Efficacy of Different Cold-Water Immersion Temperatures on Neuromotor Performance in Young Athletes
Abstract
:1. Introduction
2. Materials and Methods
2.1. Participants
2.2. Assessment Procedures
2.3. Description of the Interventions
2.4. Maximal Isometric Voluntary Contraction (MIVC) Test and Fatigue Induction
2.5. Surface Electromyography
2.6. Statistical Analysis
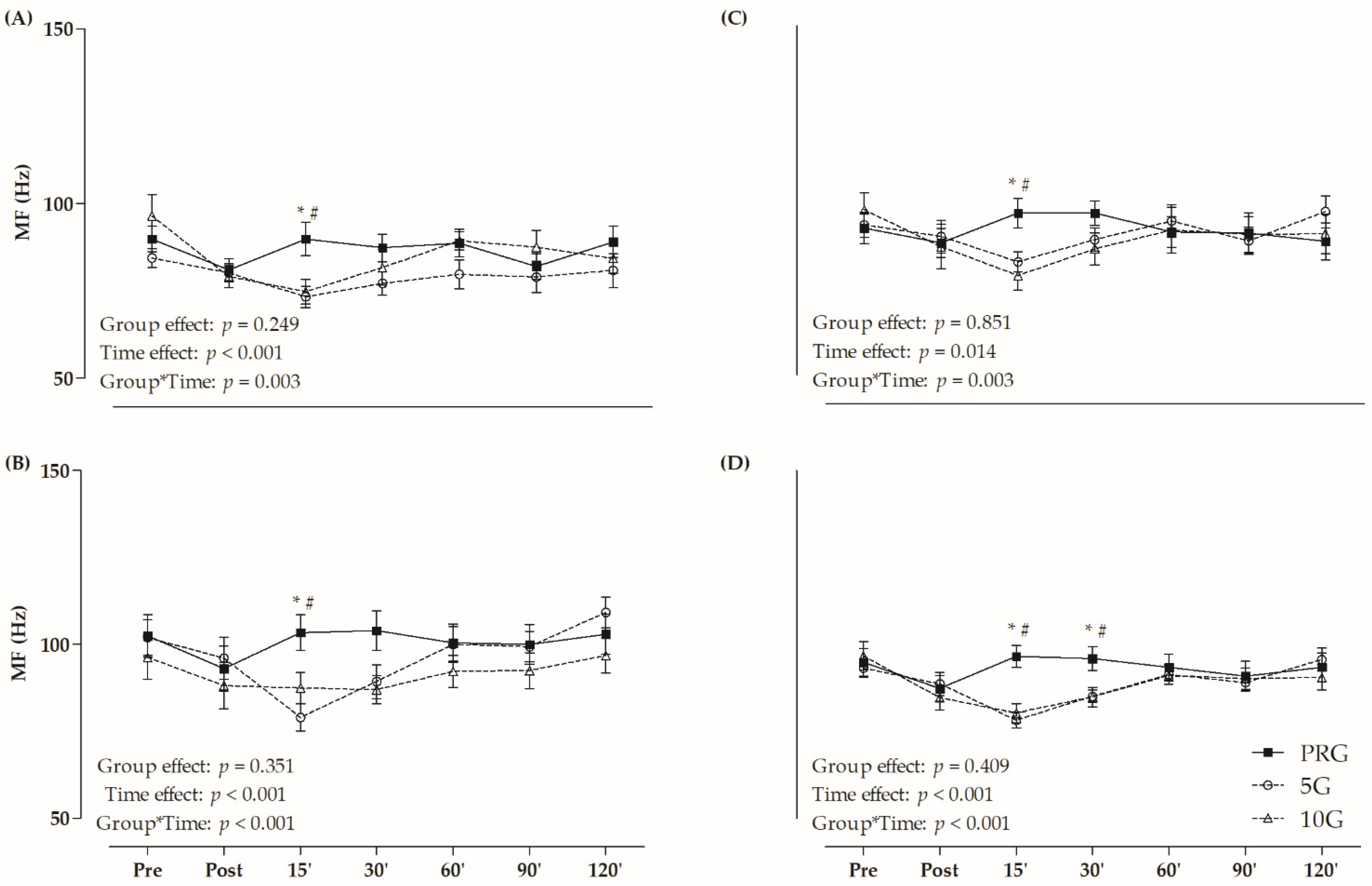
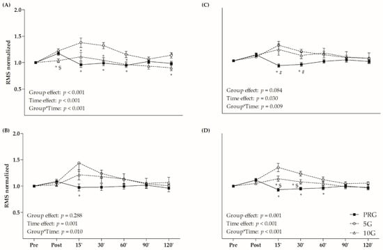
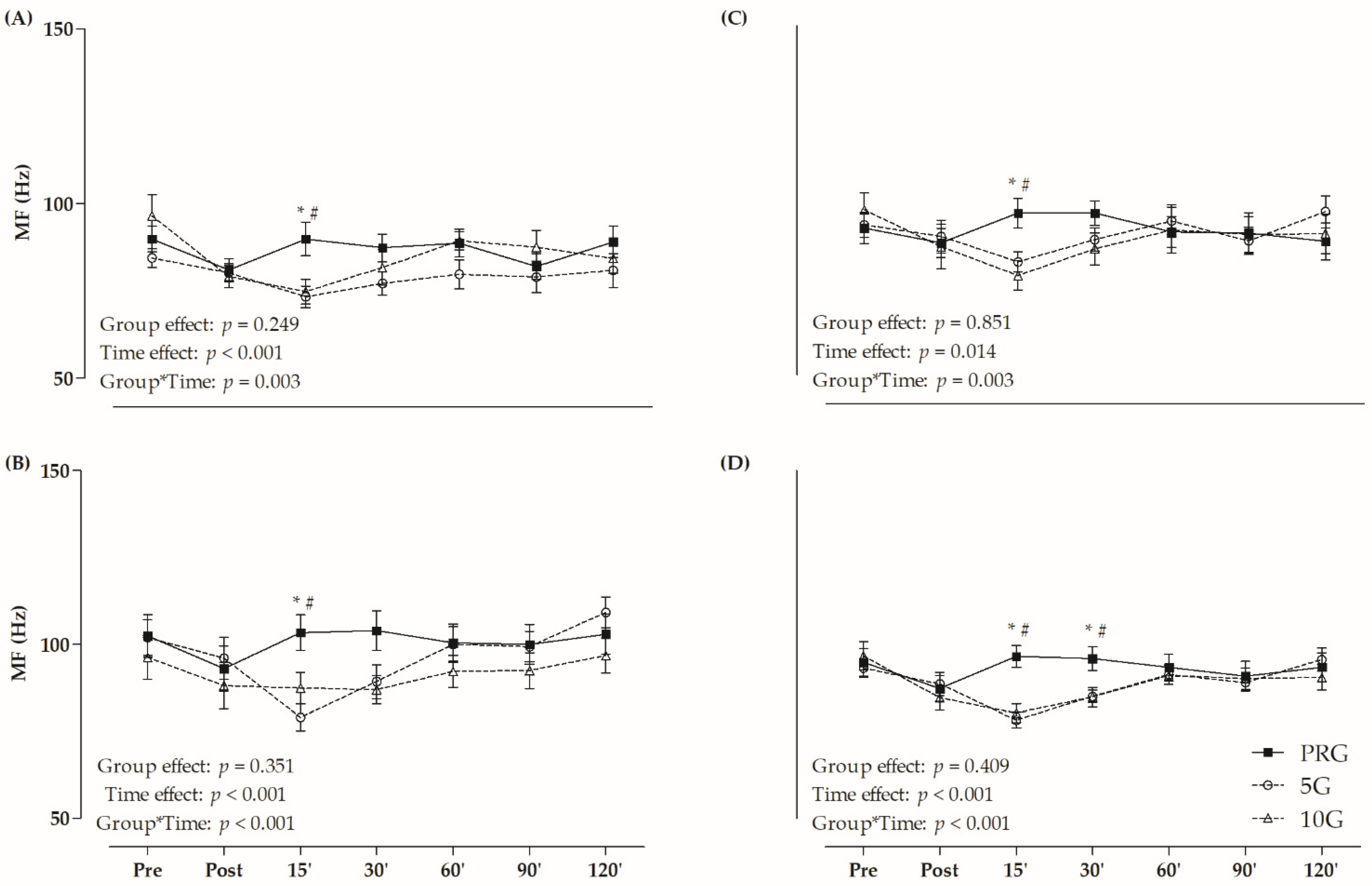
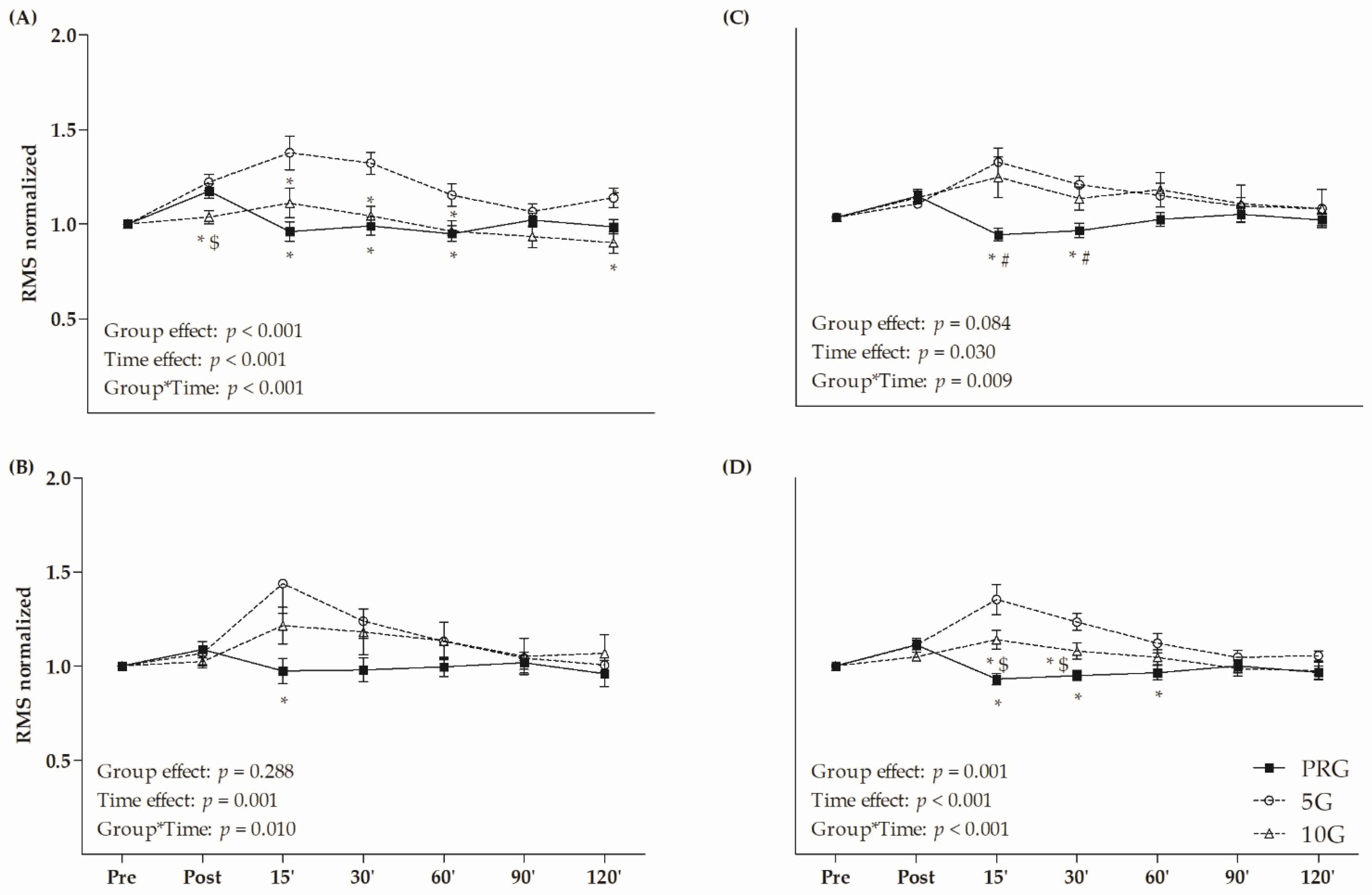
3. Results
4. Discussion
5. Conclusions
Author Contributions
Funding
Institutional Review Board Statement
Informed Consent Statement
Data Availability Statement
Conflicts of Interest
References
- Abaïdia, A.-E.; Lamblin, J.; Delecroix, B.; Leduc, C.; McCall, A.; Nédélec, M.; Dawson, B.; Baquet, G.; Dupont, G. Recovery From Exercise-Induced Muscle Damage: Cold-Water Immersion Versus Whole-Body Cryotherapy. Int. J. Sports Physiol. Perform. 2017, 12, 402–409. [Google Scholar] [CrossRef]
- Westerblad, H.; Allen, D.G. Emerging Roles of ROS/RNS in Muscle Function and Fatigue. Antioxid. Redox Signal. 2011, 15, 2487–2499. [Google Scholar] [CrossRef] [PubMed]
- Racinais, S.; Bishop, D.; Denis, R.; Lattier, G.; Mendez-Villaneuva, A.; Perrey, S. Muscle Deoxygenation and Neural Drive to the Muscle during Repeated Sprint Cycling. Med. Sci. Sports Exerc. 2007, 39, 268–274. [Google Scholar] [CrossRef] [PubMed]
- Mendez-Villanueva, A.; Edge, J.; Suriano, R.; Hamer, P.; Bishop, D. The Recovery of Repeated-Sprint Exercise Is Associated with PCr Resynthesis, While Muscle PH and EMG Amplitude Remain Depressed. PLoS ONE 2012, 7, 4–13. [Google Scholar] [CrossRef] [PubMed] [Green Version]
- Kellmann, M.; Bertollo, M.; Bosquet, L.; Brink, M.; Coutts, A.J.; Duffield, R.; Erlacher, D.; Halson, S.L.; Hecksteden, A.; Heidari, J.; et al. Recovery and Performance in Sport: Consensus Statement. Int. J. Sports Physiol. Perform. 2018, 13, 240–245. [Google Scholar] [CrossRef] [Green Version]
- Tavares, F.; Smith, T.B.; Driller, M. Fatigue and Recovery in Rugby: A Review. Sports Med. 2017, 47, 1515–1530. [Google Scholar] [CrossRef] [PubMed]
