 72, 231–242. [Google Scholar] [CrossRef]
- Sakamoto, T.; Higashi, S.; Wada, H.; Murata, N.; Bryant, D.A. Low-temperature-induced desaturation of fatty acids and expression of desaturase genes in the cyanobacterium Synechococcus sp. PCC 7002. FEMS Microbiol. Lett. 1997, 152, 313–320. [Google Scholar] [CrossRef]
- Sakamoto, T.; Shen, G.; Higashi, S.; Murata, N.; Bryant, D.A. Alteration of low-temperature susceptibility of the cyanobacterium Synechococcus sp. PCC 7002 by genetic manipulation of membrane lipid unsaturation. Arch. Microbiol. 1998, 169, 20–28. [Google Scholar] [CrossRef]
- Wada, H.; Murata, N. Temperature-induced changes in the fatty acid composition of the cyanobacterium, Synechocystis PCC6803. Plant Physiol. 1990, 92, 1062–1069. [Google Scholar] [CrossRef] [PubMed]
- Santos-Merino, M.; Garcillan-Barcia, M.P.; de la Cruz, F. Engineering the fatty acid synthesis pathway in Synechococcus elongatus PCC 7942 improves omega-3 fatty acid production. Biotechnol. Biofuels 2018, 11, 239. [Google Scholar] [CrossRef] [PubMed]
- Poole, L.B.; Parsonage, D.; Sergeant, S.; Miller, L.R.; Lee, J.; Furdui, C.M.; Chilton, F.H. Acyl-lipid desaturases and Vipp1 cooperate in cyanobacteria to produce novel omega-3 PUFA-containing glycolipids. Biotechnol. Biofuels 2020, 13, 83. [Google Scholar] [CrossRef] [PubMed]
- Wang, L.; Chen, L.; Yang, S.; Tan, X. Photosynthetic conversion of carbon dioxide to oleochemicals by byanobacteria: Recent advances and future perspectives. Front. Microbiol. 2020, 11, 634. [Google Scholar] [CrossRef]
- Rippka, R.; Deruelles, J.; Waterbury, J.B.; Herdman, M.; Stanier, R.Y. Generic assignments, strain histories and properties of pure cultures of cyanobacteria. Microbiology 1979, 111, 1–61. [Google Scholar] [CrossRef]
- Golden, S.S.; Brusslan, J.; Haselkorn, R. Genetic engineering of the cyanobacterial chromosome. Methods Enzymol. 1987, 153, 215–231. [Google Scholar] [CrossRef]
- Miller, L.; Berger, T. Bacteria identification by gas chromatography of whole cell fatty acids. In Hewlett—Packard Application Note; Hewlett-Packard: Avondale, PA, USA, 1985; pp. 228–241. 228p. [Google Scholar]
- Lai, C.Y.; Cronan, J.E. Isolation and characterization of beta-ketoacyl-acyl carrier protein reductase (fabG) mutants of Escherichia coli and Salmonella enterica serovar Typhimurium. J. Bacteriol. 2004, 186, 1869–1878. [Google Scholar] [CrossRef]
- Jeon, E.; Lee, S.; Lee, S.; Han, S.O.; Yoon, Y.J.; Lee, J. Improved production of long-chain fatty acid in Escherichia coli by an engineering elongation cycle during fatty acid synthesis (FAS) through genetic manipulation. J. Microbiol. Biotechnol. 2012, 22, 990–999. [Google Scholar] [CrossRef]
- Heath, R.J.; Rock, C.O. Roles of the FabA and FabZ beta-hydroxyacyl-acyl carrier protein dehydratases in Escherichia coli fatty acid biosynthesis. J. Biol. Chem. 1996, 271, 27795–27801. [Google Scholar] [CrossRef]
- Kass, L.R.; Bloch, K. On the enzymatic synthesis of unsaturated fatty acids in Escherichia coli. Proc. Natl. Acad. Sci. USA 1967, 58, 1168–1173. [Google Scholar] [CrossRef]
