Using Halothermal Time Model to Describe Barley (Hordeumvulgare L.) Seed Germination Response to Water Potential and Temperature
Abstract
:1. Introduction
2. Methodology
2.1. Seeds Germination and Experiment Protocol
2.2. Thermal Time Model (TT)
2.3. Halotime Model (HT)
2.4. Halothermal Time Model (HaloTT)
2.5. Germination Parameters
2.5.1. Germination Percentage (GP)
2.5.2. Mean Germination Time (MGT)
2.5.3. Germination Rate Index (GRI)
2.5.4. Germination Index (GI)
2.5.5. Coefficient of the Velocity of Germination (CVG)
2.5.6. Germination Energy (GE)
2.5.7. Timson Germination Index (TGI)
2.5.8. Mean Germination Rate (MGR)
2.5.9. Seed Vigor Index-I (SVI-I)
2.5.10. Seed Vigor Index-II (SVI-II)
2.5.11. Time to 50% Germination (T50%)
2.5.12. Root-Shoot Ratio (RSR)
2.6. Data Analysis
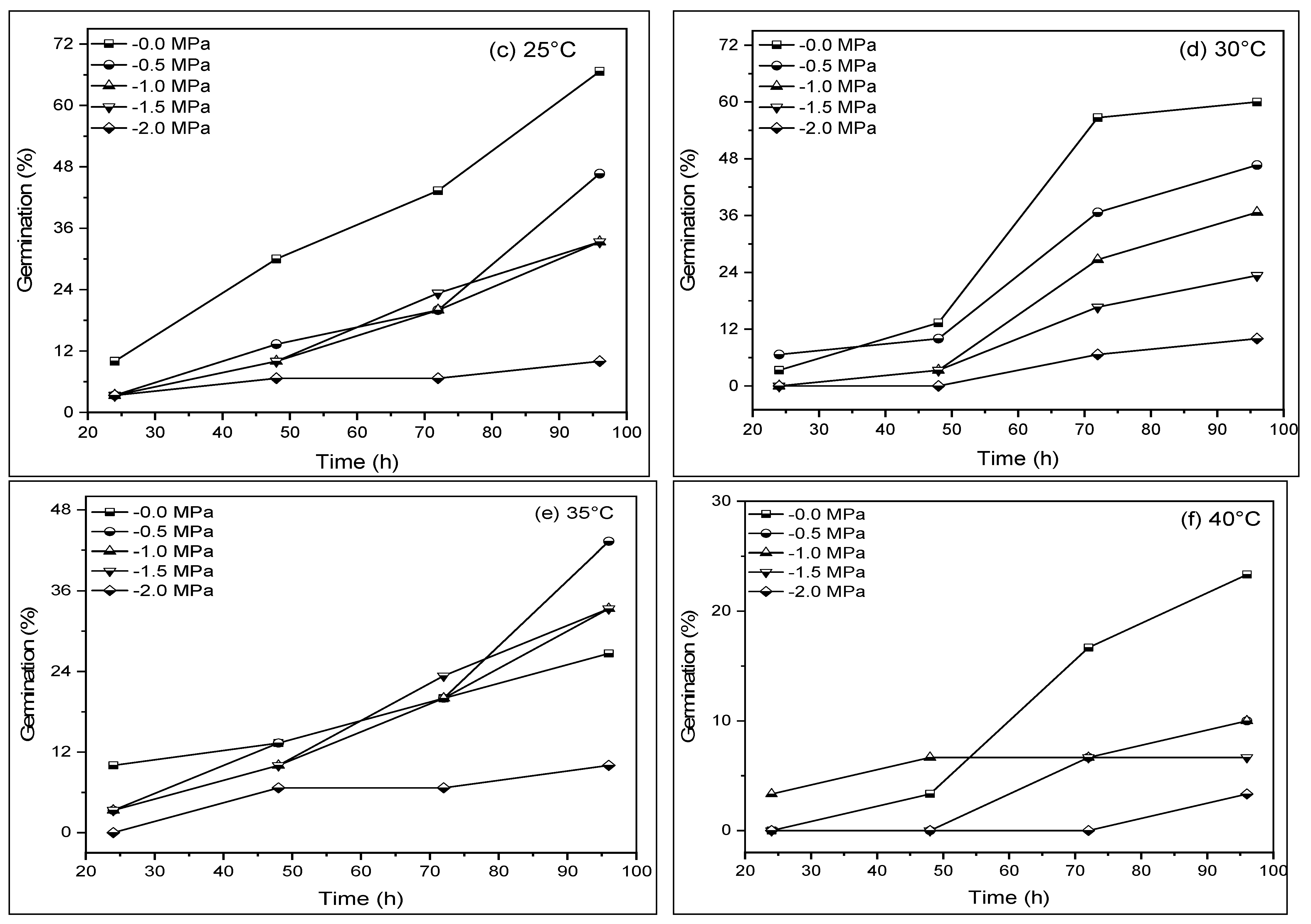
3. Results
4. Discussion
5. Conclusions
Author Contributions
Funding
Institutional Review Board Statement
Informed Consent Statement
Data Availability Statement
Acknowledgments
Conflicts of Interest
References
- Khan, S.; Hussain, W.; Shah, S.; Hussain, H.; Altyar, A.E.; Ashour, M.L.; Pieroni, A. Overcoming Tribal Boundaries: The Biocultural Heritage of Foraging and Cooking Wild Vegetables among Four Pathan Groups in the Gadoon Valley, NW Pakistan. Biology 2021, 10, 537. [Google Scholar] [CrossRef] [PubMed]
- Sadras, V.O.; Calderini, D. Crop Physiology Case Histories for Major Crops; Academic Press: Cambridge, MA, USA, 2020. [Google Scholar]
- Giraldo, P.; Benavente, E.; Manzano-Agugliaro, F.; Gimenez, E. Worldwide research trends on wheat and barley: A bibliometric comparative analysis. Agronomy 2019, 9, 352. [Google Scholar] [CrossRef] [Green Version]
- Al-Karaki, G.N. Germination, sodium, and potassium concentrations of barley seeds as influenced by salinity. J. Plant Nutr. 2001, 24, 511–522. [Google Scholar] [CrossRef]
- Walia, H.; Wilson, C.; Wahid, A.; Condamine, P.; Cui, X.; Close, T.J. Expression analysis of barley (Hordeum vulgare L.) during salinity stress. Funct. Integr. Genom. 2006, 6, 143–156. [Google Scholar] [CrossRef] [PubMed]
- Solomon, S.; Manning, M.; Marquis, M.; Qin, D. Climate Change 2007-the Physical Science Basis: Working Group I Contribution to the Fourth Assessment Report of the IPCC; Cambridge University Press: Cambridge, UK, 2007; Volume 4. [Google Scholar]
- Roberts, E. Temperature and seed germination. In Symposia of the Society for Experimental Biology; Company of Biologists: Cambridge, UK, 1988; pp. 109–132. [Google Scholar]
- Milbau, A.; Graae, B.J.; Shevtsova, A.; Nijs, I. Effects of a warmer climate on seed germination in the subarctic. Ann. Bot. 2009, 104, 287–296. [Google Scholar] [CrossRef] [PubMed] [Green Version]