- Yeung, S.S.; Ting, K.H.; Hon, M.; Fung, N.Y.; Choi, M.M.; Cheng, J.C.; Yeung, E.W. Effects of Cold Water Immersion on Muscle Oxygenation during Repeated Bouts of Fatiguing Exercise a Randomized Controlled Study. Medicine 2016, 95, e2455. [Google Scholar] [CrossRef] [Green Version]
- Roberts, L.A.; Nosaka, K.; Coombes, J.S.; Peake, J.M. Cold Water Immersion Enhances Recovery of Submaximal Muscle Function after Resistance Exercise. Am. J. Physiol. Regul. Integr. Comp. Physiol. 2014, 307, R998–R1008. [Google Scholar] [CrossRef] [Green Version]
- Richendollar, M.L.; Darby, L.A.; Brown, T.M. Ice Bag Application, Active Warm-up, and 3 Measures of Maximal Functional Performance. J. Athl. Train. 2000, 41, 364–370. [Google Scholar] [CrossRef]
- Bahnert, A.; Norton, K.; Lock, P. Association between Post-Game Recovery Protocols, Physical and Perceived Recovery, and Performance in Elite Australian Football League Players. J. Sci. Med. Sport 2013, 16, 151–156. [Google Scholar] [CrossRef]
- Hohenauer, E.; Costello, J.T.; Deliens, T.; Clarys, P.; Stoop, R.; Clijsen, R. Partial-Body Cryotherapy (−135 °C) and Cold-Water Immersion (10 °C) after Muscle Damage in Females. Scand. J. Med. Sci. Sports 2020, 30, 485–495. [Google Scholar] [CrossRef] [PubMed]
- Murray, A.; Cardinale, M. Cold Applications for Recovery in Adolescent Athletes: A Systematic Review and Meta Analysis. Extrem. Physiol. Med. 2015, 4, 17. [Google Scholar] [CrossRef] [PubMed] [Green Version]
- Leeder, J.; Gissane, C.; Van Someren, K.; Gregson, W.; Howatson, G. Cold Water Immersion and Recovery from Strenuous Exercise: A Meta-Analysis. Br. J. Sports Med. 2012, 46, 233–240. [Google Scholar] [CrossRef] [PubMed]
- Bleakley, C.; McDonough, S.; Gardner, E.; Baxter, G.; Hopkins, J.; Davison, G. Cochrane Database of Systematic Reviews Cold-Water Immersion (Cryotherapy) for Preventing and Treating Muscle Soreness after Exercise (Review). Cochrane Database Syst. Rev. 2012, 2, 1–136. [Google Scholar] [CrossRef] [Green Version]
- Jones, P.R.; Barton, C.; Morrissey, D.; Maffulli, N.; Hemmings, S. Pre-cooling for endurance exercise performance in the heat: A systematic review. BMC Med. 2012, 10, 166. [Google Scholar] [CrossRef] [Green Version]
- Versey, N.G.; Halson, S.L.; Dawson, B.T. Water Immersion Recovery for Athletes: Effect on Exercise Performance and Practical Recommendations. Sport. Med. 2013, 43, 1101–1130. [Google Scholar] [CrossRef]
