Evaluation of the Cardiovascular Effects of Coriandrum sativum and Citrus limon to Treat Arsenic-Induced Endothelial Damage and Hypertension in Rats
Abstract
1. Introduction
2. Materials and Methods
2.1. Chemicals and Reagents
2.2. Plant Collection and Identification
2.3. Preparation of Extract of C. sativum and C. limon
2.4. High Performance Liquid Chromatography
2.5. Determination of Total Flavonoid and Phenolic Content
2.6. 2,2-Diphenyl-1-picrylhydrazyl (DPPH) Assay
2.7. Animals
2.8. Experimental Protocol
2.9. Invasive Blood Pressure Measurement
2.10. Non-Invasive Blood Pressure (NIBP) Measurement
2.11. Blood Collection and Serum Preparation
2.11.1. Serum Analysis of Liver Function (LFT) and Renal Function (RFT)
2.11.2. Serum Analysis for Lipid Profile
2.12. Malondialdehyde (MDA) Assay
2.13. eNOS Measurement
2.14. Vessel Tension Measurement
2.15. Histopathological Studies
2.16. Statistical Analysis
3. Results
3.1. Yield of Extract
3.2. High Performance Liquid Chromatography Analysis
3.3. Total Phenolic and Total Flavonoid Content
3.4. DPPH Assay
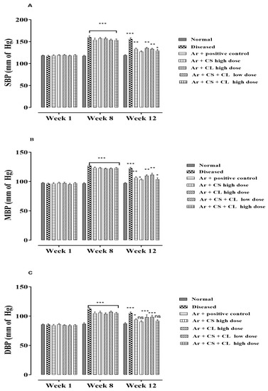
3.5. Effect of C. sativum, C. limon on Blood Pressure through Invasive Method
3.6. Effect of C. sativum, C. limon on Blood Pressure through NIBP Method
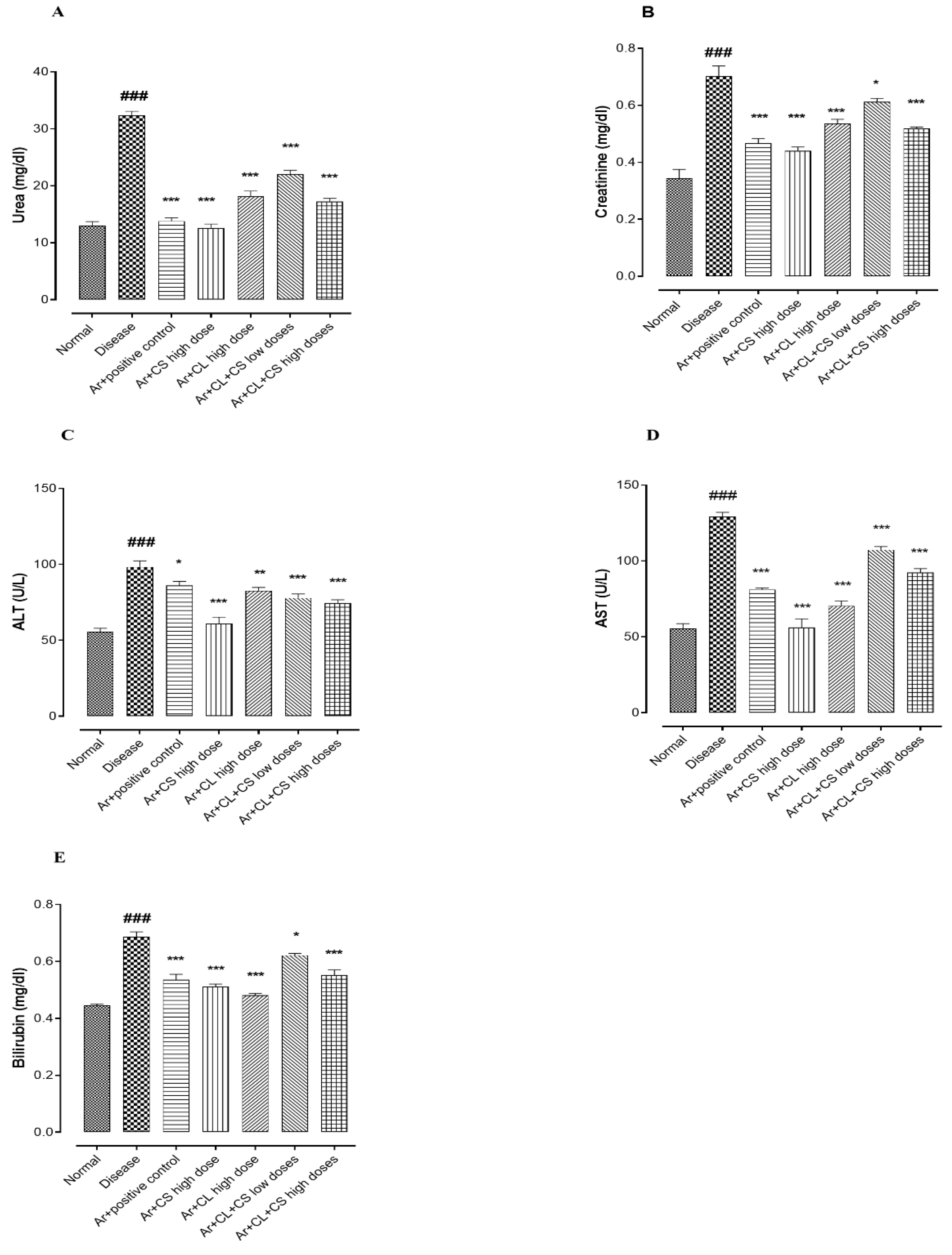
3.7. Effect of C. sativum, C. limon and Their Combinations on Serum RFTs and LFTs of Arsenic-Induced Hypertensive Rats
3.8. Effect of C. sativum, C. limon and Their Combinations on Serum Lipid Levels in Arsenic-Induced Hypertensive Rats
3.9. Malondialdehyde Assay
3.10. Effect of C. sativum and C. limon on Serum NO Levels of Arsenic-Fed Rats
3.11. Vessel Tension Measurement
3.12. Histopathological Examination of Heart, Aorta, Kidney and Liver Tissues
4. Discussion
5. Conclusions
Supplementary Materials
Author Contributions
Funding
Institutional Review Board Statement
Informed Consent Statement
Data Availability Statement
Acknowledgments
Conflicts of Interest
References
- Mc Namara, K.; Alzubaidi, H.; Jackson, J.K. Cardiovascular Disease as a Leading Cause of Death: How Are Pharmacists Getting Involved? Integr. Pharm. Res. Pract. 2019, 8, 1–11. [Google Scholar] [CrossRef] [PubMed]
- Rehman, K.; Fatima, F.; Waheed, I.; Akash, M.S.H. Prevalence of Exposure of Heavy Metals and Their Impact on Health Consequences. J. Cell. Biochem. 2018, 119, 157–184. [Google Scholar] [CrossRef] [PubMed]