- Shah, S.; Khan, S.; Bussmann, R.W.; Ali, M.; Hussain, D.; Hussain, W. Quantitative ethnobotanical study of Indigenous knowledge on medicinal plants used by the tribal communities of Gokand Valley, District Buner, Khyber Pakhtunkhwa, Pakistan. Plants 2019, 9, 1001. [Google Scholar]
- Showler, A.T.; Shah, S.; Khan, S.; Ullah, S.; Degola, F. Desert Locust Episode in Pakistan, 2018–2021, and the Current Status of Integrated Desert Locust Management. J. Integr. Pest Manag. 2022, 13, 1. [Google Scholar] [CrossRef]
- Shah, S.; Ullah, S.; Ali, S.; Khan, A.; Ali, M.; Hassan, S. Using mathematical models to evaluate germination rate and seedlings length of chickpea seed (Cicer arietinum L.) to osmotic stress at cardinal temperatures. PloS ONE 2021, 16, e0260990. [Google Scholar] [CrossRef]
- Bewley, J.D.; Black, M. Seeds: Physiology of Development and Germination; Springer Science & Business Media: Berlin/Heidelberg, Germany, 2013. [Google Scholar]
- Baskin, C.C.; Baskin, J.M. Seeds: Ecology, Biogeography, And Evolution of Dormancy and Germination; Elsevier: Amsterdam, The Netherlands, 1998. [Google Scholar]
- Atashi, S.; Bakhshandeh, E.; Zeinali, Z.; Yassari, E.; da Silva, J.A.T. Modeling seed germination in Melisa officinalis L. in response to temperature and water potential. Acta Physiol. Plant. 2014, 36, 605–611. [Google Scholar] [CrossRef]
- Vahabinia, F.; Pirdashti, H.; Bakhshandeh, E. Environmental factors’ effect on seed germination and seedling growth of chicory (Cichorium intybus L.) as an important medicinal plant. Acta Physiol. Plant. 2019, 41, 1–13. [Google Scholar] [CrossRef]
- Bakhshandeh, E.; Bradford, K.J.; Pirdashti, H.; Vahabinia, F.; Abdellaoui, R. A new halothermal time model describes seed germination responses to salinity across both sub-and supra-optimal temperatures. Acta Physiol. Plant. 2020, 42, 1–15. [Google Scholar] [CrossRef]
- Shah, S.; Khan, S.; Sulaiman, S.; Muhammad, M.; Badshah, L.; Bussmann, R.W.; Hussain, W. Quantitative study on medicinal plants traded in selected herbal markets of Khyber Pakhtunkhwa, Pakistan. Ethnobot. Res. Appl. 2020, 20, 1–36. [Google Scholar] [CrossRef]
- Parmoon, G.; Moosavi, S.A.; Siadat, S.A. How salinity stress influences the thermal time requirements of seed germination in Silybum marianum and Calendula officinalis. Acta Physiol. Plant. 2018, 40, 1–13. [Google Scholar] [CrossRef]
- Hatfield, J.L.; Prueger, J.H. Temperature extremes: Effect on plant growth and development. Weather. Clim. Extrem. 2015, 10, 4–10. [Google Scholar] [CrossRef] [Green Version]