- Fonseca, L.B.; Brito, C.J.; Silva, R.J.S.; Silva-Grigoletto, M.E.; Da Silva Junior, W.M.; Franchini, E. Use of Cold-Water Immersion to Reduce Muscle Damage and Delayed-Onset Muscle Soreness and Preserve Muscle Power in Jiu-Jitsu Athletes. J. Athl. Train. 2016, 51, 540–549. [Google Scholar] [CrossRef] [Green Version]
- Bleakley, C.M.; Costello, J.T.; Glasgow, P.D. Should Athletes Return to Sport After Applying Ice? Sports Med. 2012, 42, 69–87. [Google Scholar] [CrossRef] [Green Version]
- White, G.E.; Wells, G.D. Cold-Water Immersion and Other Forms of Cryotherapy: Physiological Changes Potentially Affecting Recovery from High-Intensity Exercise. Extrem. Physiol. Med. 2013, 2, 26. [Google Scholar] [CrossRef] [Green Version]
- Wilcock, I.M.; Cronin, J.B.; Hing, W.A. Physiological Response to Water Immersion. Sports Med. 2006, 36, 747–765. [Google Scholar] [CrossRef]
- Tassignon, B.; Serrien, B.; de Pauw, K.; Baeyens, J.P.; Meeusen, R. Continuous Knee Cooling Affects Functional Hop Performance–A Randomized Controlled Trial. J. Sports Sci. Med. 2018, 17, 322–329. [Google Scholar] [PubMed]
- Kodejška, J.; Baláš, J.; Draper, N. Effect of Cold-Water Immersion on Handgrip Performance in Rock Climbers. Int. J. Sports Physiol. Perform. 2018, 13, 1097–1099. [Google Scholar] [CrossRef] [PubMed]
- Naderi, A.; Aminian-Far, A.; Gholami, F.; Mousavi, S.H.; Saghari, M.; Howatson, G. Massage Enhances Recovery Following Exercise-Induced Muscle Damage in Older Adults. Scand. J. Med. Sci. Sports 2021, 31, 623–632. [Google Scholar] [CrossRef] [PubMed]
- Malta, E.S.; Dutra, Y.M.; Broatch, J.R.; Bishop, D.J.; Zagatto, A.M. The Effects of Regular Cold-Water Immersion Use on Training-Induced Changes in Strength and Endurance Performance: A Systematic Review with Meta-Analysis. Sports Med. 2021, 51, 161–174. [Google Scholar] [CrossRef]
- Peake, J.M.; Roberts, L.A.; Figueiredo, V.C.; Egner, I.; Krog, S.; Aas, S.N.; Suzuki, K.; Markworth, J.F.; Coombes, J.S.; Cameron-Smith, D.; et al. The Effects of Cold Water Immersion and Active Recovery on Inflammation and Cell Stress Responses in Human Skeletal Muscle after Resistance Exercise. J. Physiol. 2017, 595, 695–711. [Google Scholar] [CrossRef]