- Rahaman, M.S.; Rahman, M.M.; Mise, N.; Sikder, M.T.; Ichihara, G.; Uddin, M.K.; Kurasaki, M.; Ichihara, S. Environmental Arsenic Exposure and Its Contribution to Human Diseases Toxicity Mechanism and Management. Environ. Pollut. 2021, 289, 117940. [Google Scholar] [CrossRef]
- Balarastaghi, S.; Rezaee, R.; Hayes, A.W.; Yarmohammadi, F.; Karimi, G. Mechanisms of Arsenic Exposure-Induced Hypertension and Atherosclerosis: An Updated Overview. Biol. Trace Elem. Res. 2022. [Google Scholar] [CrossRef] [PubMed]
- Shaji, E.; Santosh, M.; Sarath, K.V.; Prakash, P.; Deepchand, V.; Divya, B.V. Arsenic Contamination of Groundwater: A Global Synopsis with Focus on the Indian Peninsula. Geosci. Front. 2021, 12, 101079. [Google Scholar] [CrossRef]
- Balakumar, P.; Kaur, J. Arsenic Exposure and Cardiovascular Disorders: An Overview. Cardiovasc. Toxicol. 2009, 9, 169–176. [Google Scholar] [CrossRef]
- Susan, A.; Rajendran, K.; Sathyasivam, K.; Krishnan, U.M. An Overview of Plant-Based Interventions to Ameliorate Arsenic Toxicity. Biomed. Pharmacother. 2019, 109, 838–852. [Google Scholar] [CrossRef]
- Shahid, M.; Niazi, N.K.; Dumat, C.; Naidu, R.; Khalid, S.; Rahman, M.M.; Bibi, I. A Meta-Analysis of the Distribution, Sources and Health Risks of Arsenic-Contaminated Groundwater in Pakistan. Environ. Pollut. 2018, 242, 307–319. [Google Scholar] [CrossRef]
- Sahib, N.G.; Anwar, F.; Gilani, A.; Hamid, A.A.; Saari, N.; Alkharfy, K.M. Coriander (Coriandrum sativum L.): A Potential Source of High-value Components for Functional Foods and Nutraceuticals-A Review. Phyther. Res. 2013, 27, 1439–1456. [Google Scholar] [CrossRef]
- Yella, S.S.T.; Kumar, R.N.; Ayyanna, C.; Varghese, A.M.; Amaravathi, P.; Vangoori, Y. The Combined Effect of Trigonella Foenum Seeds and Coriandrum sativum Leaf Extracts in Alloxan-Induced Diabetes Mellitus Wistar Albino Rats. Bioinformation 2019, 15, 716. [Google Scholar]
- Reuter, J.; Huyke, C.; Casetti, F.; Theek, C.; Frank, U.; Augustin, M.; Schempp, C. Antiinflammatorische Wirkung Einer Lipolotion Mit Korianderöl Im Ultraviolett-Erythemtest. JDDG J. Dtsch. Dermatol. Ges. 2008, 6. [Google Scholar] [CrossRef]
- Aissaoui, A.; El-Hilaly, J.; Israili, Z.H.; Lyoussi, B. Acute Diuretic Effect of Continuous Intravenous Infusion of an Aqueous Extract of Coriandrum sativum L. in Anesthetized Rats. J. Ethnopharmacol. 2008, 115, 89–95. [Google Scholar] [CrossRef] [PubMed]