- Rowse, H.; Finch-Savage, W. Hydrothermal threshold models can describe the germination response of carrot (Daucus carota) and onion (Allium cepa) seed populations across both sub-and supra-optimal temperatures. N. Phytol. 2003, 158, 101–108. [Google Scholar] [CrossRef]
- Shah, S.; Khan, S.; Shah, S.M.; Khan, S.; Khatak, L.; Rukh, G. Ethnoecological appraisal, mineral and phytochemical analysis of five species of Myrtaceae in University Campus, Peshawar, Pakistan. Pure Appl. Biol. 2020, 10, 244–253. [Google Scholar] [CrossRef]
- Abdellaoui, R.; Boughalleb, F.; Zayoud, D.; Neffati, M.; Bakhshandeh, E. Quantification of Retamaraetam seed germination response to temperature and water potential using hydrothermal time concept. Environ. Exp. Bot. 2019, 157, 211–216. [Google Scholar] [CrossRef]
- Atashi, S.; Bakhshandeh, E.; Mehdipour, M.; Jamali, M.; Da Silva, J.A.T. Application of a hydrothermal time seed germination model using the Weibull distribution to describe base water potential in zucchini (Cucurbita pepo L.). J. Plant Growth Regul. 2015, 34, 150–157. [Google Scholar] [CrossRef]
- Zhang, H.; Irving, L.J.; McGill, C.; Matthew, C.; Zhou, D.; Kemp, P. The effects of salinity and osmotic stress on barley germination rate: Sodium as an osmotic regulator. Ann. Bot. 2010, 106, 1027–1035. [Google Scholar] [CrossRef]
- Llanes, A.; Andrade, A.; Masciarelli, O.; Alemano, S.; Luna, V. Drought and salinity alter endogenous hormonal profiles at the seed germination phase. Seed Sci. Res. 2016, 26, 1–13. [Google Scholar] [CrossRef] [Green Version]
- Hampson, C.R.; Simpson, G. Effects of temperature, salt, and osmotic potential on early growth of wheat (Triticumaestivum). I. Germination. Can. J. Bot. 1990, 68, 524–528. [Google Scholar] [CrossRef]
- Huang, J.; Redmann, R. Salt tolerance of Hordeum and Brassica species during germination and early seedling growth. Can. J. Plant Sci. 1995, 75, 815–819. [Google Scholar] [CrossRef]
- Chapman, V. Salt marshes and salt deserts of the world. Ecol. Halophytes 1974, 79, 3–19. [Google Scholar]
- Ungar, I.A. Seed germination and seed-bank ecology in halophytes. In Seed Development and Germination; Routledge: Abingdon, UK, 2017; pp. 599–628. [Google Scholar]
- Hester, M.W.; Mendelssohn, I.A.; McKee, K.L. Species and population variation to salinity stress in Panicumhemitomon, Spartina patens, and Spartina alterniflora: Morphological and physiological constraints. Environ. Exp. Bot. 2001, 46, 277–297. [Google Scholar] [CrossRef]