- Rowsell, G.J.; Coutts, A.J.; Reaburn, P.; Hill-Haas, S. Effect of Post-Match Cold-Water Immersion on Subsequent Match Running Performance in Junior Soccer Players during Tournament Play. J. Sports Sci. 2011, 29, 1–6. [Google Scholar] [CrossRef]
- Higgins, T.; Cameron, M.; Climstein, M. Evaluation of Passive Recovery, Cold Water Immersion, and Contrast Baths for Recovery, as Measured by Game Performances Markers, between Two Simulated Games of Rugby Union. J. Strength Cond. Res. 2012; Ahead of print. [Google Scholar] [CrossRef]
- Anghinoni, A.P.; Gaspar-Júnior, J.J.; Barbosa, F.S.S.; Martinez, P.F.; Oliveira-Júnior, S.A. Efectos de La Crioterapia de Inmersión En El Rendimiento Del Motor Sensorial Especializado Después Del Protocolo de Fatiga Muscular. Rev. Andaluza Med. Deport. 2021; Ahead of print. [Google Scholar] [CrossRef]
- Petrofsky, J.; Laymon, M. Muscle Temperature and EMG Amplitude and Frequency during Isometric Exercise. Aviat. Space Environ. Med. 2005, 76, 1024–1030. [Google Scholar]
- Petrofsky, J.; Laymon, M. The Relationship between Muscle Temperature, MUAP Conduc-Tion Velocity and the Amplitude and Frequency Components of the Surface EMG During Isometric Contractions. Basic Appl. Myol. 2005, 15, 61–74. [Google Scholar]
- Bevilaqua-Grossi, D.; Felício, L.R.; Silvério, G.W.P. Onset of Electrical Activity of Patellar Stabilizer Muscles in Subjects with Patellofemoral Pain. Acta Ortop. Bras. 2009, 17, 297–299. [Google Scholar] [CrossRef] [Green Version]
- Ansdell, P.; Thomas, K.; Howatson, G.; Hunter, S.; Goodall, S. Contraction Intensity and Sex Differences in Knee-Extensor Fatigability. J. Electromyogr. Kinesiol. 2017, 37, 68–74. [Google Scholar] [CrossRef] [Green Version]
- Ansdell, P.; Brownstein, C.G.; Skarabot, J.; Hicks, K.M.; Simoes, D.C.M.; Thomas, K.; Howatson, G.; Hunter, S.K.; Goodall, S. Menstrual Cycle-Associated Modulations in Neuromuscular Function and Fatigability of the Knee Extensors in Eumenorrheic Women. J. Appl. Physiol. 2019, 126, 1701–1712. [Google Scholar] [CrossRef] [PubMed]
- Briani, R.V.; De Oliveira Silva, D.; Flóride, C.S.; Aragão, F.A.; De Albuquerque, C.E.; Magalhães, F.H.; De Azevedo, F.M. Quadriceps Neuromuscular Function in Women with Patellofemoral Pain: Influences of the Type of the Task and the Level of Pain. PLoS ONE 2018, 13, e0205553. [Google Scholar] [CrossRef]