- Ballistreri, G.; Fabroni, S.; Romeo, F.V.; Timpanaro, N.; Amenta, M.; Rapisarda, P. Anthocyanins and Other Polyphenols in Citrus Genus: Biosynthesis, Chemical Profile, and Biological Activity. In Polyphenols in Plants; Elsevier: Amsterdam, The Netherlands, 2019; pp. 191–215. [Google Scholar]
- Sreelatha, S.; Padma, P.R.; Umadevi, M. Protective Effects of Coriandrum sativum Extracts on Carbon Tetrachloride-Induced Hepatotoxicity in Rats. Food Chem. Toxicol. 2009, 47, 702–708. [Google Scholar] [CrossRef]
- Eguale, T.; Tilahun, G.; Debella, A.; Feleke, A.; Makonnen, E. In Vitro and in Vivo Anthelmintic Activity of Crude Extracts of Coriandrum sativum against Haemonchus contortus. J. Ethnopharmacol. 2007, 110, 428–433. [Google Scholar] [CrossRef]
- Sheng, S.; Kong, F. Separation of Antigens and Antibodies by Immunoaffinity Chromatography. Pharm. Biol. 2012, 50, 1038–1044. [Google Scholar] [CrossRef] [PubMed]
- Shaukat, B.; Mehmood, M.H.; Shah, S.; Anwar, H. Ziziphus Oxyphylla Hydro-Methanolic Extract Ameliorates Hypertension in L-NAME Induced Hypertensive Rats through NO/CGMP Pathway and Suppression of Oxidative Stress Related Inflammatory Biomarkers. J. Ethnopharmacol. 2022, 285, 114825. [Google Scholar] [CrossRef] [PubMed]
- Shahwar, M.K.; El-Ghorab, A.H.; Anjum, F.M.; Butt, M.S.; Hussain, S.; Nadeem, M. Characterization of Coriander (Coriandrum sativum L.) Seeds and Leaves: Volatile and Non Volatile Extracts. Int. J. Food Prop. 2012, 15, 736–747. [Google Scholar] [CrossRef]
- Alhakmani, F.; Kumar, S.; Khan, S.A. Estimation of Total Phenolic Content, In–Vitro Antioxidant and Anti–Inflammatory Activity of Flowers of Moringa Oleifera. Asian Pac. J. Trop. Biomed. 2013, 3, 623–627. [Google Scholar] [CrossRef]
- Ghorbani, A.; Hadjzadeh, M.A.R.; Rajaei, Z.; Zendehbad, S.B. Effects of Fenugreek Seeds on Adipogenesis and Lipolysis in Normal and Diabetic Rats. Pakistan J. Biol. Sci. 2014, 17, 523–528. [Google Scholar] [CrossRef][Green Version]
- Gangwar, A.; Kumar, P.; Rawat, A.; Tiwari, S. Noninvasive Measurement of Systolic Blood Pressure in Rats: A Novel Technique. Indian J. Pharmacol. 2014, 46, 351. [Google Scholar]
- Noeman, S.A.; Hamooda, H.E.; Baalash, A.A. Biochemical Study of Oxidative Stress Markers in the Liver, Kidney and Heart of High Fat Diet Induced Obesity in Rats. Diabetol. Metab. Syndr. 2011, 3, 17. [Google Scholar] [CrossRef] [PubMed]