- Garthwaite, A.J.; von Bothmer, R.; Colmer, T.D. Salt tolerance in wild Hordeum species is associated with restricted entry of Na+ and Cl− into the shoots. J. Exp. Bot. 2005, 56, 2365–2378. [Google Scholar] [CrossRef]
- Hu, L.; Lu, H.; Liu, Q.; Chen, X.; Jiang, X. Overexpression of mtl D gene in transgenic Populustomentosa improves salt tolerance through accumulation of mannitol. Tree Physiol. 2005, 25, 1273–1281. [Google Scholar] [CrossRef] [Green Version]
- Ren, Z.-H.; Gao, J.-P.; Li, L.-G.; Cai, X.-L.; Huang, W.; Chao, D.-Y.; Zhu, M.-Z.; Wang, Z.-Y.; Luan, S.; Lin, H.-X. A rice quantitative trait locus for salt tolerance encodes a sodium transporter. Nat. Genet. 2005, 37, 1141–1146. [Google Scholar] [CrossRef]
- Kanai, M.; Higuchi, K.; Hagihara, T.; Konishi, T.; Ishii, T.; Fujita, N.; Nakamura, Y.; Maeda, Y.; Yoshiba, M.; Tadano, T. Common reed produces starch granules at the shoot base in response to salt stress. N. Phytol. 2007, 176, 572–580. [Google Scholar] [CrossRef]
- Nobel, P.S. Biophysical Plant Physiology and Ecology; WH Freeman and Company: New York, NY, USA, 1983. [Google Scholar]
- Parihar, P.; Singh, S.; Singh, R.; Singh, V.P.; Prasad, S.M. Effect of salinity stress on plants and its tolerance strategies: A review. Environ. Sci. Pollut. Res. 2015, 22, 4056–4075. [Google Scholar] [CrossRef]
- Seal, C.E.; Barwell, L.J.; Flowers, T.J.; Wade, E.M.; Pritchard, H.W. Seed germination niche of the halophyte Suaedamaritima to combined salinity and temperature is characterized by a halothermal time model. Environ. Exp. Bot. 2018, 155, 177–184. [Google Scholar] [CrossRef]
- Kebreab, E.; Murdoch, A. Modelling the effects of water stress and temperature on the germination rate of Orobanche aegyptiaca seeds. J. Exp. Bot. 1999, 50, 655–664. [Google Scholar] [CrossRef]
- Bradford, K.J.; Still, D.W. Applications of hydrotime analysis in seed testing. Seed Technol. 2004, 26, 75–85. [Google Scholar]
- Bakhshandeh, E.; Atashi, S.; Hafeznia, M.; Pirdashti, H.; da Silva, J.A.T. Hydrothermal time analysis of watermelon (Citrullus vulgaris cv.‘Crimson sweet’) seed germination. Acta Physiol. Eplantarum 2015, 37, 1738. [Google Scholar] [CrossRef]
- Gummerson, R. The effect of constant temperatures and osmotic potentials on the germination of sugar beet. J. Exp. Bot. 1986, 37, 729–741. [Google Scholar] [CrossRef]
- Bradford, K.J. A water relations analysis of seed germination rates. Plant Physiol. 1990, 94, 840–849. [Google Scholar] [CrossRef] [PubMed] [Green Version]
- Dahal, P.; Bradford, K.J. Hydrothermal time analysis of tomato seed germination at suboptimal temperature and reduced water potential. Seed Sci. Res. 1994, 4, 71–80. [Google Scholar] [CrossRef]