- Hermens, H.J.; Freriks, B.; Disselhorst-Klug, C.; Rau, G. Development of Recommendations for SEMG Sensors and Sensor Placement Procedures. J. Electromyogr. Kinesiol. 2000, 10, 361–374. [Google Scholar] [CrossRef]
- Rossato, M.; Dellagrana, R.A.; Sakugawa, R.L.; Lazzari, C.D.; Baroni, B.M.; Diefenthaeler, F. Time Response of Photobiomodulation Therapy on Muscular Fatigue in Humans. J. Strength Cond. Res. 2018, 32, 3285–3293. [Google Scholar] [CrossRef]
- Vieira, A.; Siqueira, A.; Ferreira-Junior, J.; do Carmo, J.; Durigan, J.; Blazevich, A.; Bottaro, M. The Effect of Water Temperature during Cold-Water Immersion on Recovery from Exercise-Induced Muscle Damage. Int. J. Sports Med. 2016, 37, 937–943. [Google Scholar] [CrossRef]
- Argus, C.K.; Broatch, J.R.; Petersen, A.C.; Polman, R.; Bishop, D.J.; Halson, S. Cold-Water Immersion and Contrast Water Therapy: No Improvement of Short-Term Recovery After Resistance Training. Int. J. Sports Physiol. Perform. 2017, 12, 886–892. [Google Scholar] [CrossRef] [Green Version]
- Kim, S.; Hurr, C. Effects of Acute Cooling on Cycling Anaerobic Exercise Performance and Neuromuscular Activity: A Randomized Crossover Study. J. Sports Med. Phys. Fitness 2020, 60, 1437–1443. [Google Scholar] [CrossRef]
- Machado, A.F.; Almeida, A.C.; Micheletti, J.K.; Vanderlei, F.M.; Tribst, M.F.; Netto Junior, J.; Pastre, C.M. Dosages of Cold-Water Immersion Post Exercise on Functional and Clinical Responses: A Randomized Controlled Trial. Scand. J. Med. Sci. Sports 2017, 27, 1356–1363. [Google Scholar] [CrossRef]
- Boccia, G.; Dardanello, D.; Zoppirolli, C.; Bortolan, L.; Cescon, C.; Schneebeli, A.; Vernillo, G.; Schena, F.; Rainoldi, A.; Pellegrini, B. Central and Peripheral Fatigue in Knee and Elbow Extensor Muscles after a Long-Distance Cross-Country Ski Race. Scand. J. Med. Sci. Sports 2017, 27, 945–955. [Google Scholar] [CrossRef]
- Eston, R.; Peters, D. Effects of Cold Water Immersion on the Symptoms of Exercise-Induced Muscle Damage. J. Sports Sci. 1999, 17, 231–238. [Google Scholar] [CrossRef]