- Sarath, T.S.; Waghe, P.; Gupta, P.; Choudhury, S.; Kannan, K.; Pillai, A.H.; Harikumar, S.K.; Mishra, S.K.; Sarkar, S.N. Atorvastatin Ameliorates Arsenic-Induced Hypertension and Enhancement of Vascular Redox Signaling in Rats. Toxicol. Appl. Pharmacol. 2014, 280, 443–454. [Google Scholar] [CrossRef] [PubMed]
- Nordin, S.H.; Kamisah, Y.; Mohamed, S.; Jaarin, K. Effects of Citrus Leaf Extract on Aortic Vascular Reactivity in Repeatedly Heated Vegetable Oil-Induced Hypertensive Rats. Appl. Physiol. Nutr. Metab. 2018, 44. [Google Scholar] [CrossRef]
- Abdul, K.S.M.; Jayasinghe, S.S.; Chandana, E.P.S.; Jayasumana, C.; De Silva, P.M.C.S. Arsenic and Human Health Effects: A Review. Environ. Toxicol. Pharmacol. 2015, 40, 828–846. [Google Scholar] [CrossRef] [PubMed]
- Smith, A.H.; Steinmaus, C.M. Health Effects of Arsenic and Chromium in Drinking Water: Recent Human Findings. Annu. Rev. Public Health 2009, 30, 107. [Google Scholar] [CrossRef]
- Kusiak, A.; Zhang, Z.; Verma, A. Prediction, Operations, and Condition Monitoring in Wind Energy. Energy 2013, 60, 1–12. [Google Scholar] [CrossRef]
- Jahan-Abad, A.J.; Morteza-Zadeh, P.; Negah, S.S.; Gorji, A. Curcumin Attenuates Harmful Effects of Arsenic on Neural Stem/Progenitor Cells. Avicenna J. Phytomed. 2017, 7, 376. [Google Scholar]
- Elwan, H.A.M.; Dawood, D.H.; Abd El-Aziz El-Shafei, S.M.; Abd El-Mohsen Abd El-Rahman, A.; Abdel-Latif, S.A.; Mohany, M.; Alqahtani, F.; Alqahtani, S.; Al-Rejaie, S.S. The Potential Role of Citrus Limon Powder as a Natural Feed Supplement to Boost the Productive Performance, Antioxidant Status, and Blood Biochemistry of Growing Rabbits. Animals 2019, 9, 426. [Google Scholar] [CrossRef]
- Malik, A.; Mehmood, M.H.; Channa, H.; Akhtar, M.S.; Gilani, A.-H. Pharmacological Basis for the Medicinal Use of Polyherbal Formulation and Its Ingredients in Cardiovascular Disorders Using Rodents. BMC Complement. Altern. Med. 2017, 17, 142. [Google Scholar] [CrossRef]
- Iqbal, S.; Klammer, N.; Ekmekcioglu, C. The Effect of Electrolytes on Blood Pressure: A Brief Summary of Meta-Analyses. Nutrients 2019, 11, 1362. [Google Scholar] [CrossRef]
- Rahman, S.; Islam, S.; Haque, T.; Kathak, R.R.; Ali, N. Association between Serum Liver Enzymes and Hypertension: A Cross-Sectional Study in Bangladeshi Adults. BMC Cardiovasc. Disord. 2020, 20, 128. [Google Scholar] [CrossRef] [PubMed]