- Aliyu, T. The effect of Sodium Hypochlorite and Ethanol as seed sterilants on cowpea infected with Cowpea Mottle Virus. Niger. J. Pure Appl. Sci. 2018, 31, 3122–3127. [Google Scholar]
- Bakhshandeh, E.; Gholamhossieni, M. Quantification of soybean seed germination response to seed deterioration under peg-induced water stress using hydrotime concept. ActaPhysiologiaePlantarum 2018, 40, 1–8. [Google Scholar] [CrossRef]
- Saberali, S.; Shirmohamadi-Aliakbarkhani, Z. Quantifying seed germination response of melon (Cucumis melo L.) to temperature and water potential: Thermal time, hydrotime and hydrothermal time models. South Afr. J. Bot. 2020, 130, 240–249. [Google Scholar] [CrossRef]
- Bakhshandeh, E.; Jamali, M.; Afshoon, E.; Gholamhossieni, M. Using hydrothermal time concept to describe sesame (Sesamum indicum L.) seed germination response to temperature and water potential. Acta Physiol. Plant. 2017, 39, 1–9. [Google Scholar] [CrossRef]
- Orchard, T. Estimating the parameters of plant seedling emergence. Seed Sci. Technol. 1977, 5, 61–69. [Google Scholar]
- Kader, M. A comparison of seed germination calculation formulae and the associated interpretation of resulting data. J. Proceeding R. Soc. New South Wales 2005, 138, 65–75. [Google Scholar]
- Khan, M.N.; Ali, S.; Yaseen, T.; Ullah, S.; Zaman, A.; Iqbal, M.; Shah, S. Eco-Taxonomic Study of Family Poaceae (Gramineae). RADS J. Biol. Res. Appl. Sci. 2019, 10, 63–75. [Google Scholar] [CrossRef]
- Maguire, J.D. Speed of germination—Aid in selection and evaluation for seedling emergence and vigor 1. Crop Sci. 1962, 2, 176–177. [Google Scholar] [CrossRef]
- Sinha, V.B.; Grover, A.; Yadav, P.V.; Pande, V. Salt and osmotic stress response of tobacco plants overexpressing Lepidiumlatifolium L. Ran GTPase gene. Indian J. Plant Physiol. 2018, 23, 494–498. [Google Scholar] [CrossRef]
- Basit, A.; Khan, S.; Sulaiman, S.S.; Shah, A.A. Morphological features of various selected tree species on the greater university campus Peshawar, Pakistan. Int. J. Bot. Stud. 2019, 4, 92–97. [Google Scholar]
- Shah, S.M.; Amin, M.; Gul, B.; Begum, M. Ethnoecological, Elemental, and Phytochemical Evaluation of Five Plant Species of Lamiaceae in Peshawar, Pakistan. Scientifica 2020, 2020. [Google Scholar] [CrossRef]
- Kumar, B.; Verma, S.; Ram, G.; Singh, H. Temperature relations for seed germination potential and seedling vigor in Palmarosa (Cymbopogon martini). J. Crop Improv. 2012, 26, 791–801. [Google Scholar] [CrossRef]
- Salehzade, H.; IzadkhahShishvan, M.; Chiyasi, M. Effect of seed priming on germination and seedling growth of Wheat (Triticum aestivum L.). J. Biol. Sci. 2009, 4, 629–631. [Google Scholar]