- Tseng, C.-Y.; Lee, J.-P.; Tsai, Y.-S.; Lee, S.-D.; Kao, C.-L.; Liu, T.-C.; Lai, C.-H.; Harris, M.B.; Kuo, C.-H. Topical Cooling (Icing) Delays Recovery From Eccentric Exercise–Induced Muscle Damage. J. Strength Cond. Res. 2013, 27, 1354–1361. [Google Scholar] [CrossRef] [PubMed]
- Algafly, A.A.; George, K.P. The Effect of Cryotherapy on Nerve Conduction Velocity, Pain Threshold and Pain Tolerance. Br. J. Sports Med. 2007, 41, 365–369. [Google Scholar] [CrossRef] [PubMed]
- Vieira, A.; Oliveira, A.B.; Costa, J.R.; Herrera, E.; Salvini, T.F. Cold Modalities with Different Thermodynamic Properties Have Similar Effects on Muscular Performance and Activation. Int. J. Sports Med. 2013, 34, 873–880. [Google Scholar] [CrossRef] [PubMed]
- Macedo, C.S.G.; Alonso, C.S.; Liporaci, R.F.; Vieira, F.; Guirro, R.R.J. Cold Water Immersion of the Ankle Decreases Neuromuscular Response of Lower Limb after Inversion Movement. Braz. J. Phys. Ther. 2014, 18, 93–97. [Google Scholar] [CrossRef] [Green Version]
- Ferreira-Junior, J.; Vieira, C.; Soares, S.; Guedes, R.; Rocha Junior, V.; Simoes, H.; Brown, L.; Bottaro, M. Effects of a Single Whole Body Cryotherapy (−110 °C) Bout on Neuromuscular Performance of the Elbow Flexors during Isokinetic Exercise. Int. J. Sports Med. 2014, 35, 1179–1183. [Google Scholar] [CrossRef]
- Wakabayashi, H.; Wijayanto, T.; Tochihara, Y. Neuromuscular Function during Knee Extension Exercise after Cold Water Immersion. J. Physiol. Anthropol. 2017, 36, 28. [Google Scholar] [CrossRef] [Green Version]
- Herrera, E.; Sandoval, M.C.; Camargo, D.M.; Salvini, T.F. Motor and Sensory Nerve Conduction Are Affected Differently by Ice Pack, Ice Massage, and Cold Water Immersion. Phys. Ther. 2010, 90, 581–591. [Google Scholar] [CrossRef] [Green Version]
- Allen, D.G.; Lamb, G.D.; Westerblad, H. Skeletal Muscle Fatigue: Cellular Mechanisms. Physiol. Rev. 2008, 88, 287–332. [Google Scholar] [CrossRef] [Green Version]
- Taylor, J.L.; Allen, G.M.; Butler, J.E.; Gandevia, S.C. Supraspinal Fatigue during Intermittent Maximal Voluntary Contractions of the Human Elbow Flexors. J. Appl. Physiol. 2000, 89, 305–313. [Google Scholar] [CrossRef] [Green Version]
- Rome, L.C. Influence of Temperature on Muscle Recruitment and Muscle Function In Vivo. Am. J. Physiol. Integr. Comp. Physiol. 1990, 259, R210–R222. [Google Scholar] [CrossRef]