- Rizza, S.; Muniyappa, R.; Iantorno, M.; Kim, J.; Chen, H.; Pullikotil, P.; Senese, N.; Tesauro, M.; Lauro, D.; Cardillo, C. Citrus Polyphenol Hesperidin Stimulates Production of Nitric Oxide in Endothelial Cells While Improving Endothelial Function and Reducing Inflammatory Markers in Patients with Metabolic Syndrome. J. Clin. Endocrinol. Metab. 2011, 96, E782–E792. [Google Scholar] [CrossRef]
- Levine, A.B.; Punihaole, D.; Levine, T.B. Characterization of the Role of Nitric Oxide and Its Clinical Applications. Cardiology 2012, 122, 55–68. [Google Scholar] [CrossRef] [PubMed]
- Laribi, B.; Kouki, K.; M’Hamdi, M.; Bettaieb, T. Coriander (Coriandrum sativum L.) and Its Bioactive Constituents. Fitoterapia 2015, 103, 9–26. [Google Scholar] [CrossRef] [PubMed]
- Ali, S. Lemon Juice Antioxidant Activity against Oxidative Stress. Baghdad Sci. J. 2020, 17, 207. [Google Scholar] [CrossRef]
- Muthumani, M.; Prabu, S.M. Silibinin Potentially Attenuates Arsenic-Induced Oxidative Stress Mediated Cardiotoxicity and Dyslipidemia in Rats. Cardiovasc. Toxicol. 2014, 14, 83–97. [Google Scholar] [CrossRef]
- Singh, A.P.; Goel, R.K.; Kaur, T. Mechanisms Pertaining to Arsenic Toxicity. Toxicol. Int. 2011, 18, 87. [Google Scholar]
- Santra, A.; Maiti, A.; Das, S.; Lahiri, S.; Charkaborty, S.K.; Guha Mazumder, D.N.; Guha Mazumder, D. Hepatic Damage Caused by Chronic Arsenic Toxicity in Experimental Animals. J. Toxicol. Clin. Toxicol. 2000, 38, 395–405. [Google Scholar] [CrossRef]
- Moustafa, A.H.A.; Ali, E.M.M.; Moselhey, S.S.; Tousson, E.; El-Said, K.S. Effect of Coriander on Thioacetamide-Induced Hepatotoxicity in Rats. Toxicol. Ind. Health 2014, 30, 621–629. [Google Scholar] [CrossRef]
- Bouzenna, H.; Dhibi, S.; Samout, N.; Rjeibi, I.; Talarmin, H.; Elfeki, A.; Hfaiedh, N. The Protective Effect of Citrus Limon Essential Oil on Hepatotoxicity and Nephrotoxicity Induced by Aspirin in Rats. Biomed. Pharmacother. 2016, 83, 1327–1334. [Google Scholar] [CrossRef]
- Yu, M.; Xue, J.; Li, Y.; Zhang, W.; Ma, D.; Liu, L.; Zhang, Z. Resveratrol Protects against Arsenic Trioxide-Induced Nephrotoxicity by Facilitating Arsenic Metabolism and Decreasing Oxidative Stress. Arch. Toxicol. 2013, 87, 1025–1035. [Google Scholar] [CrossRef] [PubMed]







| Groups | TC (mg/dL) | TG (mg/dL) | HDL (mg/dL) | LDL (mg/dL) | VLDL (mg/dL) |