- Wang, H.; Zhao, K.; Li, X.; Chen, X.; Liu, W.; Wang, J. Factors affecting seed germination and the emergence of Aegilops tauschii. Weed Res. 2020, 60, 171–181. [Google Scholar] [CrossRef]
- Wijewardana, C.; Alsajri, F.A.; Reddy, K.R. Soybean seed germination response to in vitro osmotic stress. Seed Technol. 2018, 39, 143–154. [Google Scholar]
- Seepaul, D.D.R.; George, S.; Groot, J.; Wright, D. Drought tolerance classification of common oilseed species using seed germination assay. J. Oilseed Brassica 2019, 10, 97–105. [Google Scholar]
- Alvarado, V.; Bradford, K. A hydrothermal time model explains the cardinal temperatures for seed germination. Plant Cell Environ. 2002, 25, 1061–1069. [Google Scholar] [CrossRef]
- Ghaderi-Far, F.; Bakhshandeh, E.; Ghadirian, R. Evaluating seed quality in sesame (Sesamum indicum L.) by the accelerated ageing test. Seed Technol. 2010, 32, 69–72. [Google Scholar]
- Liu, S.; Bradford, K.J.; Huang, Z.; Venable, D.L. Hydrothermal sensitivities of seed populations underlie fluctuations of dormancy states in an annual plant community. Ecology 2020, 101, e02958. [Google Scholar] [CrossRef] [Green Version]






| T | Ψ (MPa) | TTsub (θT1) | TTsupra (θT2) | θHalo (MPa h) | θHaloTT (MPa h) | Halo Time GR(g) | Thermal Time GR(g) |
|---|---|---|---|---|---|---|---|
| 15 °C | 0 | 768 | 1920 | 38.4 | 384 | 0.013 | 0.013 |
| −0.5 | 544 | 1360 | 27.2 | 272 | 0.018 | 0.018 | |
| −1.0 | 448 | 1120 | 22.4 | 224 | 0.022 | 0.022 | |
| −1.5 | 448 | 1120 | 22.4 | 224 | 0.022 | 0.022 | |
| −2.0 | 96.0 | 240.0 | 4.8 | 48.0 | 0.104 | 0.104 | |
| 20 °C | 0 | 896 | 2240 | 44.8 | 448 | 0.011 | 0.011 |
| −0.5 | 736 | 1840 | 36.8 | 368 | 0.014 | 0.014 | |
| −1.0 | 640 | 1600 | 32.0 | 320 | 0.016 | 0.016 | |
| −1.5 | 448 | 1120 | 22.4 | 224 | 0.022 | 0.022 | |
| −2.0 | 128 | 320.0 | 6.40 | 64.0 | 0.078 | 0.078 | |
| 25 °C | 0 | 640 | 1600 | 32.0 | 320 | 0.016 | 0.016 |
| −0.5 | 448 | 1120 | 22.4 | 224 | 0.022 | 0.022 | |
| −1.0 | 320 | 800.0 | 16.0 | 160 | 0.031 | 0.031 | |
| −1.5 | 320 | 800.0 | 16.0 | 160 | 0.031 | 0.031 | |
| −2.0 | 96.0 | 240.0 | 4.80 | 48.0 | 0.104 | 0.104 | |
| 30 °C | 0 | 576 | 1440 | 28.8 | 288 | 0.017 | 0.017 |
| −0.5 | 448 | 1120 | 22.4 | 224 | 0.022 | 0.022 | |
| −1.0 | 352 | 880.0 | 17.6 | 176 | 0.028 | 0.028 | |
| −1.5 | 224 | 560.0 | 11.2 | 112 | 0.045 | 0.045 | |
| −2.0 | 96.0 | 240.0 | 4.80 | 48.0 | 0.104 | 0.104 | |
| 35 °C | 0 | 256 | 640.0 | 12.8 | 128 | 0.039 | 0.039 |
| −0.5 | 416 | 1040 | 20.8 | 208 | 0.024 | 0.024 | |
| −1.0 | 320 | 800.0 | 16.0 | 160 | 0.031 | 0.031 | |