- Merletti, R.; Lo Conte, L.R. Surface EMG Signal Processing during Isometric Contractions. J. Electromyogr. Kinesiol. 1997, 7, 241–250. [Google Scholar] [CrossRef]
- Aragão, F.A.; Schäfer, G.S.; de Albuquerque, C.E.; Vituri, R.F.; de Azevedo, F.M.; Bertolini, G.R.F. Neuromuscular Efficiency of the Vastus Lateralis and Biceps Femoris Muscles in Individuals with Anterior Cruciate Ligament Injuries. Rev. Bras. Ortop. 2015, 50, 180–185. [Google Scholar] [CrossRef] [PubMed] [Green Version]
- Drinkwater, E. Effects of Peripheral Cooling on Characteristics of Local Muscle. Med. Sport Sci. 2008, 53, 74–88. [Google Scholar] [CrossRef] [PubMed]



| Group | Time of Evaluation | p-Value | ||||||||
|---|---|---|---|---|---|---|---|---|---|---|
| Pre | Post | 15-min | 30-min | 60-min | 90-min | 120-min | Gr | Ti | Gr × Ti | |
| PRG | 43.5 ± 8.9 | 39.8 ± 9.4 * | 41.2 ± 10.3 | 41.9 ± 11.3 | 42.9 ± 12.6 | 41.5 ± 10.9 | 39.8 ± 11.3 | |||
| 5G | 47.4 ± 6.4 | 42.1 ± 4.8 * | 44.7 ± 6.2 | 45.8 ± 5.4 | 44.8 ± 6.4 | 44.8 ± 4.4 | 44.2 ± 4.5 | 0.626 | <0.001 | 0.915 |
| 10G | 46.5 ± 10.1 | 40.6 ± 7.7 * | 44.2 ± 11.4 | 42.9 ± 9.7 | 43.8 ± 9.8 | 41.9 ± 8.9 * | 41.8 ± 10.3 * | |||
| Muscle | Gr | Time | ||||||
|---|---|---|---|---|---|---|---|---|
| Pre | Post | 15-min | 30-min | 60-min | 90-min | 120-min | ||
| PRG | 0.127 ± 0.043 | 0.099 ± 0.035 * | 0.127 ± 0.049 # | 0.127 ± 0.056 # | 0.139 ± 0.080 # | 0.120 ± 0.050 | 0.120 ± 0.051 | |
| VL | 5G | 0.153 ± 0.043 | 0.112 ± 0.030 * | 0.107 ± 0.031 * | 0.112 ± 0.027 * | 0.127 ± 0.035 * | 0.137 ± 0.037 #$‡ | 0.128 ± 0.038 * |
| 10G | 0.149 ± 0.065 | 0.126 ± 0.059 | 0.129 ± 0.065 | 0.133 ± 0.061 | 0.146 ± 0.066 | 0.142 ± 0.055 | 0.150 ± 0.070 | |
| PRG | 0.118 ± 0.052 | 0.100 ± 0.046 | 0.116 ± 0.049 | 0.119 ± 0.058 | 0.120 ± 0.066 | 0.109 ± 0.039 | 0.116 ± 0.058 | |
| RF | 5G | 0.139 ± 0.044 | 0.116 ± 0.034 | 0.095 ± 0.029 * | 0.110 ± 0.033 * | 0.117 ± 0.032 | 0.127 ± 0.036 $ | 0.130 ± 0.041 $ |
| 10G | 0.157 ± 0.114 | 0.130 ± 0.084 * | 0.119 ± 0.080 * | 0.123 ± 0.083 * | 0.129 ± 0.078 * | 0.134 ± 0.084 | 0.132 ± 0.093 | |
| PRG | 0.132 ± 0.086 | 0.109 ± 0.069 | 0.138 ± 0.088 # | 0.140 ± 0.099 # | 0.128 ± 0.071 | 0.122 ± 0.073 | 0.121 ± 0.077 | |