|---|---|---|---|---|---|
| Normal | 84.20 ± 0.583 | 62.20 ± 0.8602 | 28.00 ± 0.9487 | 25.40 ± 0.50 | 11.00 ± 1.304 |
| Diseased | 100.8 ### ± 1.7 | 127.8 ### ± 6.89 | 18.40 ### ± 0.50 | 67.20 ### ± 2.41 | 24.80 ### ± 1.71 |
| Ar + positive control | 92.20 *** ± 0.58 | 103.2 *** ± 5.26 | 23.60 *** ± 0.50 | 58.80 * ± 1.80 | 16.20 *** ± 0.86 |
| Ar + CS high dose | 76.00 *** ± 0.70 | 82.20 *** ± 2.08 | 26.20 *** ± 0.58 | 46.80 *** ± 2.26 | 15.80 *** ± 0.58 |
| Ar + CL high dose | 90.00 *** ± 1.14 | 80.80 *** ± 1.93 | 21.80 *** ± 0.37 | 52.60 *** ± 1.60 | 15.60 *** ± 1.03 |
| Ar + CL + CS low doses | 86.60 *** ± 1.96 | 90.00 *** ± 2.302 | 20.80 ** ± 0.37 | 55.20 *** ± 1.93 | 15.80 *** ± 0.58 |
| Ar + CL + CS high doses | 67.60 *** ± 0.92 | 72.80 *** ± 2.65 | 23.40 *** ± 0.50 | 39.00 *** ± 1.30 | 13.40 *** ± 1.03 |
Publisher’s Note: MDPI stays neutral with regard to jurisdictional claims in published maps and institutional affiliations. |
© 2022 by the authors. Licensee MDPI, Basel, Switzerland. This article is an open access article distributed under the terms and conditions of the Creative Commons Attribution (CC BY) license (https://creativecommons.org/licenses/by/4.0/).
Share and Cite
Rana, R.; Mehmood, M.H.; Shaukat, B.; Shahid, S.; Malik, A.; Murtaza, B. Evaluation of the Cardiovascular Effects of Coriandrum sativum and Citrus limon to Treat Arsenic-Induced Endothelial Damage and Hypertension in Rats. Life 2022, 12, 1842. https://doi.org/10.3390/life12111842
Rana R, Mehmood MH, Shaukat B, Shahid S, Malik A, Murtaza B. Evaluation of the Cardiovascular Effects of Coriandrum sativum and Citrus limon to Treat Arsenic-Induced Endothelial Damage and Hypertension in Rats. Life. 2022; 12(11):1842. https://doi.org/10.3390/life12111842
Chicago/Turabian StyleRana, Reemal, Malik Hassan Mehmood, Bushra Shaukat, Sidra Shahid, Abdul Malik, and Babar Murtaza. 2022. "Evaluation of the Cardiovascular Effects of Coriandrum sativum and Citrus limon to Treat Arsenic-Induced Endothelial Damage and Hypertension in Rats" Life 12, no. 11: 1842. https://doi.org/10.3390/life12111842
APA StyleRana, R., Mehmood, M. H., Shaukat, B., Shahid, S., Malik, A., & Murtaza, B. (2022). Evaluation of the Cardiovascular Effects of Coriandrum sativum and Citrus limon to Treat Arsenic-Induced Endothelial Damage and Hypertension in Rats. Life, 12(11), 1842. https://doi.org/10.3390/life12111842