- Beld, J.; Abbriano, R.; Finzel, K.; Hildebrand, M.; Burkart, M.D. Probing fatty acid metabolism in bacteria, cyanobacteria, green microalgae and diatoms with natural and unnatural fatty acids. Mol. Biosyst. 2016, 12, 1299–1312. [Google Scholar] [CrossRef] [PubMed]
- Alper, H.S.; Avalos, J.L. Metabolic pathway engineering. Synth. Syst. Biotechnol. 2018, 3, 1–2. [Google Scholar] [CrossRef] [PubMed]
- Stein, J.P., Jr.; Bloch, K.E. Inhibition of E. coli beta-hydroxydecanoyl thioester dehydrase by ppGpp. Biochem. Biophys. Res. Commun. 1976, 73, 881–884. [Google Scholar] [CrossRef]
- Tocher, D.R.; Leaver, M.J.; Hodgson, P.A. Recent advances in the biochemistry and molecular biology of fatty acyl desaturases. Prog. Lipid Res. 1998, 37, 73–117. [Google Scholar] [CrossRef]
- Sakamoto, T.; Los, D.A.; Higashi, S.; Wada, H.; Nishida, I.; Ohmori, M.; Murata, N. Cloning of omega 3 desaturase from cyanobacteria and its use in altering the degree of membrane-lipid unsaturation. Plant Mol. Biol. 1994, 26, 249–263. [Google Scholar] [CrossRef]
- Wada, H.; Avelange-Macherel, M.H.; Murata, N. The desA gene of the cyanobacterium Synechocystis sp. strain PCC6803 is the structural gene for delta 12 desaturase. J. Bacteriol. 1993, 175, 6056–6058. [Google Scholar] [CrossRef][Green Version]
- Wada, H.; Gombos, Z.; Murata, N. Enhancement of chilling tolerance of a cyanobacterium by genetic manipulation of fatty acid desaturation. Nature 1990, 347, 200–203. [Google Scholar] [CrossRef]
- Wada, H.; Murata, N. Synechocystis PCC6803 mutants defective in desaturation of fatty acids. Plant Cell Physiol. 1989, 30, 971–978. [Google Scholar] [CrossRef]
- Yu, R.; Yamada, A.; Watanabe, K.; Yazawa, K.; Takeyama, H.; Matsunaga, T.; Kurane, R. Production of eicosapentaenoic acid by a recombinant marine cyanobacterium, Synechococcus sp. Lipids 2000, 35, 1061–1064. [Google Scholar] [CrossRef]
- Gong, Y.; Miao, X. Short chain fatty acid biosynthesis in microalgae Synechococcus sp. PCC 7942. Mar. Drugs 2019, 17, 255. [Google Scholar] [CrossRef]
- Gao, Q.; Tan, X.; Lu, X. Enzymatic and physiological characterization of fatty acid activation in Synechocystis sp. PCC6803. J. Basic Microbiol. 2013, 53, 848–855. [Google Scholar] [CrossRef]
- Bryan, S.J.; Burroughs, N.J.; Shevela, D.; Yu, J.; Rupprecht, E.; Liu, L.N.; Mastroianni, G.; Xue, Q.; Llorente-Garcia, I.; Leake, M.C.; et al. Localisation and interactions of the Vipp1 protein in cyanobacteria. Mol. Microbiol. 2014, 94, 1179–1195. [Google Scholar] [CrossRef]
- Vermaas, W.F. Modified cyanobacteria. U.S. Patent 8,753,840, 17 June 2014. [Google Scholar]
- Lee, J.M.; Lee, H.; Kang, S.; Park, W.J. Fatty acid desaturases, polyunsaturated fatty acid regulation, and biotechnological advances. Nutrients 2016, 8, 23. [Google Scholar] [CrossRef] [PubMed]
- Reddy, A.S.; Nuccio, M.L.; Gross, L.M.; Thomas, T.L. Isolation of a delta 6-desaturase gene from the cyanobacterium Synechocystis sp. strain PCC 6803 by gain-of-function expression in Anabaena sp. strain PCC 7120. Plant Mol. Biol. 1993, 22, 293–300. [Google Scholar] [CrossRef] [PubMed]