| −1.5 | 320 | 800.0 | 16.0 | 160 | 0.031 | 0.031 | |
| −2.0 | 96.0 | 240.0 | 4.80 | 48.0 | 0.104 | 0.104 | |
| 40 °C | 0 | 224 | 560.0 | 11.2 | 112 | 0.045 | 0.045 |
| −0.5 | 96.0 | 240.0 | 4.80 | 48.0 | 0.104 | 0.104 | |
| −1 | 96.0 | 240.0 | 4.80 | 48.0 | 0.104 | 0.104 | |
| −1.5 | 64.0 | 160.0 | 3.20 | 32.0 | 0.156 | 0.156 | |
| −2.0 | 32.0 | 80.0 | 1.60 | 16.0 | 0.313 | 0.313 |
| Barley | T(°C) | ψb(50) (MPa) | σψb (MPa) | R | R2 | T | Sig. |
|---|---|---|---|---|---|---|---|
| 15 | −0.20 | 0.13 | 0.940 | 0.884 | 18.47 | Sig | |
| 20 | −0.23 | 0.21 | 0.976 | 0.953 | 19.42 | 0.018 | |
| AAJ | 25 | −0.17 | 0.12 | 0.965 | 0.930 | 13.36 | 0.004 |
| 30 | −0.13 | 0.9 | 0.999 | 0.998 | 27.78 | 0.008 | |
| 35 | −0.10 | 0.8 | 0.555 | 0.308 | 7.161 | 0.000 | |
| 40 | −0.8 | 0.6 | 0.901 | 0.812 | 11.64 | 0.331 |
| Variables | Hordeumvulgare L. |
|---|---|
| Halothermal time model parameters | |
| ψb(50) (MPa) | −0.23 |
| σψb (MPa) | 0.21 |
| θHalo (MPa °C h−1) | 17.65 |
| kT (MPa °C h−1) | 0.104 |
| Cardinal temperatures | |
| Tb (°C) | 15 |
| To (°C) | 20 |
| Tc (°C) | 40 |
| R2 | 0.953 |
Publisher’s Note: MDPI stays neutral with regard to jurisdictional claims in published maps and institutional affiliations. |
© 2022 by the authors. Licensee MDPI, Basel, Switzerland. This article is an open access article distributed under the terms and conditions of the Creative Commons Attribution (CC BY) license (https://creativecommons.org/licenses/by/4.0/).
Share and Cite
Ullah, A.; Sadaf, S.; Ullah, S.; Alshaya, H.; Okla, M.K.; Alwasel, Y.A.; Tariq, A. Using Halothermal Time Model to Describe Barley (Hordeumvulgare L.) Seed Germination Response to Water Potential and Temperature. Life 2022, 12, 209. https://doi.org/10.3390/life12020209
Ullah A, Sadaf S, Ullah S, Alshaya H, Okla MK, Alwasel YA, Tariq A. Using Halothermal Time Model to Describe Barley (Hordeumvulgare L.) Seed Germination Response to Water Potential and Temperature. Life. 2022; 12(2):209. https://doi.org/10.3390/life12020209
Chicago/Turabian StyleUllah, Abd, Sadaf Sadaf, Sami Ullah, Huda Alshaya, Mohammad K. Okla, Yasmeen A. Alwasel, and Akash Tariq. 2022. "Using Halothermal Time Model to Describe Barley (Hordeumvulgare L.) Seed Germination Response to Water Potential and Temperature" Life 12, no. 2: 209. https://doi.org/10.3390/life12020209
APA StyleUllah, A., Sadaf, S., Ullah, S., Alshaya, H., Okla, M. K., Alwasel, Y. A., & Tariq, A. (2022). Using Halothermal Time Model to Describe Barley (Hordeumvulgare L.) Seed Germination Response to Water Potential and Temperature. Life, 12(2), 209. https://doi.org/10.3390/life12020209