| VM | 5G | 0.162 ± 0.050 | 0.136 ± 0.040 * | 0.121 ± 0.036 * | 0.134 ± 0.034 * | 0.140 ± 0.042 | 0.147 ± 0.042 $ | 0.145 ± 0.042 |
| 10G | 0.149 ± 0.088 | 0.115 ± 0.051 * | 0.124 ± 0.067 | 0.124 ± 0.056 | 0.126 ± 0.063 | 0.134 ± 0.077 | 0.139 ± 0.092 | |
| PRG | 0.039 ± 0.012 | 0.032 ± 0.012 * | 0.040 ± 0.015 # | 0.041 ± 0.019 # | 0.041 ± 0.019 # | 0.038 ± 0.015 | 0.037 ± 0.014 | |
| QUA | 5G | 0.049 ± 0.012 | 0.039 ± 0.010 * | 0.034 ± 0.008 * | 0.038 ± 0.008 * | 0.041 ± 0.009 | 0.044 ± 0.010 $‡ | 0.043 ± 0.012 $ |
| 10G | 0.047 ± 0.025 | 0.039 ± 0.019 * | 0.040 ± 0.022 * | 0.041 ± 0.020 | 0.042 ± 0.021 | 0.043 ± 0.022 | 0.045 ± 0.026 | |
Publisher’s Note: MDPI stays neutral with regard to jurisdictional claims in published maps and institutional affiliations. |
© 2022 by the authors. Licensee MDPI, Basel, Switzerland. This article is an open access article distributed under the terms and conditions of the Creative Commons Attribution (CC BY) license (https://creativecommons.org/licenses/by/4.0/).
Share and Cite
Gaspar-Junior, J.J.; Dellagrana, R.A.; Barbosa, F.S.S.; Anghinoni, A.P.; Taciro, C.; Carregaro, R.L.; Martinez, P.F.; Oliveira-Junior, S.A. Efficacy of Different Cold-Water Immersion Temperatures on Neuromotor Performance in Young Athletes. Life 2022, 12, 683. https://doi.org/10.3390/life12050683
Gaspar-Junior JJ, Dellagrana RA, Barbosa FSS, Anghinoni AP, Taciro C, Carregaro RL, Martinez PF, Oliveira-Junior SA. Efficacy of Different Cold-Water Immersion Temperatures on Neuromotor Performance in Young Athletes. Life. 2022; 12(5):683. https://doi.org/10.3390/life12050683
Chicago/Turabian StyleGaspar-Junior, Jair J., Rodolfo A. Dellagrana, Fernando S. S. Barbosa, Ana P. Anghinoni, Charles Taciro, Rodrigo L. Carregaro, Paula F. Martinez, and Silvio A. Oliveira-Junior. 2022. "Efficacy of Different Cold-Water Immersion Temperatures on Neuromotor Performance in Young Athletes" Life 12, no. 5: 683. https://doi.org/10.3390/life12050683
APA StyleGaspar-Junior, J. J., Dellagrana, R. A., Barbosa, F. S. S., Anghinoni, A. P., Taciro, C., Carregaro, R. L., Martinez, P. F., & Oliveira-Junior, S. A. (2022). Efficacy of Different Cold-Water Immersion Temperatures on Neuromotor Performance in Young Athletes. Life, 12(5), 683. https://doi.org/10.3390/life12050683