- Pender-Cudlip, M.C.; Krag, K.J.; Martini, D.; Yu, J.; Guidi, A.; Skinner, S.S.; Zhang, Y.; Qu, X.; He, C.; Xu, Y.; et al. Delta-6-desaturase activity and arachidonic acid synthesis are increased in human breast cancer tissue. Cancer Sci. 2013, 104, 760–764. [Google Scholar] [CrossRef]
- Matsuoka, M.; Takahama, K.; Ogawa, T. Gene replacement in cyanobacteria mediated by a dominant streptomycin-sensitive rps12 gene that allows selection of mutants free from drug resistance markers. Microbiology 2001, 147, 2077–2087. [Google Scholar] [CrossRef]
- Moronta-Barrios, F.; Espinosa, J.; Contreras, A. Negative control of cell size in the cyanobacterium Synechococcus elongatus PCC 7942 by the essential response regulator RpaB. FEBS Lett. 2013, 587, 504–509. [Google Scholar] [CrossRef]






| FA (%) 1 | MSM_DAB | MSM_DAB_FF | MSM_DAB_FG | MSM_DAB_FFG | MSM_DAB_FFZ |
|---|---|---|---|---|---|
| C14:0 | 1.56 ± 0.40 a | 0 ± 0 b | 1.03 ± 0.15 c | 0.53 ± 0.06 d | 0.82 ± 0.05 c |
| C16:0 | 70.44 ± 4.14 a | 65.19 ± 2.58 a | 69.17 ± 6.52 a | 57.68 ± 1.16 b | 50.46 ± 1.50 b |
| C16:1 | 16.22 ± 2.95 a | 13.04 ± 2.43 a | 16.4 ± 1.41 a | 14.90 ± 1.81 a | 42.33 ± 2.16 b |
| C18:0 | 2.73 ± 0.47 a | 0 ± 0 b | 4.94 ± 0.63 c | 13.65 ± 0.93 d | 2.46 ± 0.52 a |
| C18:1 | 0 ± 0 a | 0 ± 0 a | 0.06 ± 0.03 a | 0.07 ± 0.07 a | 3.29 ± 0.28 b |
| C18:2 | 0 ± 0 a | 0 ± 0 a | 0.28 ± 0.06 a | 0.60 ± 0.30 b | 0 ± 0 a |
| C18:3 | 7.49 ± 1.43 a | 17.9 ± 2.18 b | 4.99 ± 1.20 a | 11.58 ± 1.12 c | 0.64 ± 0.18 c |
| FA (%) 1 | MSM_DAB_FFDD | MSM_DAB_FFDD_ΔD |
|---|---|---|
| C14:0 | 0.14 ± 0.24 | 0.71 ± 0.39 |
| C16:0 | 56.57 ± 0.73 | 55.65 ± 5.82 |
| C16:1 | 14.39 ± 1.96 | 18.29 ± 4.07 |
| C18:0 | 2.22 ± 0.94 | 0.71 ± 0.78 |
| C18:1 | 1.67 ± 1.45 | 3.38 ± 1.03 |
| C18:2 | 1.16 ± 0.44 | 0.95 ± 0.76 |
| C18:3 | 18.12 ± 3.40 | 19.40 ± 4.26 |
| C18:4 | 5.73 ± 0.58 | 0.92 ± 1.08 *** |
Publisher’s Note: MDPI stays neutral with regard to jurisdictional claims in published maps and institutional affiliations. |
© 2022 by the authors. Licensee MDPI, Basel, Switzerland. This article is an open access article distributed under the terms and conditions of the Creative Commons Attribution (CC BY) license (https://creativecommons.org/licenses/by/4.0/).
Share and Cite
Santos-Merino, M.; Gutiérrez-Lanza, R.; Nogales, J.; García, J.L.; de la Cruz, F. Synechococcus elongatus PCC 7942 as a Platform for Bioproduction of Omega-3 Fatty Acids. Life 2022, 12, 810. https://doi.org/10.3390/life12060810
Santos-Merino M, Gutiérrez-Lanza R, Nogales J, García JL, de la Cruz F. Synechococcus elongatus PCC 7942 as a Platform for Bioproduction of Omega-3 Fatty Acids. Life. 2022; 12(6):810. https://doi.org/10.3390/life12060810
Chicago/Turabian StyleSantos-Merino, María, Raquel Gutiérrez-Lanza, Juan Nogales, José Luis García, and Fernando de la Cruz. 2022. "Synechococcus elongatus PCC 7942 as a Platform for Bioproduction of Omega-3 Fatty Acids" Life 12, no. 6: 810. https://doi.org/10.3390/life12060810
APA StyleSantos-Merino, M., Gutiérrez-Lanza, R., Nogales, J., García, J. L., & de la Cruz, F. (2022). Synechococcus elongatus PCC 7942 as a Platform for Bioproduction of Omega-3 Fatty Acids. Life, 12(6), 810. https://doi.org/10.3390/life12060810

